Enhancing β‑Ga₂O₃ Schottky Diodes: Argon‑Implanted Edge Termination Boosts Breakdown Voltage and Figure‑of‑Merit
Abstract
We demonstrate that edge‑terminated Au/Ni/β‑Ga₂O₃ Schottky barrier diodes, fabricated with a focused argon‑implantation step, achieve a remarkable rise in reverse‑breakdown voltage and Baliga figure‑of‑merit (FOM). By varying the implant dose from 5×10¹⁴ cm⁻² to 1×10¹⁶ cm⁻² at 50 keV, the breakdown voltage increases from 209 V to 252 V and 451 V (with a maximum measured value of 550 V). Correspondingly, the FOM improves from 25.7 to 30.2 and 61.6 MW cm⁻², representing 17.5 % and 140 % enhancements, respectively. 2‑D device simulations confirm that the high‑resistivity amorphous layer produced by argon ions smooths the electric field peak from the anode corner to a region beneath the implant, reducing field crowding. Temperature‑dependent forward‑bias measurements further illustrate stable performance across a wide thermal range.
Background
Ultra‑wide bandgap semiconductors such as β‑Ga₂O₃, AlN, and diamond are rapidly advancing the high‑power electronics landscape. β‑Ga₂O₃ offers an exceptional bandgap of 4.8–4.9 eV and a theoretical breakdown field of ~8 MV cm⁻¹, surpassing 4H‑SiC and GaN by factors of three and four, respectively. Its Baliga FOM reaches 3400, an order of magnitude higher than SiC and four times higher than GaN, positioning it as a prime candidate for low‑loss, high‑voltage switching devices.
Large‑area, cost‑effective β‑Ga₂O₃ single crystals can be grown by floating‑zone (FZ) or edge‑defined film‑fed growth (EFG). Doping with Sn, Si, or Ge allows electron densities to be tuned from 10¹⁶ to 10¹⁹ cm⁻³, enabling the design of devices with tailored conductivity. Schottky barrier diodes (SBDs) fabricated from β‑Ga₂O₃ exploit the material’s fast switching and low forward drop, thereby improving power‑conversion efficiency.
Despite record breakdown voltages of 1.016 kV, 2.3 kV, and 1.6 kV in un‑terminated β‑Ga₂O₃ SBDs, these values fall short of the theoretical 34 %, 8 %, and 10 % of the ideal limit. Edge termination is therefore essential to relieve electric‑field crowding and unlock the material’s full potential. Conventional approaches such as field plates, floating rings, trench MOS, and junction termination extension (JTE) are ineffective in β‑Ga₂O₃ because of its intrinsic lack of p‑type doping. Instead, argon‑implantation has emerged as a simple, lithography‑free technique to form a high‑resistivity amorphous layer at the anode edge, effectively smoothing the field distribution and has been successfully applied in SiC and GaN rectifiers.
In this work, we fabricate vertical edge‑terminated β‑Ga₂O₃ SBDs using argon implantation at the Schottky contact periphery, and we systematically evaluate their electrical characteristics and field distribution.
Methods/Experimental
The 10 µm‑thick drift layer was mechanically exfoliated from a high‑purity Sn‑doped (100) β‑Ga₂O₃ bulk grown by EFG. High‑resolution X‑ray diffraction (HRXRD) and atomic force microscopy (AFM) confirmed exceptional crystal quality (FWHM = 37.4 arcsec, RMS = 0.203 nm). Four‑point probe measurements yielded a sheet resistance of 563 Ω □⁻¹, corresponding to an electron mobility of 85–95 cm² V⁻¹ s⁻¹ at a carrier concentration of 1.3×10¹⁷ cm⁻³.
Back‑side argon implantation (50 keV, 2.5×10¹⁴ cm⁻²) followed by 950 °C, 60‑min anneal in N₂ produced a uniform n‑type ohmic contact. After depositing a Ti/Au (20 nm/100 nm) stack and rapid‑thermal annealing (RTA) at 600 °C, 60 s, the front surface was patterned with a 2‑µm photoresist mask. Argon ions (50 keV) were then implanted at the Schottky edge with doses of 5×10¹⁴ cm⁻² (sample B) and 1×10¹⁶ cm⁻² (sample C). A 400 °C, 60‑s RTA in N₂ mitigated implantation damage and suppressed reverse leakage. Finally, 100 µm‑diameter Ni/Au (30 nm/200 nm) Schottky anodes were defined by standard photolithography, evaporation, and lift‑off. A reference device (sample A) was processed identically but without edge implantation.
Cross‑sectional TEM of sample C revealed an amorphous β‑Ga₂O₃ layer ~50 nm thick beneath the implant region (Fig. 2a). Figure 2b shows a photograph of the finished device. Measurement setups for forward I‑V (0–3 V, 10 mV steps) and reverse I‑V (0 to –500 V, 1 V steps) are illustrated in Fig. 2c,d.

a XRD rocking curve, b AFM image of the 10 µm β‑Ga₂O₃ drift layer, c measured sheet resistance of a 10 mm×10 mm sample.

a TEM of sample C, b device photograph, c forward I‑V setup, d reverse I‑V setup.
Results and Discussion
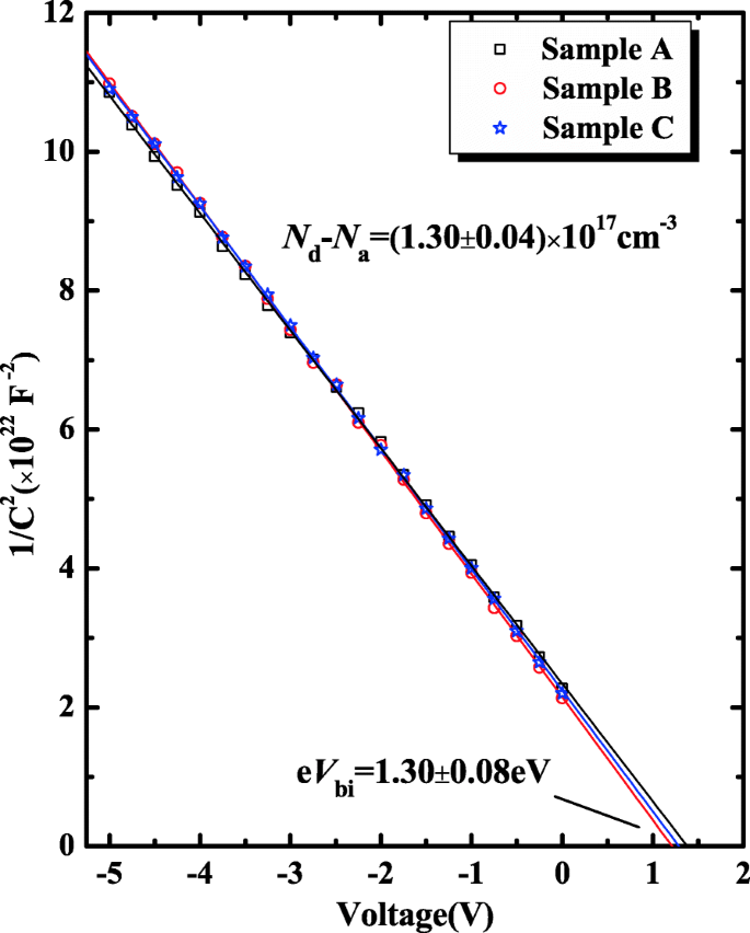
The 1/C²–V curves for all three samples yielded an effective donor concentration of (1.3±0.04)×10¹⁷ cm⁻³ and a built‑in potential of 1.30 eV. Using standard Schottky analysis, the barrier height φ_b,CV was determined to be 1.32 eV. The extraction equations are presented below:
$$\frac{1}{C^2}=\frac{2}{q\varepsilon A^2(N_d-N_a)}(V_{bi}-V)\quad(1)$$ $$e\varphi_b=eV_{bi}+ (E_c-E_f)-e\Delta\varphi\quad(2)$$ $$E_c-E_f=kT\ln\left(\frac{N_c}{N_d-N_a}\right)\quad(3)$$ $$e\Delta\varphi=\left\{\frac{e}{4\pi\varepsilon}\left[\frac{2eV_{bi}(N_d-N_a)}{\varepsilon}\right]^{1/2}\right\}^{1/2}\quad(4)$$

1/C²–V plots for samples A, B, and C.
Forward J‑V characteristics (Fig. 4a) show that edge implantation does not degrade the forward conduction. Threshold voltages remain within 0.91–0.95 V, and the I_on/I_off ratio exceeds 10⁹ at room temperature. Specific on‑resistances increase modestly from 1.7 to 3.3 mΩ cm², while peak current densities at 2 V remain above 600 A cm⁻², comparable to or better than literature values for similar drift layers.

a Room‑temperature J‑V curves, b temperature‑dependent J‑V for sample C (300–423 K), c Richardson plot for sample C.
Temperature sweeps reveal an ideality factor n decreasing from 1.06 to 1.02 and a nearly constant barrier height φ_b,JV of 1.21 eV, indicating thermionic emission dominance with minimal image‑force lowering. The Richardson plot yields φ_b = 1.22 eV and an effective Richardson constant A* = 48.5 A cm⁻² K⁻², matching the theoretical range for β‑Ga₂O₃ (24–58 A cm⁻² K⁻²) based on an effective mass of 0.23–0.34 m₀.
Reverse J‑V measurements (Fig. 5a) confirm that argon implantation significantly enhances breakdown voltage: from 209 V (sample A) to 252 V (sample B) and 451 V (sample C). The corresponding Baliga FOM values rise from 25.7 to 61.6 MW cm⁻², a 140 % improvement at the highest dose. Leakage currents are slightly higher in the implanted devices, likely due to residual implantation damage; further optimization of post‑implant anneal parameters will be explored in future work.

a Reverse J‑V curves, b breakdown voltage distribution for un‑implanted devices, c distribution for implanted devices.
Statistical analysis of 550 V maximum breakdown voltage across the sample set confirms that the high‑resistivity edge layer successfully mitigates electric‑field peaks. 2‑D simulations (Fig. 6) incorporating a 50 nm deep mid‑gap acceptor and incomplete ionization model demonstrate a shift of the peak field from the anode corner to a region beneath the implant, with a maximum field of 5.05 MV cm⁻¹—consistent with theoretical limits and superior to SiC and GaN counterparts.

Simulated electric field distribution at breakdown for samples A–C; highlighted regions show peak field relocation.
Conclusions
We have successfully fabricated vertical Au/Ni/β‑Ga₂O₃ Schottky diodes with argon‑implanted edge termination. Compared with a reference device, the implanted diodes exhibit a 20–140 % increase in breakdown voltage and a comparable or slightly higher on‑resistance. The highest measured breakdown voltage reaches 550 V, with a peak electric field of 5.05 MV cm⁻¹—well beyond the limits of SiC and GaN diodes. These results confirm that a simple, lithography‑free argon‑implantation step can unlock the full high‑voltage potential of β‑Ga₂O₃ Schottky devices.
Abbreviations
- AFM:
Atomic force microscope
- EFG:
Edge‑defined film‑fed growth
- FWHM:
Full width at half‑maximum
- FZ:
Floating‑zone
- HRXRD:
High‑resolution X‑ray diffraction
- JTE:
Junction termination extension
- MOSFET:
Metal‑oxide‑semiconductor field‑effect transistor
- RMS:
Root mean square
- SBD:
Schottky barrier diode
- TE:
Thermionic emission
Nanomaterials
- NXP on Edge Intelligence: Insights from an Embedded World 2021 Interview
- ept EC.8: 0.8 mm Pitch High‑Speed Edge Card for 24 Gbps Transfer
- Elevating Industry 4.0: Harnessing Edge Analytics for Smarter, Faster Manufacturing
- IIC and OpenFog Merge to Drive Edge Computing Innovation
- Ultrawide‑Bandgap β‑Ga₂O₃ Schottky Barrier Diodes: Material Fundamentals, Device Design, and Power Electronics Outlook
- Mo/Au Schottky Contact on β‑Ga₂O₃ Thin Film: Experimental & Theoretical Insights into Reverse‑Bias Transport and Breakdown Characteristics
- Double‑Heterojunction AlGaN/GaN Schottky Barrier Diode on Si: A Combined Theoretical and Experimental Analysis
- Enhanced Rectification of α‑Borophene Nanoribbon Heterojunctions via Edge Passivation
- Hybrid PEDOT:PSS/β‑Ga2O3 Deep‑Ultraviolet Schottky Photodetectors: Temperature‑Dependent Performance Analysis
- Boost IoT Performance with Metadata-Driven Data Insights