Selecting Microcontroller Peripherals for High‑Performance DSP Projects
This article continues a discussion of microcontroller features and characteristics that are particularly important when you’re thinking in terms of DSP capabilities.
This article expands on the microcontroller attributes essential for robust digital signal processing (DSP) applications.
Microcontrollers offer a convenient, cost‑effective way to embed DSP into wearables, medical devices, audio gear, and other systems. However, they are primarily designed for control tasks. To harness their full DSP potential, careful peripheral selection is critical.
The previous article covered CPU traits such as word size, clock speed, instruction cycles, and floating‑point support. Here we examine peripheral modules and features that elevate an MCU’s DSP suitability.
Processor Support
Some hardware modules sit between the CPU and standard peripherals like timers and comparators—for example, a hardware multiplier.
Hardware Multiplication
A dedicated hardware multiplier can be the difference between a real‑time DSP system that meets performance targets and one that fails. Digital filtering, spectral analysis, and other DSP tasks require countless multiplications that must execute quickly enough to keep pace with incoming data streams.

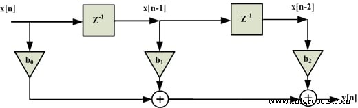
The triangles in this FIR filter structure represent multiplication operations.
Because most MCU applications do not need complex multiplication inside the core, a separate multiplier module is a pragmatic choice. It receives operands from the CPU, performs the calculation efficiently, and returns the result.
Beyond simple multiplication, DSP routines often employ multiply‑and‑accumulate (MAC) operations—repeatedly multiplying numbers and accumulating the products. A dedicated MAC unit can further boost performance.

The MAXQ615 from Maxim integrates a signed/unsigned 16‑bit multiplier, 16‑bit MAC, and 16‑bit multiply‑and‑subtract.
Direct Memory Access (DMA)
My first exposure to DMA came while developing a software‑defined radio that required rapid decoding of digitized baseband signals. That experience highlighted DMA’s value for time‑sensitive DSP.
A DMA controller is a dedicated engine that moves data between memory and peripherals, freeing the CPU to focus on computation. In applications demanding intensive, real‑time DSP, a DMA unit can dramatically increase throughput.

The SAM4S from Atmel’s DMA controller enabled sinusoid generation without continuously pinging the CPU for each DAC sample.
Communication
Effective DSP requires not only a powerful processor but also reliable data pathways. In most cases, input data originates outside the MCU, making data transfer a critical link.
Parallel Data Transfer
Parallel interfaces, though less common than serial links, can offer superior efficiency by moving eight or sixteen bits simultaneously. If your system permits parallel data, look for microcontrollers featuring an External Memory Interface (EMI), External Bus Interface (EBI), or similar peripheral.
Serial Data Transfer
While I²C is limited in speed and UART is typically moderate, high‑performance DSP systems benefit from peripherals that support high maximum clock rates and a dedicated synchronization signal. A USART (synchronous UART) or equivalent multichannel buffered serial port can deliver the bandwidth needed for demanding DSP workloads.
Error Checking
Robust error detection is essential for mission‑critical DSP. Hardware CRC modules compute cyclic redundancy checks on the fly, ensuring data integrity without burdening the CPU.

The EFM8 Laser Bee from Silicon Labs features a hardware CRC engine that accepts a byte stream and produces a 16‑bit CRC using a standard polynomial.
Conclusion
In many low‑ to medium‑intensity DSP scenarios, microcontrollers outperform dedicated DSP chips in terms of cost and integration. By selecting the right peripherals—hardware multipliers, DMA, high‑speed serial interfaces, and CRC units—you can build reliable, high‑performance DSP solutions.
Previous articles in the Introduction to Microcontrollers series:
- What Is a Microcontroller? An Introduction to the Central Component in Countless Electronic Devices
- How to Choose the Right Microcontroller for Your Application
- How to Read a Microcontroller Datasheet: Introduction and First Steps
- How to Read a Microcontroller Datasheet: Exploring the Hardware
Industrial Technology
- How to Become a Digital Champion in Manufacturing: A Practical Guide
- Choosing the Right Microcontroller for High‑Performance Digital Signal Processing
- Modeling Data Converters for Accurate System Simulations
- Selecting the Perfect Abrasive for Metal Fabrication: A Practical Guide
- Industry 4.0: Leveraging IoT to Transform Manufacturing
- Build a Winning Machine Shop: Proven Strategies for Success
- Selecting the Optimal IIoT Solution for Heavy Equipment Manufacturers
- Choosing the Right Filling Sensor: Accuracy, Reliability & Profitability
- HT12D RF Decoder IC: Comprehensive Guide for Remote Control Applications
- Choosing the Right Logo and Character Design for Your Prototype