Double‑Heterojunction AlGaN/GaN Schottky Barrier Diode on Si: A Combined Theoretical and Experimental Analysis
Abstract
An AlGaN/GaN Schottky barrier diode (SBD) with double-heterojunction is theoretically and experimentally investigated on the GaN/AlGaN/GaN/Si-sub. The two-dimensional hole gas (2DHG) and electron gas (2DEG) are formed at the GaN-top/AlGaN and AlGaN/GaN interface, respectively. At the off-state, the 2DEH and 2DHG are partially depleted and then completely disappear. There remain the fixed positive and negative polarization charges, forming the polarization junction. Therefore, a flat electric field in the drift region and a high breakdown voltage (BV) are obtained. Moreover, the anode is recessed to reduce turn-on voltage (VON). The low-damage ICP etching process results in the improved Schottky contacts, and a low leakgae current and a low VON is obtained. The fabricated SBD exhibits a BV of 1109 V with anode-to-cathode distance (LAC) of 11 μm. The fabricated SBDs achieve a low VON of 0.68 V with good uniformity, a high on/off current ratio ∼ 1010 at room temperature, a low specific on-resistance (RON,SP) of 1.17 mΩ cm2, and a high Baliga’s figure-of-merit (FOM) of 1051 MW/cm2.
Introduction
AlGaN/GaN heterostructure-based lateral diode is an attractive device because of the high electron mobility of the two-dimensional electron gas (2DEG), high electron saturation velocity, and high breakdown electric field [1,2,3]. Extensive efforts have been made to achieve a low turn-on voltage (VON), a low reverse leakage current and a high breakdown voltage (BV) for the GaN diodes used in converters and inverters for power supplies and power factor corrections [4,5,6,7,8,9,10,11,12]. Various approaches have been proposed to solve the non-uniform distribution of the electric field. One of them is the field-plate (FP) technology [5, 13]. A fully recessed anode SBD with a dual field plate achieves a high breakdown voltage of 1.9 kV with 25 μm LAC [5]. It can also significantly reduce turn-on voltage while maintaining high breakdown voltage. In addition, the conventional REduced SURface Field (RESURF) concept commonly employed in silicon technology has been demonstrated in GaN HEMT [14]. Moreover, the polarization junction (PJ) consisting of the two-dimensional hole gas (2DHG) above the 2DEG is proposed to improve the relationship between specific on-resistance (RON,SP) and BV [15,16,17,18]. GaN-based devices based on the PJ concept have been demonstrated on Sapphire and SiC substrate, while the high cost and small diameters of the GaN on SiC substrates go against the mass commercial application. GaN-on-Si with a large diameter is considered as a promising choice owing to the low cost [19,20,21,22]. Therefore, the performance of the PJ diode on silicon substrates is worthy of study.
In this work, we proposed and experimentally demonstrated a GaN/AlGaN/GaN-on-Si Schottky barrier diode with double-heterojunction (DJ). The polarization-junction effect is confirmed by simulations and experiments. The flat electric field (E-field) between the anode and cathode electrodes is achieved. The ICP process to etch Schottky trench is optimized to achieve a low reverse leakage current and a low VON with excellent etching uniformity. The ohmic contact process is also optimized to achieve a low contact resistance (for 2DEG) based on the customized epitaxial layer (with 45 nm GaN-top). Therefore, a breakdown voltage of 1109 V is achieved for the SBDs with 11 μm LAC and Baliga’s figure-of-merit (FOM) is 1051 MW/cm2. The temperature dependence and dynamic RON,SP performance are also investigated.
Method and Experiment
The epitaxial layer was grown by metal-organic chemical vapor deposition on 6-in p-type silicon, consisting of 3.5-μm GaN buffer layer, 150-nm GaN channel layer, 1-nm AlN interlayer, 45-nm Al0.25Ga0.75N barrier layer, and 45-nm GaN-top layer from bottom to the top. The GaN-top layer includes 35-nm p-GaN layer and 10-nm undoped GaN layer. For a given AlGaN thickness of 45 nm, the 2DHG density increases with the increase in GaN-top thickness [22]. The thick GaN-top layer is vital to the high-density 2DHG, while it goes against the low ohmic contact resistance (for 2DEG). The schematic views of the proposed double-heterojunction Schottky barrier diode (DJ SBD) are shown in Fig. 1a. The SBD fabrication started with the mesa isolation by Cl2/BCl3-based inductively coupled plasma (ICP) etching to a depth of 300 nm. Then, the ohmic trench and the Schottky anode trench were formed with the low-damage ICP etching process. The depth of the ohmic trench and the Schottky anode trench was 50 nm and 90 nm, respectively, which was confirmed by using atomic force microscopy (AFM). Tetramethylammonium hydroxide (TMAH) solution at 85 °C for 15 min was introduced to remove the post-etching residues and to modify the trench sidewall after finishing the etching process [23]. Then, the annealing at 400 °C for 10 min in N2 ambient was carried out. The ohmic cathode was subsequently formed by e-beam evaporated Ti/Al/Ni/Au (20/140/55/45 nm), annealed at 870 °C for 35 s in N2 ambient, with a contact resistance (RC) of 0.49 Ω·mm. Finally, anode metal and the interconnections were deposited by Ni/Au to complete the fabrication flow. The devices featured various LAC from 7 to 11 μm. Figure 1b shows the high-resolution cross-section TEM image of the anode after ICP and metal deposition, and the layer structure was observed clearly.

a Cross section of the proposed double-heterojunction AlGaN/GaN SBD and main fabrication process. LAC is the length of anode to cathode. LFP and L1 are 1 μm and 2 μm, respectively. b HR-TEM image of the anode after ICP and metal deposition
The 2DEG is induced by the positive polarization charges along the AlGaN/GaN interface. The upper GaN/AlGaN interface has negative polarization charges and hence generates 2DHG at the upper interface [15]. The gap between the drift region and the cathode (L1) is used to cut down the hole current path as shown in Fig. 2. We have only investigated the influence of L1 from 2 to 3 μm on the forward and reverse blocking characteristics due to the limit of the original layout design. The VON and RON,SP show no change because L1 does not affect the Schottky contact and electron current path. In addition, the BV decreases slightly with the increase in L1 because of the shortened drift region. The operation mechanism of the DJ SBDs under forward bias is almost the same as the conventional SBDs, meaning that 2DHG hardly affects the electron current path from the cathode to the anode. With the increasing reverse bias voltage, the 2DEG and 2DHG are fully depleted. There remain fixed positive and negative polarization charges, which forms the polarization junction. As a result, a flat E-field distribution between the cathode and anode is obtained (Fig. 3).

Operation mechanism analysis of DJ SBDs a zero-bias and b reverse-bias

Electric field distribution along the AlGaN/GaN channel heterointerface by TCAD simulation. The Al fraction is defined as 0.25. The net acceptor (deep level) density in the buffer layer is set to be 1.5 × 1016 cm−3 and the energy level is 0.45 eV below the conduction band minimum. The acceptor density of the AlGaN/GaN interface is set to be 6 × 1012 cm−3 and the energy level is 0.23 eV below the conduction band minimum
As shown in the Fig. 3, the breakdown characteristic and polarization-junction mechanism were confirmed by 2-D Sentaurus TCAD from Synopsys. We had accounted for several important physical phenomena in simulation, including bandgap narrowing, polarization, electron/hole mobility, impact ionization and SRH recombination.
Hall effect measurement was adopted to determine the 2DHG or 2DEG density and mobility values [22]. The measurements were performed by Van der Pauw method at room temperature. To measure 2DHG according to Ref. [17], Hall measurement samples were fabricated with Ni/Au ohmic contacts. The density and mobility of the 2DHG were 9 × 1012 cm−2 and 15 cm2/V s, respectively. The 2DEG was measured by the samples with recessing GaN-top and partially AlGaN fabricated with Ti/Al/Ni/Au ohmic contacts (for 2DEG). The density and mobility of the 2DEG were 8.5 × 1012 cm−2 and 970 cm2/V s, respectively. The Hall measurements showed that the hole mobility was still much lower than the bulk mobility over 100 cm2/V s. The degradation of mobility was attributed to the diffusion of Mg from the p-GaN to the undoped GaN during the MOCVD growth.
Results and Discussion
The measured I-V forward characteristics of the SBDs with various LAC are plotted in Fig. 4a and b. The turn-on voltage (VON) is 0.68 V with a small variation of 0.02 V. The ideality factor and the barrier height of the SBDs are calculated as 1.44 ± 0.15 and 0.76 ± 0.04 eV, respectively. Figure 4a shows that the high forward current density of 183 mA/mm and 144 mA/mm (@ forward bias of 2.5 V) and the on-resistance of 0.642 and 1.17 mΩ cm2 are achieved at LAC = 7 and 11 μm, respectively. In addition, an excellent on/off current ratio ∼ 1010 is obtained as shown in Fig. 4b. The subthreshold slope (SS) is 63.0 mV/dec, which is close to the ideal SS (59.6 mV/dec).

Measured forward bias I-V characteristics of DJ SBDs in a linear and b semi-log scale with different LAC
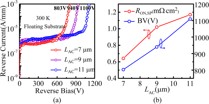
Figure 5a shows the measured reverse blocking I-V characteristics of the SBDs with various LAC at 300 K. The breakdown voltage of the devices with different LAC is 803 V, 940 V, and 1109 V, respectively, at a leakage current of 1 mA/mm. The densities of 2DEG and 2DHG are supposed the same during the simulation. However, the experimental results show that the densities of 2DHG (9 × 1012 cm−2) are slightly higher than those of 2DEG (8.5 × 1012 cm−2). The difference between the fixed positive and negative polarization charges during the off-state affects the charge balance and thus degrades the breakdown voltage. The influence of the LAC on the BV and the RON,SP is shown in Fig. 5b. A near linear relationship between BV and LAC is obtained, implying the relative flat lateral E-field in the drift region. Owing to the polarization-junction effect, the device demonstrates a high Baliga’s figure-of-merit (FOM = BV2/RON,SP) of 1051 MW/cm2 (@ LAC = 11 μm).

a Measured reverse blocking I-V characteristics of DJ SBDs with different LAC (b) RON,SP and BV as the functions of LAC
The etching process is vital to the high-quality Schottky interface and ohmic contact. Figure 6a shows the surface morphology of the recessed trench after the ICP etching (@ 5 °C) and the TMAH solution. The etch rate is approximately 4.9 nm/min, and the final selected recipe is with a Cl2 of 4 sccm, an ICP power of 50 W, and an RF power of 15 W. The root mean square (RMS) roughness is 0.244 nm with the scan area of 2 × 2 μm2.

a AFM morphology of the trench after ICP etching. b Influence of etch depth on ohmic contact resistance by TLM test. c Contact resistance as a function of annealing temperature with the trench depth from 50 to 55 nm. The annealing time was 35 s
Because the customized epitaxial layer includes 45 nm GaN-top layer and 45 nm AlGaN layer, the ohmic contact (for 2DEG) process is different from the conventional SBDs. Without recessing both GaN-top and AlGaN barrier layers, low contact resistance is difficult to be achieved by annealing because of the potential barrier between the ohmic metal and the 2DEG. However, if the barrier is over recessed, the stress release leads to a reduction in the 2DEG concentration. The extra processes are adopted to reduce the ohmic contact resistance. The surfaces of the samples are treated by the HCl solution to remove native oxide layer before deposition. In addition, the plasma surface treatment is adopted (ICP power 50 W BCl3 10 sccm 3 min) to introduce surface donor states [24]. Figure 6b demonstrates the dependence of the contact resistance on the trench depth. The optimized depth is obtained from 50 to 55 nm. The high temperature rapid thermal annealing (RTA) for the Ti/Al/Ni/Au contact is investigated in Fig, 6c. The annealing temperature is from 840 to 890 °C, and the 870 °C results in the lowest contact resistance. Annealing at high temperature, i.e., 870 °C, is conducive to the formation of TiN at the Ti/nitride interface. However, higher temperature (e.g., 890 °C) increases the interdiffusion of Au and Al, which is disadvantageous for the formation of good ohmic contacts.
Figure 7a–c exhibit the statistical plots of the static characteristics including VON, VF, and BV. The data are extracted from 72 SBDs with LAC of 7, 9, and 11 μm fabricated in 3 separate process runs. The devices display stable forward turn-on characteristics and the VON is independent with LAC, because VON is mainly determined by the Schottky contact. The low-damage ICP etching process, the precisely controlled trench depth, and the high-quality Schottky interface contribute to the excellent uniformity of the VON and VF. In addition, with the increase in LAC (from 7 to 11 μm), there is a monotonical increase (∼ 100 V/μm) in the BV observed in proposed structures. Figure 7d shows the histogram statistics of the VON for 72 devices, and the mean value is 0.68 V with a small standard derivation of 0.02 V.

Statistical plots of a turn-on voltage, b forward voltage, and c breakdown voltage extracted from 72 SBDs with LAC of 7, 9, and 11 μm fabricated in 3 separate process runs. d Distribution of VON for 72 devices
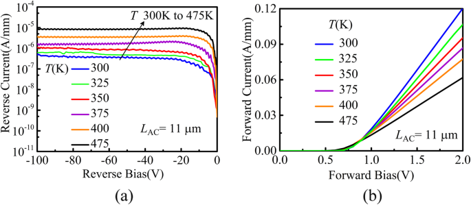
The temperature dependence of the reverse and forward characteristics is assessed in Fig. 8. As shown in Fig. 8a, an increase in ambient temperature from 300 to 475 K results in an increase in the RON,SP by a factor of 1.94.

a Reverse leakage current and b forward characteristics for the DJ SBDs at different temperatures
The dynamic characteristics of the DJ SBDs are measured by Agilent B1505A power device analyzer. The anode pulse quiescent bias points are set to be − 10 V, − 20 V, − 30 V, − 40 V, − 70 V, and − 100 V, with the anode pulse width and period of 0.5 ms/500 ms. Figure 9b shows the dynamic RON,SP as a function of the stress voltage. The dynamic RON,SP even at 100 V reserve stress voltage is just 1.18 times of the one without reverse stress, which is comparable to Ref. [8]. The limited increase in the dynamic RON,SP contributes to the reduction in interface state. The degradation of dynamic RON,SP needs further work.

aI-V characteristics under pulse measurement. b Extracted RON,SP versus anode pulse base with pulse width/period = 0.5 ms/500 ms
Figure 10 presents the benchmark plot of BV versus RON,SP for GaN power diode on Si/SiC/sapphire substrates [8, 10, 22, 25,26,27,28,29,30,31]. The proposed device with LAC of 11 μm demonstrates a BV of 1109 V with a corresponding RON,SP of 1.17 mΩ cm2, leading to a high Baliga’s FOM of 1051 MW/cm2. This value is the best results among the lateral GaN power diode on Si substrate.

Benchmark plot of BV versus RON,SP of GaN power diode on SiC/sapphire/Si substrates. The reverse leakage used to define the breakdown is also given
Conclusion
A double-heterojunction GaN/AlGaN/GaN-on-Si SBD with a high figure of merit is fabricated. The low-damage ICP etching process results in the optimized ohmic and Schottky contacts for the proposed device. Therefore, a low VON of 0.68 V with good uniformity and a low RON,SP of 1.17 mΩ cm2 are obtained in the device with LAC of 11 μm. A high Baliga’s FOM of 1051 MW/cm2 is achieved due to the polarization-junction effect. The high performance together with the low-cost GaN-on-Si technology exhibits great potential for future power applications.
Availability of Data and Materials
All data generated or analyzed during this study are included in this article.
Abbreviations
- SBD:
-
Schottky barrier diode
- 2DEG/2DHG:
-
Two-dimensional electron/hole gas
- MOCVD:
-
Metal-organic chemical vapor deposition
- ICP:
-
Inductively coupled plasma
- TEM:
-
Transmission electron microscope
- AFM:
-
Atomic force microscope
- BV:
-
Breakdown voltage
- R ON,SP :
-
Specific on-resistance
- V ON :
-
Turn-on voltage
- FOM:
-
Figure-of-merit
Nanomaterials
- High‑Performance Thermal Interface Materials via Co‑Modification of Epoxy Resin with Reduced Graphene Oxide Nanosheets and 3‑D Graphene Networks
- Highly Compressible Graphene/Polyaniline Aerogel: Superelasticity Meets 713 F g⁻¹ Capacitance for All‑Solid‑State Supercapacitors
- Mo/Au Schottky Contact on β‑Ga₂O₃ Thin Film: Experimental & Theoretical Insights into Reverse‑Bias Transport and Breakdown Characteristics
- Fast Reverse Recovery in Ge‑Doped Vertical GaN Schottky Barrier Diodes
- High‑Accuracy AlGaN/GaN Reverse‑Blocking Current‑Regulating Diode with Hybrid Trench Cathode
- Enhancing β‑Ga₂O₃ Schottky Diodes: Argon‑Implanted Edge Termination Boosts Breakdown Voltage and Figure‑of‑Merit
- Enhanced Baliga’s Figure‑of‑Merits in a Novel GaN Nano‑Pillar Vertical FET with 2DEG Channel and Patterned Substrate
- High‑Conductivity Nano‑Silver Ink Achieves Low‑Temperature Sintering for Paper‑Based Electronics
- AlGaN/GaN HEMTs with 803 V Breakdown: Fluorine‑Doped SiNx Passivation Yields Low Dynamic ON‑Resistance
- AlGaN Double‑Channel HEMTs Deliver Higher Drain Current Density & Superior Breakdown Voltage