High‑Pressure Structural and Phonon Analysis of Ti₃C₂Tₓ MXene Using X‑Ray Diffraction and Raman Spectroscopy
Abstract
The stability of the Ti₃C₂Tₓ MXene lattice and its phonon dynamics under high pressure are key to fully understanding its mechanical and thermal behavior. In this study, we employed in‑situ hydrostatic‑pressure X‑ray diffraction (XRD) and Raman spectroscopy to probe lattice deformation and phonon responses of Ti₃C₂Tₓ MXene up to 26.7 GPa. XRD measurements reveal that the crystal structure remains unchanged across this pressure range. From peak shifts, the elastic constant along the a‑axis was derived as 378 GPa. Raman spectra show that the out‑of‑plane A₁g phonon modes at ≈ 210, 504, and 711 cm⁻¹ undergo continuous blue‑shifts with pressure. Their Grüneisen parameters were determined to be 1.08, 1.16, and 0.29, respectively. These findings extend the fundamental property database for Ti₃C₂Tₓ MXene and aid in its application‑driven development.
Background
Following the intensive exploration of graphene and transition‑metal dichalcogenides (TMDs), two‑dimensional metal carbides (MXenes) have emerged as a promising class of materials, combining exceptional electrical conductivity with tunable surface chemistry. The layered Ti₃C₂ MXene consists of Ti–C sheets stacked via van der Waals interactions, with two carbon planes flanked by three titanium planes. Band‑structure calculations show that pristine Ti₃C₂ is half‑metallic, with the conduction band touching the valence band at Γ. Functional groups (–F, –O, –OH) introduced during etching of the TiₙAlCₙ₊₁ MAX phase open a modest band gap, allowing precise control over electronic properties. Ti₃C₂Tₓ MXenes exhibit conductivities up to 4.2×10⁻⁴ S/m, surpassing most TMDs, and have been demonstrated in supercapacitors, Li‑ion batteries, electromagnetic shielding, antibacterial coatings, and even light‑emitting devices.
Elastic properties are equally compelling: first‑principles calculations predict a Young’s modulus approaching 500 GPa, while nanoindentation measurements have found values around 330 GPa—comparable to monolayer graphene and far exceeding MoS₂. Recent high‑pressure XRD studies up to 3 GPa reported no phase transition, but the behavior at higher pressures remains unexplored. Raman spectroscopy, a powerful non‑destructive probe of crystal structure and phonon vibrations, has been used to characterize Ti₂CTₓ composition and phase stability, yet its pressure‑dependent response in Ti₃C₂Tₓ MXene is still unknown.
In this work, we synthesize Ti₃C₂Tₓ thin flakes and conduct simultaneous high‑pressure XRD and Raman measurements up to 26.7 GPa. Elastic constants are extracted from XRD peak shifts using the Murnaghan equation, and out‑of‑plane phonon Grüneisen parameters are obtained from Raman shifts and lattice‑parameter changes. These results advance the fundamental understanding of Ti₃C₂Tₓ’s mechanical resilience and vibrational behavior under extreme conditions.
Results and Discussions
Before high‑pressure measurements, we characterized the exfoliated Ti₃C₂Tₓ flakes. An optical image of flakes deposited on a Si/SiO₂ (300 nm) substrate shows a light‑green contrast, indicative of thin layers (Fig. 1a). Atomic force microscopy (AFM) confirms a typical thickness of 170 nm (Fig. 1b). Scanning electron microscopy (SEM) reveals the expected layered morphology, confirming successful exfoliation (Fig. 1c). XRD of the bulk Ti₃C₂Tₓ powder shows prominent (002), (004), and (006) peaks at 8.95°, 18.28°, and 27.7°, respectively, with minor TiO₂ impurities (Fig. 1d).

a Optical image of ultrasonically exfoliated Ti₃C₂Tₓ flakes; b AFM topography and line profile (170 nm thickness); c SEM image; d XRD of raw powder.
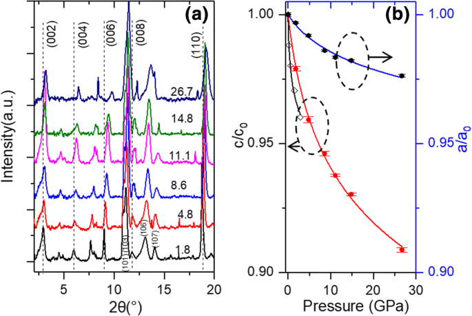
Under hydrostatic pressure up to 26.7 GPa, the XRD patterns (Fig. 2a) show no emergence of new peaks, confirming phase stability. All peaks shift to higher angles, reflecting lattice compression. The (002) peak moves from 2.883° to 3.162°, indicating a 9.1% reduction in the c‑axis, while the a‑axis contracts by 2.4% (Fig. 2b). Fitting the compression data with the Murnaghan equation yields linear compressibilities β₀ of 67.7 GPa (c) and 387.4 GPa (a), with pressure derivatives β′ of 25.5 and 72.1, respectively. These values agree closely with recent nanoindentation measurements (≈ 330 GPa) and theoretical predictions, underscoring Ti₃C₂Tₓ’s exceptional stiffness.

a XRD spectra at selected pressures (GPa). b Experimental compressive ratios (dots) and Murnaghan fits (lines) for a and c axes.
Raman spectroscopy further elucidates phonon behavior. At ambient pressure, three prominent out‑of‑plane A₁g modes appear at ~210, ~500, and ~700 cm⁻¹ (Fig. 3a). With increasing pressure, these peaks blue‑shift monotonically: 66.7, 85.1, and 60 cm⁻¹ at 25.6 GPa, respectively. Fitting the pressure dependence with a power‑law model yields logarithmic pressure derivatives δ₀ and their pressure derivatives δ′ (Table 3). Using the lattice‑parameter contraction, the Grüneisen parameters γ for the three modes are 1.08, 1.16, and 0.29, indicating modest anharmonicity compared to other 2D materials.

a Raman spectra under compression (GPa). b Raman spectra during decompression.
In addition, a new in‑plane mode appears above 12.6 GPa, suggesting possible flake reorientation or microfracturing under extreme compression. The pressure‑dependent Raman analysis confirms that Ti₃C₂Tₓ retains its structural integrity while exhibiting predictable phonon hardening.
Conclusions
High‑pressure XRD and Raman studies reveal that Ti₃C₂Tₓ MXene maintains its crystal structure up to 26.7 GPa, with significant lattice contraction and no phase transformation. The elastic constant along the a‑axis is 378 GPa, and the out‑of‑plane phonon modes display positive Grüneisen parameters of 1.08, 1.16, and 0.29. These insights deepen our understanding of Ti₃C₂Tₓ’s mechanical robustness and phonon dynamics under extreme conditions, guiding future applications in high‑performance energy storage and sensing devices.
Methods
Ti₃C₂Tₓ powder was synthesized by etching Ti₃AlC₂ (10 g) with 160 ml HF at room temperature for 5 h, followed by dispersion in DI water and ultrasonication (700 W). The supernatant was collected after 24 h and used for AFM, SEM, Raman, and XRD measurements. Ambient‑pressure XRD was performed on a Rigaku MiniFlex600. High‑pressure XRD employed a gasket‑type diamond anvil cell (DAC) at the Shanghai Synchrotron Radiation Facility; a 16:3:1 methanol–ethanol–water mixture served as pressure medium, and ruby fluorescence calibrated the pressure. Raman spectra were recorded with a Renishaw InVia spectrometer (532 nm laser). AFM topography was obtained on a Bruker Innova system. Peak fitting utilized OriginPro with a custom power‑law function.
Abbreviations
- 2D
Two dimensional
- AFM
Atomic force microscope
- DAC
Diamond anvil cell
- SEM
Scanning electron microscope
- TMDs
Transition metal dichalcogenides
- XRD
X‑ray diffraction
Nanomaterials
- First‑Principles Investigation of the Structural Stability and STM Imaging of Borophene on Ag(111)
- Effects of 15‑nm Gold Nanoparticles on Proliferation, Apoptosis, and Spheroid Formation in HT29 Colon Carcinoma and SPEV Embryonic Kidney Cells
- Raman Spectroscopy and Bulk Modulus of 2–5 nm Nanodiamond: Evidence of Quantum Confinement Effects
- Synchrotron X‑ray Absorption Spectroscopy Reveals Local Structural Changes in Al‑Doped BiFeO₃ Powders
- In‑Situ XRD and Electrical Analysis Reveal Phase Transitions and Monolayer Formation in Thin Oligothiophene Films
- Raman Spectroscopy: Foundations, Innovations, and Emerging Frontiers
- Optimizing Daidzein-Loaded Long‑Circulating Liposomes: Enhanced Oral Bioavailability and Prolonged Release
- Scalable, Patternable Nano‑Dot Arrays on ITO via Electrolysis for High‑Performance SERS
- Precise Atomic-Scale Analysis of Bi Distribution in GaAs₁₋ₓBiₓ Alloys via EDX, HAADF, and EELS
- Raman-Based Thermometry of 2D Sb₂Te₃ Topological Insulators Across 100–300 K