Defect‑Driven Magnetism and Strain Engineering in Monolayer WSe2: A DFT Study
Abstract
Using first‑principles density functional theory (DFT), we investigated how various vacancy defects and biaxial tensile strain alter the structural, electronic, and magnetic properties of monolayer tungsten diselenide (WSe2). The removal of two tungsten atoms (VW2) or one tungsten atom together with its six neighboring selenium atoms (VWSe6) induces magnetic moments of 2 μB and 6 μB, respectively, with the VW2 configuration becoming half‑metallic. In contrast, single‑atom vacancies (VSe, VW) and double selenium vacancies (VSe‑Se) preserve the non‑magnetic semiconducting character but introduce impurity states that narrow the band gap. Tensile strain up to 7 % further tunes the band gap and magnetic moments, enabling conversion of non‑magnetic VW defects into magnetic states with up to 4 μB. These findings highlight defect engineering and strain as powerful routes to realize magnetic semiconductors in WSe2.
Introduction
Monolayer transition‑metal dichalcogenides (TMDs) such as WSe2 possess a direct band gap (~1.6 eV) and high carrier mobility (~250 cm2/Vs), making them attractive for next‑generation electronics and optoelectronics. However, pristine WSe2 is intrinsically non‑magnetic, limiting its use in spin‑based devices. Defects—particularly vacancies—are ubiquitous in 2D materials and can profoundly modify their electronic structure and magnetic behavior. Previous studies have shown that vacancies in graphene, MoS2, and BaTiO3 can induce magnetism. Strain engineering is another powerful tool; monolayer WSe2 can withstand >10 % strain, enabling band‑gap and magnetic modulation. Here, we systematically explore the combined effects of vacancy defects and biaxial tensile strain on monolayer WSe2 using state‑of‑the‑art DFT calculations.
Computational Methods
All calculations were performed with the Vienna Ab‑initio Simulation Package (VASP) using the PBE functional and PAW pseudopotentials. A plane‑wave cutoff of 300 eV and a 3×3×1 k‑point mesh were employed for a 5×5×1 supercell. Structures were relaxed until forces dropped below 0.02 eV/Å, and total‑energy convergence was set to 10−4 eV. Biaxial tensile strain (ε) was defined as ε = (c − c0)/c0 × 100 %. Formation energies were calculated via Eform = Edefect − Epristine + ∑niui, where ui are atomic chemical potentials.
Results and Discussion
Pristine Monolayer WSe2
The relaxed 1H‑WSe2 structure shows W–W and W–Se bond lengths of 3.31 Å and 2.54 Å, in agreement with experiment. The PBE band gap is 1.54 eV; HSE06 yields a more accurate 2.0 eV gap, confirming its direct‑gap semiconductor nature.

a Top and side views of monolayer WSe2. b Band structure and DOS; Fermi level at 0 eV.
Vacancy‑Induced Electronic and Magnetic States
We examined seven vacancy configurations: single‑atom (VSe, VW), double‑atom (VSe‑Se, VSe2, VW2), and larger complexes (VWSe3, VWSe6). Formation energies show that single‑Se vacancies are the most likely to form, while larger defects require higher energy inputs.
Electronic structure analysis reveals that VSe, VSe‑Se, VW, and VWSe3 remain non‑magnetic semiconductors but with reduced gaps (1.18 eV, 1.15 eV, 0.18 eV, 0.76 eV, respectively). In contrast, VW2 becomes half‑metallic, exhibiting a 0.19 eV minority‑spin gap and a net moment of 2 μB. VWSe6 shows a magnetic semiconductor behavior with a 6 μB moment and a narrow gap.

Band structures for VSe–VWSe6 vacancies. Blue/red lines: majority/minority spins; Fermi level at 0 eV.
Partial density‑of‑states (PDOS) analyses attribute the impurity states to W d and Se p orbitals near the vacancies. For VW2, Se px dominates the conduction edge, while W dx2–y2 and dz2 shape the valence edge.

PDOS for each vacancy type; NNW and NNSe denote nearest neighbors.
Effect of Biaxial Tensile Strain
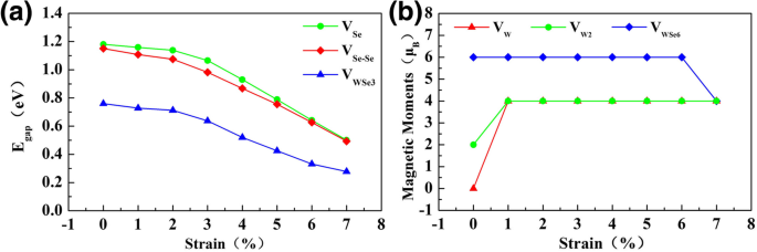
Applying 0–7 % biaxial strain to pristine WSe2 does not induce magnetism and reduces the band gap to 0.5 eV at 7 % strain. For defected systems, strain systematically narrows the gaps of VSe, VSe‑Se, and VWSe3 from ~1.1 eV to 0.5 eV, 0.5 eV, and 0.3 eV, respectively. VW, VW2, and VWSe6 remain <0.2 eV gaps under strain.
Crucially, tensile strain transforms the non‑magnetic VW defect into a magnetic state with a 4 μB moment beyond 1 % strain, while VW2 and VWSe6 maintain their magnetic moments (6 μB up to 6 % strain, decreasing to 4 μB at 7 %). Spin‑density plots confirm that magnetism originates from W and adjacent Se atoms.

Band structures under 1 %, 4 %, and 7 % strain for all vacancy types.

a Energy gaps vs. strain for VSe, VSe‑Se, VWSe3. b Magnetic moments vs. strain for VW, VW2, VWSe6.

Spin‑resolved charge density for VW, VW2, VWSe6 under 0–7 % strain; yellow = positive, cyan = negative spin density.
Conclusion
Our DFT study demonstrates that vacancy engineering, combined with biaxial tensile strain, can transform monolayer WSe2 from a non‑magnetic semiconductor into a magnetic half‑metal or magnetic semiconductor. Single‑Se and W vacancies reduce the band gap but retain non‑magnetism; double‑W vacancies and the VWSe6 complex introduce sizable magnetic moments (2 μB and 6 μB, respectively). Tensile strain further tunes both electronic gaps and magnetic moments, offering a practical route to design 2D magnetic semiconductors for spin‑tronics and valleytronics applications.
Nanomaterials
- Tungsten Diselenide (WSe₂): Structure, Properties, and Key Applications
- Cobalt‑Doped FeMn₂O₄ Spinel Nanoparticles: Size‑Controlled Synthesis and Magnetic Behavior
- Structural, Electronic, and Magnetic Characterization of Ag<sub>n</sub>V (n = 1–12) Clusters via DFT and CALYPSO Search
- Alkali‑Metal‑Adsorbed Graphene‑Like GaN: Ultra‑Low Work Functions and Tunable Optoelectronic Properties
- Tunable Electronic Properties of Bilayer α‑GeTe under Variable Interlayer Spacing and External Electric Fields
- Band‑gap Engineering in InGaNBi Quaternary Alloys: Composition‑Dependent Structural, Electronic, and Strain Properties
- Spin-Resolved Electronic and Transport Properties of Graphyne Nanojunctions with Variable Nitrogen Substitution Sites
- Controlled Low‑Temperature Growth of WSe₂ on Graphene for Efficient p‑Type Transistors
- SnxPy Monolayers: Promising 2D Materials with High Stability, Exceptional Carrier Mobility, and Ferromagnetic Behavior
- Raman Analysis of G and D′ Phonon Shifts in Vacancy-Engineered Monolayer to Few-Layer Graphene Across 78–318 K