Understanding Corona Discharge: Impact on Overhead Transmission Lines
As we have discussed in our previous articles about the transmission lines that how the electrical power is transmitted through transmission line conductors from the generating house to the consumer premises. While transmitting electrical power to users the conductors show some visual and sound effects. In result there is a power loss occurs on the transmission lines which is known as Corona effect.
What is Corona Effect / Discharge in Transmission Lines ?
“The phenomenon of violet glow, hissing noise and production of ozone gas in an overhead transmission line is called corona”
When an alternating potential difference is applied across two-conductor transmission lines whose spacing is larger compared to their cross-sectional diameter. There is no change appears in the air surrounding the wires if the voltage is low. But when the potential difference exceeds a certain value called critical disruptive voltage, the conductors are surrounded by a faint violet glow called corona. This effect can be accompanied by the hissing sound, violet glow, radio interference and production of ozone.
The higher the voltage, higher and larger the luminous envelope produced around the conductors, sound and power loss. And if the potential difference exceeds than breakdown value then a flashover has occurred between the conductors and burns the air insulation. If the conductors are smooth and polished then a uniform glow will appear around the conductors while the rough points will appear brighter on polished conductors. With DC voltage corona is different. The positive wire has a uniform glow around while spotty glow is observed around the negative wire.
Theory of corona formation:
Some ionization is always present in the air due to cosmic, ultraviolet rays and radioactivity. So under the normal conditions, the air contains some free electrons, negative ions, and neutral molecules. But when the potential difference between the conductors exceeds than a certain value a potential gradient is set up on the conductor’s surface. When the potential gradient reaches up to 30kv/cm which is sufficient for the free electron to strike with a neutral molecule with enough force to emit an electron.
This process occurs in other molecules which emit more free electrons. This process is cumulative that is why large of electrons jumped into the air surrounding the conductors, the air is now ionized and the spark occurs in between the conductors. Now the corona effect can be divided into two parts, one is the sound and another one is the visual part.
- Critical disruptive voltage: It is the minimum phase-neutral voltage at which corona occurs. consider two conductors of radii r and space b/w them is d. if V has applied voltage then the potential gradient at the surface of conductors are,
g =[V/ r loge (d/r)] volts/cm
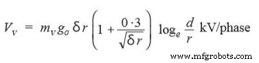
- Visual critical voltage: It is the minimum phase-neutral voltage at which a glow appears around all along the conductors. It has been seen that in the case of parallel conductors, the corona glow does not begin at the disruptive voltage Vc but at a higher voltage, Vv called visual critical voltage. The phase neutral effective value of visual critical voltage is given by the following formula,

Factors affecting corona
The phenomenon of corona can be affected by the physical state of the atmosphere as well as by the condition of the line. The following are the factors upon which corona depends.
- Atmosphere: As corona formed due to the ionization of the air surrounding the conductors, therefore corona is affected by the physical state of the atmosphere. In stormy weather, the number of ions is more than the normal, so the corona can occur at much less voltage as compared to the fair weather.
- Conductor size & shape: The corona can be affected by the physical shape and size of the conductor as well. If the surface of the conductor is irregular then it will give rise to the corona compare to the solid conductor. Because the unevenness of the conductor produces more chances of corona than a smoothly surfaced conductor.
- Spacing b/w the conductors: The spacing between the transmission line conductors must be greater than the diameter of the conductors because if the spacing b/w the conductors are less the air surrounding the conductors can be ionized at low voltage.
- Line voltage: The line voltage greatly affects the corona. If the line voltage is low then there will be no change in the air surrounding and hence no corona is formed. However, if the line voltage exceeds than a certain value the electrostatic stresses developed at the conductors surface which ionized the air and corona is formed.
Methods of Reducing Corona Effect
It has been observed that intense corona effects are seen at working voltage of 33kv or above; therefore the care should be taken while designing the transmission lines and substations to avoid this kind of enormous and destructive effects of a corona. The following are the methods of reducing the effects of corona discharge.

- By increasing the conductor size: By increasing the size of the conductor, the voltage at which corona occurs is raised and hence corona effects are considerably reduced.
- By increasing conductors spacing: By increasing the space between the conductors of transmission lines can considerably reduce the corona effect. We should increase the space b/w conductors from the space at which corona occurs. Increasing space accommodates more particles b/w the conductors.
Merits and demerits of corona effect
Corona has many advantages and disadvantages. In the correct design of a high voltage overhead line, the following merits and demerits are considered the most important.
Merits
- Due to corona the space b/w conductors is ionized and become conducting path, so the virtual diameter of the conductor is increased.
- Corona reduces the effects of transients produced by surges.
Demerits
- Corona is accompanied by a loss of energy. This affects the transmission lines efficiency.
- Ozone is also produced in the corona and may cause corrosion.
- The current drawn by the line due to corona is non-sinusoidal and hence non-sinusoidal voltage drop occurs in the line.
Industrial Technology
- How Industry Can Leverage the Decentralised Energy Revolution
- Turning Trade Tensions into Opportunities: How the U.S.-China Trade War Can Boost Small and Medium Enterprises
- Mitigating Outsourcing Risks: A CIO's Guide to Secure IT Partnerships
- How Automation Cuts E‑Commerce Return Costs
- Enhancing U.S. Supply Chains: The Strategic Role of Inland Ports
- Retailers: Proven Strategies to Offset Rising Shipping Surcharges
- Save $2.2 Trillion Annually: How Polyurethane Coatings Prevent Corrosion
- Unlock Competitive Edge: How Manufacturers Harness Data for Strategic Advantage
- Industry 4.0 in Process Industries: Proven Steps to Boost Efficiency and Innovation
- Harnessing IoT for Smarter, More Efficient Supply Chain Management