Understanding the Power Spectrum of Quantization Noise
This article opens our in‑depth series on quantization noise, outlining the analytical framework guiding our exploration.
This series continues work from two prior posts. The first examined whether in‑phase and quadrature (I/Q) combination and separation should be performed analogously or digitally. We assessed the performance of I/Q modulators and demodulators, as well as ADCs and DACs, and discussed the key criteria for a high‑quality communications link.
ADCs and DACs—collectively known as data converters—have not been fully characterized for modern communications waveforms. Consequently, I set out to investigate their performance and provide a realistic model. The second post explored ADC and DAC modeling using ENOB and an intermodulation polynomial, and introduced a more comprehensive model that incorporates a low‑pass filter.
Series Goal
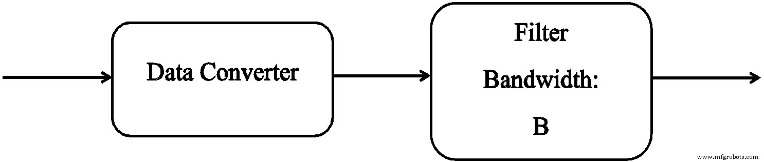
In many analyses of data converter performance, the following scenario is common:

Figure 1. Simplified block diagram of a data converter's use
The total noise power emerging from the data converter over the Nyquist bandwidth (B_N) is N. A subsequent filter—either band‑pass or low‑pass—has a bandwidth B_o. Typically, the noise power after the filter is approximated by:
Noise power out of the filter = N (B_o / B_N)
Equation 1. This relationship holds for any reasonable filter following the ADC, regardless of center frequency, provided the filter is not excessively narrow.
Equation 1 assumes white (frequency‑flat) noise. I questioned the validity of this pseudo‑quantization‑noise assumption and investigated the conditions under which it holds. Extensive references (see Section 4) and simulation results support this inquiry.
Uniform quantization was the sole focus, as it is standard in high‑speed converters. Sigma‑delta architectures were deliberately excluded.
For ADC applications, RF chain gain is often increased so that preceding component noise is 3–5 dB above the quantization noise, rendering the quantization spectrum inconsequential. However, this practice can inflate system cost by demanding higher RF gain and ADC dynamic range.
In contrast, DAC designers prefer the DAC noise to dominate, avoiding the addition of downstream noise merely to enforce a white spectrum.
Peak, Average, and rms Values
Defining the input signal level is essential. Figure 2 depicts a 5‑bit quantized sine wave. Its amplitude is commonly expressed as 0 dBFS, where FS denotes full scale on the quantizer. RF engineers typically use rms values; for a sine wave, the rms level is 3 dB below the peak, so the signal is –3 dBrmsFS or 0 dBpeakFS.

Figure 2. 5‑bit quantized sine wave
For the remainder of the series, signal levels are expressed in dBrmsFS or dBpeakFS. Note that power is proportional to voltage squared; therefore, the peak‑to‑average power ratio (PAPR) of this constant‑envelope sine wave is 3 dB. Likewise, all band‑pass phase or frequency‑modulated constant‑envelope signals, such as MSK, exhibit a 3 dB PAPR. While many refer to the PAPR of such signals as 0 dB—considering only the envelope—the real‑voltage PAPR is indeed 3 dB higher.
In the next installment, we will examine the spectrum of ADC outputs in detail.
Abbreviations Used
Refer to the following table for terminology throughout the series.

References
The following sources underpin this series:
- Introduction and Motivation
- [1] Digital or Analog? How Should I and Q Combining and Separation Be Done?
- Requirements for Good Communications Link Performance: IQ Modulation and Demodulation
- [2] How Should Data Converters Be Modeled for System Simulations?
- Modeling ADCs Using Effective Number of Bits (ENOB)
- Modeling ADCs Using Intermodulation Polynomial and Effective Number of Bits
- Adding a Low‑pass Filter to an ADC Model and DAC Modeling
- Quantization noise with or without clipping effects
- ADC & DAC
- [3] Maloberti, Franco; Data Converters; Springer Publishing; 2007
- ADC Specific, with and without Clipping Effects
- [4] Lever, K. V.; Cattermol, K.W., "Quantising noise spectra," Electrical Engineers, Proceedings of the Institution of, vol.121, no.9, pp.945‑954, September 1974
- Lever, K.V.; Cattermole, K.W., "Erratum: Quantising noise spectra," Electrical Engineers, Proceedings of the Institution of, vol.122, no.3, pp.272, March 1975
- [5] Gersho, A, "Principles of quantization," Circuits and Systems, IEEE Transactions on, vol.25, no.7, pp.427‑436, July 1978
- [6] Gersho, A, "Quantization," Communications Society Magazine, IEEE, vol.15, no.5, pp.16‑16, September 1977
- [7] Schuchman, L., "Dither Signals and Their Effect on Quantization Noise," Communication Technology, IEEE Transactions on, vol.12, no.4, pp.162‑165, December 1964
- [8] Walden, R.H., "Analog‑to‑Digital Converters and Associated IC Technologies," Compound Semiconductor Integrated Circuits Symposium, 2008. CSIC '08. IEEE, vol., no., pp.1‑2, 12‑15 Oct. 2008
- [9] Walden, R.H., "Performance trends for analog to digital converters," Communications Magazine, IEEE, vol.37, no.2, pp.96‑101, Feb 1999
- [10] Walden, R.H., "Analog‑to‑digital converter technology comparison," Gallium Arsenide Integrated Circuit (GaAs IC) Symposium, 1994, Technical Digest 1994., 16th Annual, vol., no., pp.217‑219, 16‑19 Oct. 1994
- [11] Walden, R.H., "Analog‑to‑digital converter survey and analysis," Selected Areas in Communications, IEEE Journal on, vol.17, no.4, pp.539‑550, Apr 1999
- [12] Morgan, D.R., "Finite limiting effects for a band‑limited Gaussian random process with applications to A/D conversion," Acoustics, Speech and Signal Processing, IEEE Transactions on, vol.36, no.7, pp.1011‑1016, Jul 1988
- [13] Chow, P.E.-K., "Performance in waveform quantization," Communications, IEEE Transactions on, vol.40, no.11, pp.1737‑1745, Nov 1992
- [14] Dardari, D., "Exact analysis of joint clipping and quantization effects in high speed WLAN receivers," Communications, 2003. ICC '03. IEEE International Conference on, vol.5, no., pp.3487‑3492, vol.5, 11‑15 May 2003
- [15] Gray, R.M., "Quantization noise spectra," Information Theory, IEEE Transactions on, vol.36, no.6, pp.1220‑1244, Nov 1990
- [16] Echard, J.; Watt, M.L., "The quantization noise spectrum of a sinusoid in colored noise," Signal Processing, IEEE Transactions on, vol.39, no.8, pp.1780‑1787, Aug 1991
- [17] He Jing; Li Gang; Xu Xibin; Yao Yan, "Estimation for the quantization noise spectrum of linear digital filter," Communication Technology Proceedings, 2000. WCC - ICCT 2000. International Conference on, vol.1, no., pp.184‑187, vol.1, 2000
- [18] Bennett, W.R., "Spectra of quantized signals," Bell System Technical Journal, The, vol.27, no.3, pp.446‑472, July 1948
- [19] Mohamed, E.M., "Low complexity channel estimation technique for MIMO-Constant Envelope Modulation," Wireless Technology and Applications (ISWTA), 2013 IEEE Symposium on, vol., no., pp.97‑102, 22‑25 Sept. 2013
- [20] Clavier, A G.; Panter, P. F.; Grieg, D.D., "Distortion in a Pulse Count Modulation System," American Institute of Electrical Engineers, Transactions of the, vol.66, no.1, pp.989‑1005, Jan. 1947
- DAC Specific, with and without Clipping Effects
- [21] Ling, W.A, "Shaping Quantization Noise and Clipping Distortion in Direct‑Detection Discrete Multitone," Lightwave Technology, Journal of, vol.32, no.9, pp.1750‑1758, May 1, 2014
- Clipping effects only; ADC Only
- [22] Mazo, J.E., "Asymptotic distortion spectrum of clipped, DC‑biased, Gaussian noise [optical communication]," Communications, IEEE Transactions on, vol.40, no.8, pp.1339‑1344, Aug 1992
- [23] Dakhli, M.C.; Zayani, R.; Bouallegue, R., "A theoretical characterization and compensation of nonlinear distortion effects and performance analysis using polynomial model in MIMO OFDM systems under Rayleigh fading channel," Computers and Communications (ISCC), 2013 IEEE Symposium on, vol., no., pp.000583‑000587, 7‑10 July 2013
- [24] Dardari, D.; Tralli, V.; Vaccari, A, "A theoretical characterization of nonlinear distortion effects in OFDM systems," Communications, IEEE Transactions on, vol.48, no.10, pp.1755‑1764, Oct 2000
- [25] Giannetti, F.; Lottici, V.; Stupia, I, "Theoretical Characterization of Nonlinear Distortion Noise in MC‑CDMA Transmissions," Personal, Indoor and Mobile Radio Communications, 2006 IEEE 17th International Symposium on, vol., no., pp.1‑5, 11‑14 Sept. 2006
- [26] Van Vleck, J.H.; Middleton, D., "The spectrum of clipped noise," Proceedings of the IEEE, vol.54, no.1, pp.2‑19, Jan. 1966
- Other relevant mathematical treatments
- [27] Ermolova, N.Y.; Haggman, S.-G., "An extension of Bussgang's theory to complex‑valued signals," Signal Processing Symposium, 2004, NORSIG 2004. Proceedings of the 6th Nordic, vol., no., pp.45‑48, 11‑11 June 2004
- [28] Requicha, Aristides A G, "Expected Values of Functions of Quantized Random Variables," Communications, IEEE Transactions on, vol.21, no.7, pp.850‑854, Jul 1973
- [29] Pirskanen, J.; Renfors, M., "Quantization and jitter requirements in multimode mobile terminals," Communications, 2001. ICC 2001, IEEE International Conference on, vol.4, no., pp.1182‑1186, vol.4, 2001
- [30] Irons, Fred H.; Riley, K.J.; Hummels, D.M.; Friel, G.A, "The noise power ratio-theory and ADC testing," Instrumentation and Measurement, IEEE Transactions on, vol.49, no.3, pp.659‑665, Jun 2000
- [31] Widrow, B., "A Study of Rough Amplitude Quantization by Means of Nyquist Sampling Theory," Circuit Theory, IRE Transactions on, vol.3, no.4, pp.266‑276, Dec 1956
- [32] Rowe, H.E., "Memoryless nonlinearities with Gaussian inputs: Elementary results," Bell System Technical Journal, The, vol.61, no.7, pp.1519‑1525, Sept. 1982
- [33] VanTrees, Harry L; Detection, Estimation, and Modulation Theory, Part III, Radar/Sonar Signal Processing and Gaussian Signals in Noise; John Wiley and Sons; 1971. Appendix: "Complex Representation of Bandpass Signals, Systems, and Processes" AES‑1, Issue: 6, 1979, Page(s): 840‑848.
Internet of Things Technology
- Harnessing Data in the Internet of Reliability: Strategies for Effective Management
- Key Factors Influencing Diesel Generator Maintenance Frequency
- Three-Phase Power Explained: Delivering Stable, Efficient Electrical Energy
- Explore the Top Types of Portable Power Tools for Construction & Manufacturing
- Understanding Power Relays: How They Work and Why They Matter
- Understanding Power Connectors: Types, Functions, and Safety Tips
- Power Hacksaw Basics: How It Cuts Metal, Aluminum, and More
- Understanding Power Looms: How Mechanized Weaving Revolutionized Textiles
- What Is an Automatic Power Press? – The Ultimate Sheet Metal Forming Machine
- Understanding Power Chucks: Definition, Uses, and Benefits