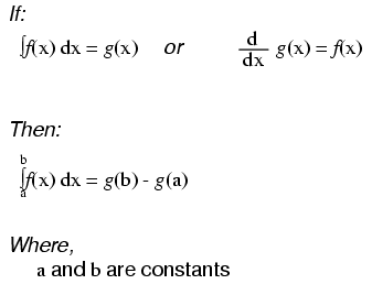
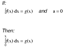
Understanding Definite Integrals and the Fundamental Theorem of Calculus
Explore the core concepts of definite integrals and how the Fundamental Theorem of Calculus links integration with differentiation. Visual aids below illustrate key ideas.


RELATED WORKSHEET:
Industrial Technology
- Common-Source JFET Amplifier: Design, Analysis, and Practical Worksheet
- Common-Drain JFET Amplifier: Fundamentals, Applications & Worksheet
- Common‑Gate JFET Amplifier: Design, Operation, and Applications
- Capacitors & Calculus: How Voltage Change Drives Current
- Inductors & Calculus: How Current Change Drives Voltage
- Harnessing Machine Learning to Optimize MRO Supply Chain Management
- Navigating Challenges and Seizing Opportunities in the Aerospace Industry
- E‑Commerce & Brick‑and‑Mortar: A Strategic Symbiosis
- Chassis Wheels Shortage: How the Lack of Mobility is Stalling Global Supply Chains
- HSK A, E & F Toolholders: Popular Designs Explained