Tunable Electronic Properties of Bilayer α‑GeTe under Variable Interlayer Spacing and External Electric Fields
Abstract
Using first‑principles calculations, we systematically investigate the stability, electronic structure, optical absorption, and the tunability of bilayer α‑GeTe through changes in interlayer spacing and the application of external electric fields. The van der Waals (vdW) bilayer exhibits an indirect band gap of 0.610 eV, indicating efficient light‑harvesting capabilities. As the interlayer distance decreases, the band gap contracts linearly due to enhanced vdW interactions. Under positive electric fields, a near‑free‑electron‑gas (NFEG) state emerges, driving a band‑gap transition; this effect is absent under negative fields. These distinctive properties suggest bilayer α‑GeTe as a promising candidate for future electronic and optoelectronic devices, including potential data‑storage architectures.
Introduction
The discovery of graphene [1, 2] has accelerated research into a wide array of two‑dimensional (2D) materials such as hexagonal boron nitride (h‑BN) [3], transition‑metal dichalcogenides (TMDs) [4], MXenes [5], and vdW heterostructures [6]. These materials offer tunable electronic properties [9] and exceptional mechanical flexibility [10], enabling diverse electronic and optoelectronic applications [7, 8]. However, challenges remain: phosphorene degrades in air [11], indium selenide (InSe) shows low hole mobility and weak visible‑light absorption [12], and graphene, silicene, and germanene possess zero band gaps [7, 13, 14]. Thus, identifying 2D semiconductors with robust stability, high carrier mobility, and suitable band gaps is essential.
Bulk α‑GeTe, an IV–VI semiconductor with buckled layers bonded by Ge–Te, has found use in non‑volatile phase‑change memory [15, 16], neuromorphic computing [17], and thermoelectrics [18]. Nanostructured α‑GeTe has been fabricated via atomic layer deposition (ALD) [17], vapor‑solid‑liquid (VLS) growth [18], and polymer‑stabilized chemical routes [19], displaying higher crystallization temperatures and lower melting points than the bulk [19]. Recently, few‑layer α‑GeTe sheets (two to four layers) and even monolayers were produced by sonication‑assisted liquid‑phase exfoliation of α‑GeTe powder in ethanol [21]. Despite these advances, theoretical studies on band‑gap engineering of 2D α‑GeTe through external electric fields or vertical strain are scarce. Because multilayer structures are more experimentally accessible than monolayers, this study focuses on bilayer α‑GeTe—the simplest multilayer configuration—to assess its stability, electronic structure, optical response, and the influence of interlayer distance and perpendicular electric fields.
Computational Methods
All calculations employ spin‑polarized density functional theory (DFT) with the projector‑augmented‑wave (PAW) method as implemented in VASP [23, 24]. Exchange‑correlation is treated within the Perdew‑Burke‑Ernzerhof generalized gradient approximation (GGA‑PBE) [25], supplemented by the semi‑empirical DFT‑D3 vdW correction [26]. Plane‑wave cut‑off energy is set to 500 eV, and a 15 × 15 × 1 k‑point mesh samples the Brillouin zone. A vacuum spacing of 30 Å along the c‑axis prevents slab interactions. Structures are fully relaxed until forces fall below 0.01 eV/Å and total energies converge within 10⁻⁵ eV. To accurately capture band gaps, the Heyd‑Scuseria‑Ernzerhof hybrid functional (HSE06) [27] is used for electronic and optical properties. Phonon dispersions are computed via density functional perturbation theory (DFPT) in Phonopy [28] using the quasi‑harmonic approximation.
Results and Discussion
Geometric Structure
Monolayer α‑GeTe adopts a hexagonal lattice with a buckled configuration: Ge atoms occupy one sublayer while Te atoms occupy the other. Optimized lattice constants are a = b = 3.95 Å, Ge–Te bond length L = 2.776 Å, and buckling angle θ = 91.497°, in agreement with previous reports [21]. For bilayers, we examined two high‑symmetry stackings—AA and AB (Bernal). Total‑energy calculations reveal that the AA configuration is more stable by 147 meV, with an interlayer spacing of 2.920 Å. Phonon spectra of the AA bilayer show no imaginary frequencies, confirming dynamical stability (Fig. 2). Experimental work has already demonstrated the synthesis of stable two‑layer α‑GeTe [21], so we focus on the AA stacking in the following analyses.

Top view (a) and side view (c) of AA‑stacked bilayer α‑GeTe. Top view (b) and side view (d) of AB‑stacked bilayer α‑GeTe.

Phonon dispersion of the AA‑stacked bilayer α‑GeTe.
Electronic Structures
Band‑structure and projected density of states (PDOS) calculations for monolayer α‑GeTe (Fig. 3a) reveal an indirect band gap of 1.796 eV, with the conduction‑band minimum (CBM) located between M and Γ and the valence‑band maximum (VBM) at Γ. The CBM is dominated by Ge‑s, Ge‑p, and Te‑p orbitals, while the VBM arises from Ge‑p and Te‑p states. For the bilayer, the projected band structure (Fig. 3b) shows an indirect gap of 0.610 eV. The CBM is largely contributed by the lower layer, whereas the VBM originates from the upper layer, confirming a type‑II band alignment. Charge‑density analysis (Fig. 3c) indicates spatial separation of electrons (lower layer) and holes (upper layer), enabling efficient exciton dissociation—an advantageous feature for optoelectronic devices.

a Band structure and PDOS of monolayer α‑GeTe. b Projected band structure of bilayer α‑GeTe (blue: lower layer, red: upper layer). c Band‑decomposed charge densities for the VBM and CBM.
Optical Properties
Optical absorption was derived from the complex dielectric function ε(ω) using the standard relation α(ω)=√2 ω[√(ε₁²+ε₂²)−ε₁]¹⁄². The absorption spectra (Fig. 4) show that monolayer α‑GeTe exhibits three prominent peaks, corresponding to interband transitions. The bilayer displays additional absorption in the visible and near‑infrared regions, while bulk α‑GeTe demonstrates a broad, high‑intensity absorption band extending from the deep ultraviolet to the infrared, with intensities reaching 10⁵ cm⁻¹. These findings highlight α‑GeTe’s potential as an efficient light‑harvesting material.

Absorption coefficient of monolayer and bilayer α‑GeTe.
Effect of Vertical Strain
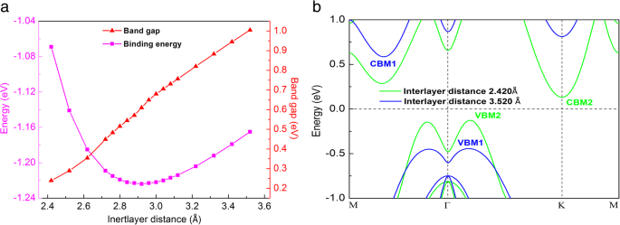
Vertical strain modulates interlayer coupling and thus the band gap. We varied the interlayer distance from 2.420 Å to 3.520 Å, computing the binding energy E₍b₎ = E₍bilayer₎ − 2E₍monolayer₎ (Fig. 5a). All configurations are bound (E₍b₎ < 0), with the most stable spacing at 2.920 Å. The band gap increases monotonically with interlayer distance, while the overall band‑structure topology remains unchanged (Fig. 5b). This behavior mirrors that observed in bilayer InSe [22] and underscores the role of vdW interactions and orbital overlap in governing electronic properties.

a Binding energy and band gap versus interlayer distance. b Band structures for 2.420 Å and 3.520 Å spacings.
Effect of External Electric Fields
Applying a perpendicular electric field further tunes the band structure. A planar dipole layer was inserted in the vacuum region to enforce the field, with the positive direction pointing from the lower to the upper layer. The band gap evolves subtly between 0.01 and 0.64 V/Å, but a rapid, linear decrease occurs below a critical field E₍c₎ and above a transition field E₍t₎, leading to a semiconductor‑to‑metal transition (Fig. 6). The critical–transition range (0.01–0.20 V/Å) for negative fields is markedly larger than for positive fields (0.64–0.72 V/Å). Projected band structures (Fig. 7) reveal that negative fields preserve the type‑II alignment, while positive fields induce a near‑free‑electron‑gas (NFEG) band that quickly descends in energy. When E₍app₎ ≥ E₍t₎ (≈ 0.72 V/Å), the NFEG band merges with the VBM, resulting in metallic behavior. This field‑induced NFEG phenomenon is absent under negative bias, explaining the asymmetry in gap modulation. The transition voltage for bilayer α‑GeTe is more than twice that of bilayer InSe, indicating greater robustness against electric‑field‑induced metallization.

Band‑gap variation with applied vertical electric field. Dashed lines indicate the zero‑gap threshold.

Projected band structure of bilayer α‑GeTe under various perpendicular electric fields.
Based on these insights, we propose a non‑volatile data‑storage device. Bilayer α‑GeTe is transferred onto a Si/SiO₂ substrate and encapsulated by an additional SiO₂ layer to protect it from ambient degradation. Large‑area graphene electrodes serve as source and drain due to their transparency and conductivity [31]. In the OFF state, the bilayer remains semiconducting with high resistance. Applying a sufficient positive bias (≥ E₍t₎) induces the NFEG, collapsing the band gap and yielding a zero‑resistance ON state that persists after the field is removed. Reversing the bias erases the NFEG, restoring the OFF state. This reversible switching demonstrates bilayer α‑GeTe’s viability as a field‑effect transistor‑based memory element.

Band‑gap evolution under electric field and schematic of the proposed device.
Conclusion
We have demonstrated that bilayer α‑GeTe, stabilized by vdW interactions, exhibits an indirect, type‑II band gap of 0.610 eV and strong optical absorption across a wide spectral range. The band gap can be finely tuned by vertical strain or by applying perpendicular electric fields; notably, only positive fields generate an NFEG state that collapses the gap. These properties enable a reversible, field‑controlled transition between semiconducting and metallic phases, paving the way for bilayer α‑GeTe–based data‑storage devices. The combination of efficient charge separation, broad absorption, and field‑induced NFEG makes bilayer α‑GeTe a compelling candidate for next‑generation 2D electronic and optoelectronic technologies.
Abbreviations
- 2D:
Two‑dimensional
- ALD:
Atomic layer deposition
- CBM:
Conduction band minimum
- DFT:
Density functional theory
- Eapp:
Applied electric field strength
- FET:
Field‑effect transistor
- GGA‑PBE:
Generalized gradient approximation of Perdew‑Burke‑Ernzerhof
- h‑BN:
Hexagonal boron nitride
- HSE06:
Heyd‑Scuseria‑Ernzerhof hybrid functional
- InSe:
Indium selenide
- MXenes:
Transition‑metal carbides and nitrides
- NFEG:
Near‑free‑electron gas
- PAW:
Projected‑augmented‑wave
- PDOS:
Projected density of states
- TMDs:
Transition‑metal dichalcogenides
- VASP:
Vienna ab initio simulation package
- VBM:
Valence band maximum
- vdW:
Van der Waals
- VLS:
Vapor‑solid‑liquid
Nanomaterials
- Electric Fields and Capacitors: Fundamentals, Functionality, and Design
- Tuning Electronic and Optical Anisotropy in Monolayer GaS via Vertical Electric Fields
- Tunable‑Size Monodisperse Carbon Spheres Synthesized with Triblock Copolymer: Enhanced Capacitor Performance
- Defect‑Driven Magnetism and Strain Engineering in Monolayer WSe2: A DFT Study
- Band‑gap Engineering in InGaNBi Quaternary Alloys: Composition‑Dependent Structural, Electronic, and Strain Properties
- Engineering Bandgaps in Blue Phosphorene/Graphene‑Like GaN van der Waals Heterostructures via Vertical Electric Fields
- Spin-Resolved Electronic and Transport Properties of Graphyne Nanojunctions with Variable Nitrogen Substitution Sites
- How Interlayer Coupling and Van Hove Singularities Shape MoS₂ Multilayer Electronics and Optics
- Tailoring Electronic and Optical Properties of WSSe Bilayer via Strain Engineering
- Comparative Analysis of Rectangular vs Hexagonal Molybdenum Dioxide Nanosheets: Influence of Thickness on Optoelectronic Properties