Hybrid PEDOT:PSS/β‑Ga2O3 Deep‑Ultraviolet Schottky Photodetectors: Temperature‑Dependent Performance Analysis
Abstract
In this paper, the hybrid β-Ga2O3 Schottky diodes were fabricated with PEDOT:PSS as the anode. The electrical characteristics were investigated when the temperature changes from 298 K to 423 K. The barrier height ϕb increases, and the ideality factor n decreases as the temperature increases, indicating the presence of barrier height inhomogeneity between the polymer and β-Ga2O3 interface. The mean barrier height and the standard deviation are 1.57 eV and 0.212 eV, respectively, after taking the Gaussian barrier height distribution model into account. Moreover, a relatively fast response speed of less than 320 ms, high reponsivity of 0.6 A/W, and rejection ratio of R254 nm/R400 nm up to 1.26 × 103 are obtained, suggesting that the hybrid PEDOT:PSS/β-Ga2O3 Schottky barrier diodes can be used as deep ultraviolet (DUV) optical switches or photodetectors.
Introduction
Many research groups have paid lots of attention to a new ultrawide bandgap semiconductor of β-Ga2O3 as a potential material for deep ultraviolet (DUV) photodetectors [1,2,3,4,5,6,7], high voltage, and high power devices for its wide band gap (4.8–4.9 eV), high breakdown electric field (8 MV/cm), and chemical stability [8,9,10,11]. In addition, it is simple to cleave β-Ga2O3 into nano-membranes or thin belts [12, 13] for its unique property of the large lattice constant along [100] direction .Various metals, such as Cu [14], Pd [15], Pt [11, 16,17,18,19], Au [15, 20], Ni [16, 21,22,23], and TiN [18], were used to investigate the electrical characteristics of β-Ga2O3 Schottky barrier diodes (SBD). However, the Schottky diodes fabricated with some polymer and the electrical characteristics have not been reported yet. Among all the organic materials, PEDOT:PSS is one of the transparent hole-conducting polymers, whose conductivity is up to 500 S/cm and work function is up to 5.0 ~ 5.3 eV, close to Au and Ni [23,24,25]. Furthermore, the PEDOT:PSS film can be formed only by spin-coating onto the substrate and subsequent baking in air. There are some investigations in regard to the transparent Schottky contact of PEDOT:PSS on ZnO single crystalline substrate and GaN epilayer, exhibiting rectifying good properties and photoelectrical or photovoltaic characteristics [26,27,28,29].
In this work, the hybrid Schottky diode was fabricated with PEDOT:PSS polymer and the mechanically exfoliated β-Ga2O3 flakes from the high quality β-Ga2O3 substrate. The electrical characteristics of the diodes were investigated in the temperature region between 298 K and 423 K. Furthermore, the I–V measurements under the UV illumination were carried out, the responsivity was measured, and the transient behavior of the photocurrent was also analyzed.
Experimental Methods
The β-Ga2O3 flakes with the thicknesses of 15–25 μm were mechanically exfoliated from the (100) β-Ga2O3 substrate with the electron concentration of 7 × 1016 cm−3. For the electron density is 2–3 orders of magnitude higher than that in the unintentionally doped Ga2O3 epilayer deposited on sapphire substrate in [30] and the highly conductive PEDOT:PSS films was used in this paper, so the pn heterojunction was formed in [30] while Schottky junction was formed in this paper [30]. Figure 1a shows the schematic diagram of the hybrid PEDOT:PSS/β-Ga2O3 Schottky diode. The β-Ga2O3 flakes were cleaned in acetone, ethanol, and deionized water with ultrasonic agitation and then immersed into the HF: H2O (1:10) solution to remove surface oxides. Then, the deposition of Ti/Au(20 nm/100 nm) metal stack was carried out on the whole back side, and the rapid thermal processing at 470 °C under N2 atmosphere was conducted for 60 s to decrease the ohmic contact resistance. After spin coated onto the surface of β-Ga2O3 flake for three times, PEDOT:PSS was baked on an electric hotplate at 150 °C, and the baking duration was 15 min. Subsequently, isolated devices with the area of 1 mm × 2 mm were obtained. From the HRTEM image of Fig. 1b, we can observe that the atoms are regularly arranged and few atomic column misalignments are present, indicating a high crystal quality of the β-Ga2O3 flake. As shown in Fig. 1c, d, the FWHM of HRXRD is about 35.3 arcsec, and the root mean square (RMS) is estimated to be 0.19 nm, illustrating the superior crystal quality and smooth surface.

Schematic diagram of the hybrid PEDOT:PSS/β-Ga2O3 Schottky diode (a), HRTEM image (b), HRXRD rocking curve of the (400) plane (c), AFM image of β-Ga2O3 flake obtained from β-Ga2O3 substrate by mechanically exfoliation, showing a high crystal quality and smooth surface (d)
Result and Discussion
I–V Characteristics and Barrier Height
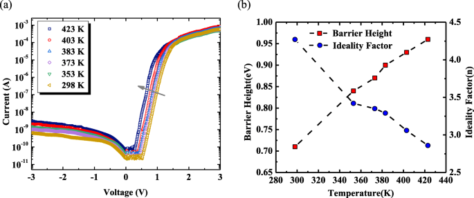
As presented in Fig. 2a, the I–V characteristics of the hybrid PEDOT:PSS/β-Ga2O3 Schottky barrier diodes were investigated when the temperature changes from 298 K to 423 K. The current increases monotonously with the temperature and the semi-log I–V curves show the linear behavior as the forward voltage bias less than 1.5 V. As the forward bias voltage further increases, the slope of the semi-log I–V curves gradually reduces, and the forward current approaches 6 ~ 8 × 10−4 A, indicating that the series resistance causes the I–V curve deviating from the linearity. In addition, the reverse leakage current is less than 10−9 A at – 3 V, and the Ion/Ioff ratio is up to 106 at room temperature, illustrating a rectifying behavior as good as inorganic β-Ga2O3 Schottky diodes [11,12,13,14,15].

Temperature-dependent I–V characteristics of PEDOT:PSS/β-Ga2O3 SBDs from 298 to 423 K (a) and Schottky barrier height ϕb and ideality factor n of hybrid β-Ga2O3 SBD (b)
According to the equation \( I={I}_s\left\{\exp \left[\frac{q\left(V-{IR}_s\right)}{nkT}\right]-1\right\} \) where V is the bias voltage, T and k are the absolute temperature and the Boltzmann constant, respectively. The ideality factor n and the reverse saturation current Is can be extracted from the y-axis intercepts and the slopes of the linear extrapolation of the semi-log I–V curves at different temperatures. Although the ideality factor n of the ideal Schottky diode is equal to 1, it is always larger than 1 to some extent in actual device. The deviation of the thermal emission (TE) model becomes much greater as n increases. According to the expression \( {\phi}_b=\frac{kT}{q}\ln \left[\frac{AA^{\ast }{T}^2}{I_s}\right] \), we can obtain the Schottky barrier height ϕb at different temperatures, as shown in Fig. 2b. The increase in temperature causes ϕb to increase from 0.71 eV to 0.84, 0.87, 0.90, 0.93, and 0.96 eV while n to decrease from 4.27 to 3.42, 3.35, 3.29, 3.06, and 2.86. For n much larger than 1, suggesting other conducting mechanisms, such as field effect or thermal field effect, contributing to the current transport and resulting in the difference between pure TE model and the I–V characteristics, which has been illustrated in the wide bandgap SBDs, including GaN and SiC [31,32,33,34].
For ϕb and n are temperature-dependent, the inhomogeneity of barrier height should be considered at PEDOT:PSS and β-Ga2O3 interface. Considering the Gaussian distribution of the barrier height, the inhomogeneous barrier height may be described as \( {\phi}_b=\overline{\phi_{b0}}\left(T=0\right)-\frac{q{\sigma}_s^2}{2 kT} \) and the variation of n with T is given by \( \left(\frac{1}{n}-1\right)={\rho}_2-\frac{q{\rho}_3}{2 kT} \), where \( \overline{\phi_{b0}} \) and σs are the mean barrier height and the standard deviation, respectively, ρ2 and ρ3 are the temperature-dependent voltage coefficients, and the voltage deformation of the Schottky barrier height (SBH) distribution was quantified by them (Fig. 3a). \( \overline{\phi_{b0}} \) and σs can be calculated from the intercept and the slope of the ϕb versus q/2kT curve, about 1.57 eV and 0.212 eV, respectively. At the same time, ρ2 and ρ3 are evaluated to be 0.4 eV and 0.02 eV from the intercept and slope of the (1/n − 1) versus q/2kT plot. Compared with \( \overline{\phi_{b0}} \), σs is not small, illustrating the existence of barrier inhomogeneity at PEDOT:PSS/β-Ga2O3 interface [35].

The variation of the SBH ϕb and (n−1 − 1) with q/2KT curves, \( \overline{\phi_{b0}} \) and σs can be obtained (a), modified \( \ln \left({I}_{\mathrm{s}}/{T}^2\right)-\left({q}^2{\sigma}_{\mathrm{s}}^2/2{k}^2{T}^2\right) \) versus 1000/T plot (b)
By considering the barrier height inhomogeneity, the relationship between the reverse saturation current Is and the mean barrier height \( \overline{\phi_{b0}} \)can be modified as \( \mathrm{In}\left(\frac{I_s}{T^2}\right)-\left(\frac{q^2{\sigma_s}^2}{2{k}^2{T}^2}\right)=\mathrm{In}\left({AA}^{\ast}\right)-\frac{q\overline{\phi_{b0}}}{kT} \). It can be discerned from Fig. 3b that the plot of the \( \ln \left({I}_{\mathrm{s}}/{T}^2\right)-\left({q}^2{\sigma}_{\mathrm{s}}^2/2{k}^2{T}^2\right) \) versus 1/kT is a straight line, from which we can extract the effective Richardson constant A* of 3.8 A cm−2K−2, one order magnitude smaller than the theoretical Richardson constant of 40.8 A cm−2K−2 with the β-Ga2O3 effective mass of m* = 0.34 m0 [36, 37]. Thus, the temperature-dependent ϕb and n, in other words, the Gaussian distribution of the barriers over SBHs can be used to explain the barrier inhomogeneity at the PEDOT:PSS/β-Ga2O3 interface.
Characteristics of UV Photodetector
As described above, the hybrid β-Ga2O3 Schottky diode exhibits a good rectifying characteristics; the ratio of Ion/Ioff up to 106 in dark state at room temperature. The lower dark current Idark of 9.4 nA@Vbias = − 4 V can be determined from Fig. 4a, indicating a lower noise characteristic. While under the normal incidence of 254 nm wavelength with the photodensity of 150 μW/cm2, the photocurrent Iphoto reaches 112 nA@Vbias = − 4 V. In addition, the photodetector shows a weak photovoltaic effect with a photocurrent of 0.45 nA at 0 V and an open-circuit voltage (Voc) of 0.15 V, much less than 0.9 V in reference [38], which may be attributed to the carrier density difference and the resulting Fermi level variation. Figure 4b represents the linear Iphoto versus Vbias at various Plight. The device shows the dependence of Iphoto on the Plight, and the Iphoto increases non-linearly with the Plight, in other words, at different Vbias, the plots of Iphoto versus Plight demonstrate an obvious superlinear behavior, as shown in Fig. 4c. In order to elucidate the mechanism of the superlinear behavior, Fig. 4e presents the energy diagram of the PEDOT:PSS and β-Ga2O3 before contact. The electron affinity and the bandgap of β-Ga2O3 are 4.0 eV and 4.9 eV, respectively. The lowest unoccupied molecular orbital (LUMO) is 3.3 eV, and the highest occupied molecular orbital of PEDOT:PSS is 5.2 eV [39]. As they came to contact, a Schottky barrier was formed. When the device is illuminated and the reverse bias is applied to the electrodes of the Schottky diodes, the photo generated electron-hole pairs are separated rapidly by the electric field and the holes drift to the anode while the electrons to the cathode, as shown in Fig. 4f. For the presence of traps at the PEDOT: PSS/β-Ga2O3 interface, the holes are trapped at the interface states and produce net positive charges, reducing the effective Schottky barrier height, more carriers flowing across the Schottky junction, and improving the Iphoto. Figure 4d presents the photo to dark current ratio (PDCR) curves under different Plight. As the voltage bias shifts from

Relationship between Photocurrent Iphoto@150 μW/cm2, dark current Idark, and bias voltage Vbias (a), plots of Iphoto versus Vbias under different Plight (b), linear Iphoto as a function of Plight (c), curves of photo to dark current ratio (PDCR) under different Plight (d), band diagram of PEDOT:PSS and β-Ga2O3 before contact (e), band diagram of PEDOT:PSS and β-Ga2O3 under the reverse bias after contact, the condition without applied voltage and the condition with the reverse bias are shown by the solid line and the dashed line, respectively (f)
0V to − 1.2V, the PDCR increases gradually and then decreases with the voltage bias becoming more negative, the higher PDCR above 20 is achieved at a Vbias of − 1.2 V and a Plight of 150 μW/cm2.
The time-dependent photoresponse characteristics of hybrid photodetector are studied by using square wave light with a period of 10 s under the Vbias of − 1.2 V and a Plight of 150 μW/cm2. After several illumination cycles, devices reach the stable on-state Iphoto at the given Plight and Vbias, as represented in Fig. 5a. The rise time and decay time are 319 ms and 270 ms [40, 41], respectively, much less than those of devices fabricated on epitaxial β-Ga2O3 films or β-Ga2O3 flakes [35, 42, 43] but longer than the data in [31]. For the existence of double heterojunction in [31], PEDOTT:PSS/Ga2O3 upper junction and Ga2O3/p-Si lower junction, the photogenerated carriers can be separated more effectively by the double built-in electric fields than the only one PEDOTT:PSS/Ga2O3 junction in this paper. Therefore, less carriers can be captured by the defects in [31], resulting in the shorter rise time and decay time. Furthermore, the overshooting feature can be observed from the shapes of photoresponse curves with a wedgy head at the lower Plight of 150 μW/cm2 than that occurred at the Plight of 600 μW/cm2 in [30] for the effective collection of photogenerated carriers under the reverse bias of − 1.2 V rather than 0 V.

Multi-cycles (a) and single cycle (b) of time-dependent Iphoto of the hybrid PEDOT:PSS/β-Ga2O3 Schottky barrier photodetector at the Vbias = − 1.2 V, the rise time and decay time are determined to be 319 ms and 270 ms, respectively
Figure 6 depicts the responsivity characteristics versus the illumination optical λ under the Vbias of − 1.2 V. The maximum responsivity Rmax of 0.62 A/W is achieved at a λ of 244 nm and the corresponding external quantum efficiency(EQE) of 3.16 × 102% calculated by the expression EQE = hcRmax/(eλ), much higher than that obtained in [30, 38] for the effective collection of photogenerated carriers, where Rmax is the peak responsivity, and h is the Plank constant. e and λ are the electronic charge and the illumination wavelength, respectively. As the wavelength is longer than 290 nm, the photoresponsivity is lower than 1 × 10−3, illustrating a much better spectral selectivity in the hybrid β-Ga2O3 devices. At the same time, the rejection ratio of R254 nm/R400 nm is determined to be 1.26 × 103. Compared with the reported inorganic Ga2O3 photodetector [43,44,45,46,47,48,49], the hybrid device possesses a higher photoresponsivity, faster response speed and larger UV/visible rejection ratio, implying a promising solar blind photodetectors with high performance.

Responsivity versus wavelengths for the PEDOT:PSS/Ga2O3 hybrid photodetectors at Vbias =-1.2 V
Conclusions
We have fabricated PEDOT:PSS/β-Ga2O3 hybrid Schottky barrier diode. The Schottky barrier height ϕb and ideality factor n are dependent on temperature, indicating that the Schottky barrier height was inhomogeneous at PEDOT:PSS/β-Ga2O3 interface. The mean barrier height and standard deviation can be evaluated to be 1.57 eV and 0.212 eV, respectively, based on the Gaussian barrier height distribution model. Furthermore, the characteristics of PEDOT:PSS/β-Ga2O3 DUV Schottky barrier photodetectors were also investigated. A higher responsivity of 0.6 A/W, rejection ratio of R254 nm/R400 nm = 1.26 × 103, EQE of 3.16 × 104% and a faster response speed of less than 320 ms are achieved, suggesting that the hybrid Schottky barrier diodes can be used as DUV optical switches or photodetectors.
Availability of Data and Materials
All data is available from the authors via a reasonable request.
Abbreviations
- AFM:
-
Atomic force microscope
- DUV:
-
Deep ultraviolet
- EQE:
-
External quantum efficiency
- FWHM:
-
Full-width half maximum
- HRTEM:
-
High-resolution transmission electron microscopy
- LUMO:
-
Lowest unoccupied molecular orbital
- PDCR:
-
Photo to dark current ratio
- RMS:
-
Root mean square
- SBDs:
-
Schottky barrier diodes
- TE:
-
Thermal emission
Nanomaterials
- Ultrawide‑Bandgap β‑Ga₂O₃ Schottky Barrier Diodes: Material Fundamentals, Device Design, and Power Electronics Outlook
- Enhanced Current Spreading in AlGaN‑Based Deep‑UV LEDs via PNP‑AlGaN Structures
- Gradient Nanomechanical Properties of Fluorosed Enamel: Implications for Restorative Material Selection
- Optimizing Quantum‑Well Width for Peak Electroluminescence in AlGaN Deep‑UV LEDs Across Temperatures
- Mo/Au Schottky Contact on β‑Ga₂O₃ Thin Film: Experimental & Theoretical Insights into Reverse‑Bias Transport and Breakdown Characteristics
- Energy Band Alignment in Atomic‑Layer‑Deposited ZnO/β‑Ga₂O₃ (over 2 01) Heterojunctions Revealed by XPS
- Enhancing β‑Ga₂O₃ Schottky Diodes: Argon‑Implanted Edge Termination Boosts Breakdown Voltage and Figure‑of‑Merit
- Enhancing Light Extraction in Deep‑UV Flip‑Chip LEDs Using Nanometer‑Scale Meshed Contacts and Inclined AlGaN Nanocones
- Enhancing Deep Ultraviolet LED Performance via Locally Modulated NPN‑AlGaN Current‑Spreading Layers
- Ultra‑Sensitive NiO/β‑Ga₂O₃ Heterojunction UV Photodetector for Advanced Applications