Calculating Time to Reach a Target Voltage in RC and RL Circuits
In precision timing applications, determining how long an RC or RL circuit takes to reach a specified voltage or current is essential. This is especially true when you’re designing a circuit to perform a precise timing function. To solve for that duration, we modify the well‑known Universal Time Constant equation.
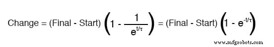
The original formula is expressed as:

Rearranging for Time
Our goal is to isolate time on one side of the equation. Algebraic manipulation yields:


The ln symbol denotes the natural logarithm, the inverse of the exponential function with base e. In other words:
If ex = a, then ln a = x.
Let’s see how this works with a concrete example.
We’ll use the same RC network described earlier: a 10 kΩ resistor and a 100 µF capacitor, giving a time constant τ = RC = 1 s. The capacitor starts at 0 V and is desired to reach 15 V. According to the standard RC charging curve, the voltage after 2 s is 12.970 V.
Substituting this change (ΔV = 12.970 V) into the rearranged formula gives:

The calculation returns t = 2 s, confirming that the capacitor charges to 12.970 V in exactly two seconds.
This approach applies universally to any capacitive or inductive circuit—whether charging or discharging—as long as you correctly identify the time constant, starting value, final value, and change.
Key takeaway: the most critical step is accurate setup; once the variables are in place, solving for time is a straightforward calculation.
Review
- To find the time required for an RC or RL circuit to reach a specified voltage or current, modify the Universal Time Constant formula to solve for time instead of change.
- The natural logarithm (ln) reverses an exponential of base e and is available on any scientific calculator.
Industrial Technology
- Top 5 Time Wasters Reliability Engineers Must Eliminate
- Last Chance to Register for PT Tech Days – Expert Sessions on Injection Molding & Extrusion
- 6 Proven Productivity Hacks Every Manufacturing CEO Should Adopt
- When to Upgrade Work Equipment: Smart Business Decisions
- 7 Key Indicators It’s Time to Upgrade Your Generator
- Three Red Flags That Signal Your Motor Needs Rewinding
- Overcoming the Four Key Challenges Facing Manufacturing Departments and Job Shops
- Why Smart Factories are Essential for Modern Manufacturing
- Why an Integrated Automation Platform is the Future of RPA Scaling
- Why Just-in-Time Inventory Is Critical for Business Success