Industrial manufacturing
Industrial Internet of Things | Industrial materials | Equipment Maintenance and Repair | Industrial programming |
home  MfgRobots >> Industrial manufacturing >  >> Manufacturing Technology >> Industrial Technology

Mastering Notch Filter Design: Precision Noise Suppression for Reliable Electronics

Noise and interference are common when dealing with electrical devices because different circuits produce varying signal frequencies that clash. Such issues are prevalent in communication devices, which get easily affected by power lines. If you are experiencing such issues, there is a way to filter out the unwanted frequencies using a notch filter design. There are different types of notch filters, and each has a unique circuit design that requires specific components to build.

In this article, we will look at them in detail to enable you to build the correct circuit. 

What Is A Notch Filter?

Also known as a band rejection filter or band-stop filter, a notch filter is a device that creates a high level of attenuation on a narrow notch. It rejects this band of frequencies but allows all others below or above the blocked range to transmit.

Mastering Notch Filter Design: Precision Noise Suppression for Reliable Electronics

Graph showing the frequency response of a 50Hz audio filter. Note the narrow V-shape of the blocked frequencies.

Source: Wikimedia Commons.

The device comes in handy to filter out particular noise, such as the 60Hz hum coming from an AC power source.

Notch Filter Characteristics

Notch filters have three attributes:

To achieve high Q, you need an almost infinite attenuation depth and a high gain operational amplifier in the circuit.

Notch Filter Types

Notch filter designs have three components. A low-pass filter attenuates the high frequencies, a high-pass filter blocks the low frequencies, and a summing amplifier combines the results.

However, there are different notch filter types, and each has a unique circuit design. They include:

Active Notch Filter

Mastering Notch Filter Design: Precision Noise Suppression for Reliable Electronics

An active notch filter circuit diagram

The green part forms the low pass filter in this active filter, while the blue part forms the high pass filter. These get summed up by the op-amp (orange components).

Passive Notch Filter

Unlike an active notch filter, this type only has passive components. It lacks amplifiers, which form the active part of the circuit.

Mastering Notch Filter Design: Precision Noise Suppression for Reliable Electronics

Passive notch filter circuit diagram showing the low and high pass filters in T configurations

The orange parts form the low pass filter section in the diagram, while the blue components form the high pass filter.

RLC Notch Filter

As the name suggests, an RLC notch filter is a passive type because the circuit only has a resistor (R), inductor (L), and capacitor (C).

Mastering Notch Filter Design: Precision Noise Suppression for Reliable Electronics

An RLC notch filter

Butterworth Notch Filter

A Butterworth notch filter produces a response that is as flat as possible, making it reliable and highly accurate. Most medical equipment, such as ECGs, have the device.

Mastering Notch Filter Design: Precision Noise Suppression for Reliable Electronics

4th order Butterworth low-pass filter

FM Notch Filter

FM notch filters help to reject strong FM signals that cause receiver saturation. Frequency modulation in the same band has increased, mainly due to localized audio broadcasts, so this device is crucial for reducing noise.

Mastering Notch Filter Design: Precision Noise Suppression for Reliable Electronics

A VHF FM notch filter

The other types include optical, RF, and inverse notch filters. There may be more, but all have an active or passive notch filter as the underlying circuit. The only way to differentiate between the two is if the circuit design has an active component (amplifier circuit) or not. 

Notch Filter Design Example

Mastering Notch Filter Design: Precision Noise Suppression for Reliable Electronics

The basic design of a notch filter

As stated earlier, a notch filter has three main components: a low pass filter, a high pass filter, and an amplifier. Combined, the three attenuate a narrow and specific frequency range.

Mastering Notch Filter Design: Precision Noise Suppression for Reliable Electronics

Graph response showing the narrow V stopband of a notch filter 

Source: Wikimedia Commons.

The most common notch filter topology is the basic twin-T notch filter design. It is a combination of two RC branches.

Mastering Notch Filter Design: Precision Noise Suppression for Reliable Electronics

A basic twin-T notch filter circuit

The upper T configuration (in red) is the low pass filter, while the lower T (in green) is the high pass filter.

However, if you want to attain a narrower level of rejection with a high attenuation level, you need to introduce an operational amplifier.

Mastering Notch Filter Design: Precision Noise Suppression for Reliable Electronics

A twin-T notch filter with an operational amplifier. The two resistors in orange form the voltage divider

The circuit still has one major problem. It increases the gain after the V attenuation in the response curve. Therefore, you need to introduce another operational amplifier to keep the circuit from altering the passband.

Mastering Notch Filter Design: Precision Noise Suppression for Reliable Electronics

Two op-amp notch filter design

Design Example

Say we want to design two operational amplifiers with a 1kHz notch frequency and a 3dB bandwidth of 100Hz. Consider the value of the high-pass filter capacitors to be 0.1uF.

We can use the formula for getting the notch filter frequency, which is:

Mastering Notch Filter Design: Precision Noise Suppression for Reliable Electronics

Therefore, we can design the active notch filter for a 20dB notch depth as follows:

Mastering Notch Filter Design: Precision Noise Suppression for Reliable Electronics

A two op-amp notch filter for a 20dB notch depth

Design An RLC Type Notch Filter

Another example worth looking at is the RLC notch filter. Instead of having a twin-T design with six components, this one only has three: a resistor, inductor, and capacitor.

If the task is to design a circuit with 23 kHz and 25 kHz as the cut-off frequencies, here’s how to go about it.

Mastering Notch Filter Design: Precision Noise Suppression for Reliable Electronics Mastering Notch Filter Design: Precision Noise Suppression for Reliable Electronics

An RLC notch filter for 23 kHz and 25 kHz cut-off frequencies

Notch Filter Transfer Function

Mastering Notch Filter Design: Precision Noise Suppression for Reliable Electronics

BW is the bandwidth.

WZ is the zero circular frequency (cut-off frequency), while WP is the pole circular frequency. WP determines the type/ characteristics of the filter, and there are three possibilities.

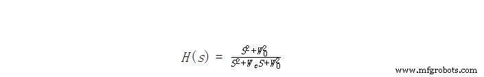
Therefore, you can rewrite the formula of a standard notch filter as:

Mastering Notch Filter Design: Precision Noise Suppression for Reliable Electronics

WC is the width of the rejected band, while W0 is the rejected frequency (central).

Notch Filter Applications

Summary

Notch filters are handy devices in several applications, primarily because they can block interference caused by AC power sources.

If you want to build this device, the information above and circuit diagrams are enough to guide you through the process.

However, you need to buy the required discrete components for that project first, and we have everything you need. Contact us to get affordable deals on authentic PCBs, resistors, capacitors, and all the parts required to set up the filter.


Industrial Technology

  1. E3.cable: Comprehensive Cable Design Software for Optimized Electrical Harnesses
  2. Optimize Wiring Harness Design with ECAD: Quality, Speed, and Cost Efficiency
  3. Essential RF & Microwave Design Principles for Reliable PCB Performance
  4. High‑Voltage PCB Design: Materials, Safety, and Best Practices
  5. Optimizing PCB Design for Manufacturing: Key Strategies & Best Practices
  6. Top 5 Design Strategies for Successful Reaction Injection Molding (RIM)
  7. Proven Design Strategies for Cast Molding with Thermoset Polyurethanes
  8. 4 Ways Drawing Approvals Enhance Protocase Order Accuracy
  9. 10 Essential Tips for Designing Low‑Noise Amplifiers
  10. Mastering Tolerance Design: Key Strategies for Precision and Cost Efficiency