AlGaN/GaN HEMTs with 803 V Breakdown: Fluorine‑Doped SiNx Passivation Yields Low Dynamic ON‑Resistance
Abstract
We introduce an AlGaN/GaN high‑electron‑mobility transistor (HEMT) that achieves a 803 V breakdown voltage (BV) and a modest 23 % increase in dynamic ON‑resistance (RON, D) compared to a conventional device. The key innovation is fluorine ion implantation within the thick Si3N4 passivation layer located between the gate and drain. Unlike fluorine implantation in the thin AlGaN barrier, this configuration places the ion peak and vacancy distribution far from the two‑dimensional electron gas (2DEG), thereby suppressing both DC and pulsed‑dynamic degradation. Additionally, the implanted fluorine extends the depletion region and raises the average electric field (E‑field) across the gate‑drain channel, which underpins the enhanced BV.
Background
GaN‑based AlGaN/GaN HEMTs are the front‑line technology for high‑power, high‑frequency, and low‑loss applications, thanks to their high critical breakdown field and exceptional electron mobility. [^9][^10][^11][^12][^13][^14] Yet, the maximum reported breakdown voltages remain well below theoretical limits, making it imperative to push BV further without enlarging device dimensions. [^15][^16] Several termination strategies—such as field plates, fluorine ion implantation, and recessed gate‑edge termination—have been explored to raise BV. [^17][^18][^19][^20][^21][^22][^23][^24]
Fluorine implantation in the thin AlGaN barrier (FBL) offers a simple process and minimal parasitic capacitance, but the proximity of the fluorine peak and vacancy distribution to the 2DEG can degrade both static and dynamic device performance. [^22][^27][^28]
In this work, we experimentally demonstrate that fluorine implantation in the thick Si3N4 passivation layer (FPL) preserves the integrity of the 2DEG while simultaneously optimizing the surface E‑field distribution. The resulting HEMT exhibits superior static and dynamic characteristics.
Fabrication Methods
Figure 1 illustrates the three‑dimensional layout of the FPL, FBL, and conventional (Conv.) HEMTs. All devices share identical gate dimensions: gate length LG=2.5 µm, gate‑source spacing LGS=1.5 µm, and gate‑drain spacing LGD=10 µm. The epitaxial stack, grown on a 6‑inch (111) Si substrate by metal‑organic chemical vapor deposition (MOCVD), consists of a 2‑nm GaN cap, 23‑nm Al0.25Ga0.75N barrier, 1‑nm AlN interlayer, 150‑nm GaN channel, and a 3.5‑µm GaN buffer. Hall measurements yielded a 2DEG density of 9.5×1012 cm–2 and mobility of 1500 cm2/V·s.
Device fabrication began with mesa isolation via a high‑power Cl2/BCl3 inductively coupled plasma (ICP) etch. A 40‑nm LPCVD Si3N4 layer was then deposited at 780 °C/300 mTorr (NH3=280 sccm, SiH2Cl2=70 sccm), achieving 3.7 nm/min. Ellipsometry measured a refractive index of 1.978 and an N/Si ratio of 1.31; HR‑TEM confirmed the amorphous crystallinity (inset, Fig. 1a).
Source and drain windows were opened by SF6 dry etch, followed by deposition of Ti/Al/Ni/Au (20/150/45/55 nm) and rapid annealing at 890 °C for 30 s in N2. The resulting contact resistance was 1 Ω·mm and sheet resistance 400 Ω/□.
The gate electrode was defined by Ni/Au (50/150 nm) lift‑off. A 3‑µm fluorine‑implantation window was patterned with AZ5214 resist, and ions were implanted at 10 keV with a dose of 1×1012 cm–2 using an SEN NV‑GSD‑HE implanter. Final annealing at 400 °C for 15 min in N2 completed the process.
Three‑dimensional schematic of a FPL HEMT (inset: HR‑TEM micrograph of LPCVD Si3N4), b FBL HEMT, and c Conv. HEMT
Results and Discussion
Figure 2 presents the secondary ion mass spectrometry (SIMS) profile of fluorine and the simulated vacancy distribution from TRIM for both the FPL (a) and FBL (b) devices. While the fluorine peak concentration and depth are similar in both cases, the vacancy distribution in the FBL device extends into the 2DEG channel, whereas in the FPL device it remains confined within the Si3N4 layer, far from the channel. Because vacancies near the 2DEG can trap carriers, the FPL approach dramatically reduces static and dynamic degradation.
Measured SIMS profile of fluorine ion concentration and simulated vacancy concentration by TRIM along the cut lines. a A‑A′. b B‑B′
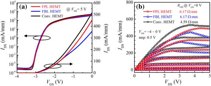
Figure 3 shows the transfer and output I‑V curves. Compared with the Conv. HEMT, both FPL and FBL devices exhibit a slight increase in static ON‑resistance due to 2DEG depletion and reduced mobility (post‑implantation mobilities: 228 cm2/V·s for FPL, 203 cm2/V·s for FBL). At low drain bias (VDS < 3 V), the ON‑resistance of the FPL and FBL devices is nearly identical. However, for VDS > 3 V, the FBL device suffers from saturation drain‑current collapse because its vacancy profile reaches the 2DEG channel, whereas the FPL device maintains stable drain current.
Measured a I‑V transfer characteristics, and b DC output characteristics for three HEMTs
Figure 4 demonstrates the off‑state I‑V characteristics and simulated surface E‑field distributions. The measured BVs are 803 V (FPL), 746 V (FBL), and 680 V (Conv.). Fluorine implantation between gate and drain lowers the E‑field peak at the gate edge and introduces a new peak at the edge of the implantation region, yielding a more uniform field and higher BV. The FBL device benefits from stronger field modulation but suffers from additional barrier damage, leading to a slightly lower BV compared to FPL.
a Measured off‑state I‑V characteristics with a gate voltage of –4 V, substrate floated. b Simulated surface E‑field distributions at VDS = 150 V
Pulsed I‑V measurements were conducted to assess dynamic ON‑resistance (RON, D) under slow switching (3 ms pulse width, 5 ms period). Figure 5 compares the pulsed output under zero bias and a 100 V drain stress. The Conv. HEMT shows only a 12.3 % rise in RON, D, while the FBL device’s RON, D nearly doubles (98 % increase). In contrast, the FPL device exhibits only a 23 % increase, demonstrating that the vacancy distribution confined to the passivation layer effectively suppresses charge trapping.
a Schematic of stress voltage application for pulsed I‑V measurements. Pulsed I‑V characteristics of FPL HEMT (b), FBL HEMT (c), and Conv. HEMT (d) (VGS = –4 V to 0 V; step 0.5 V) Ratio of RON, D/RON versus quiescent drain bias. Pulse width 3 ms, period 5 ms

Conclusions
We have demonstrated a high‑performance AlGaN/GaN HEMT that achieves a 803 V breakdown voltage while maintaining a dynamic ON‑resistance only 1.23 times its static value after a 100 V drain‑stress pulse. Fluorine implantation in the thick Si3N4 passivation layer preserves the 2DEG integrity, suppresses charge trapping, and optimizes the surface electric field, enabling a substantial BV increase from 680 V (conventional) to 803 V.
Availability of Data and Materials
All data generated or analyzed during this study are included in the published article.
Abbreviations
- 2DEG
Two‑dimensional electron gas
- HEMT
High electron mobility transistor
- ICP
Inductively coupled plasma
- LPCVD
Low pressure chemical vapor deposition
- MOCVD
Metal organic chemical vapor deposition
- SIMS
Secondary ion mass spectroscopy
- TEM
Transmission electron microscope
Nanomaterials
- Surface Polarization in Al₂O₃‑Capped GaN/AlGaN/GaN Heterostructures Investigated via Angle‑Resolved X‑ray Photoelectron Spectroscopy
- Ultra‑Low Specific On‑Resistance LDMOS with Enhanced Dual‑Gate and Partial P‑Buried Layer
- Ultra‑Low‑Power Resistorless Voltage Reference with Exceptional PSRR
- High‑Mobility Germanium p‑MOSFETs with Amorphous Silicon Passivation: Surface‑Orientation Effects
- Boosting PERC Solar Cell Performance: ALD‑Deposited Al₂O₃ with Optimized Two‑Step Annealing for Superior Si Passivation
- High‑Stability Voltage Regulator with Transient Enhancement & PSR Boost
- Self‑Biased Bandgap Reference Achieves 180 nm, 80 dB PSRR – Low‑Power, High‑Accuracy Temperature Compensation
- Double‑Heterojunction AlGaN/GaN Schottky Barrier Diode on Si: A Combined Theoretical and Experimental Analysis
- In Situ-Formed, Low‑Temperature Deposited Nb‑Doped TiO₂ Compact‑Mesoporous Layer Enhances Hysteresis‑Free, High‑Efficiency Perovskite Solar Cells
- AlGaN Double‑Channel HEMTs Deliver Higher Drain Current Density & Superior Breakdown Voltage