Strain‑Engineered GaTe/C₂N Heterostructures: Tunable Band Alignment, Enhanced UV–Visible Absorption, and Photocatalytic Water Splitting
Abstract
GaTe and C2N monolayers, recently synthesized, exhibit intriguing electronic and optical characteristics. Here we employ first‑principles density functional theory to investigate the structural, electronic, and optical behavior of a GaTe/C2N van der Waals (vdW) heterostructure. The heterostructure is an indirect‑gap semiconductor with a type‑II band alignment that promotes efficient photocarrier separation. Its visible–UV absorption surpasses that of the constituent monolayers, and vertical strains can tune it into an effective photocatalyst for water splitting at specific pH values. We also examine water adsorption and dissociation on the C2N surface, revealing energetically favorable pathways for hydrogen evolution. In‑plane biaxial strain further modulates the band gap and transitions between semiconductor, metallic, and different band‑alignment types. These findings position the GaTe/C2N heterostructure as a versatile platform for next‑generation optoelectronic and photocatalytic devices.
Background
Since the discovery of graphene, the exploration of two‑dimensional (2D) materials has accelerated, driven by their unique electronic, optical, and mechanical properties. Transition‑metal dichalcogenides, group V honeycomb sheets, III‑V binaries, and post‑transition‑metal chalcogenides (PTMCs) have all shown promise in electronics and energy conversion. GaTe, a PTMC, was fabricated via molecular beam epitaxy and is an indirect‑gap semiconductor with a strain‑tunable band gap. C2N, a recently realized 2D porous crystal, is a direct‑gap semiconductor with uniform pores that facilitate charge separation. However, in monolayer form, both materials suffer from rapid carrier recombination, limiting their photocatalytic and photovoltaic efficiency. Stacking dissimilar 2D layers into vdW heterostructures offers a route to engineer band alignment, reduce recombination, and create new functionalities. Previous GaTe‑based heterostructures (e.g., GaTe/InSe, GaTe/GaSe, GaTe/SnI) have demonstrated type‑II alignment, quantum spin Hall behavior, and Rashba splitting. Likewise, semiconductor/C2N hybrids (g‑C3N4/C2N, MoS2/C2N, CdS/C2N) have enhanced photocatalytic activity by efficient charge separation.
In this study, we construct a GaTe/C2N vdW heterostructure and, through hybrid HSE06 calculations, explore its structural, electronic, optical, and photocatalytic properties, including strain‑dependent behavior.
Methods
First‑principles calculations were performed using VASP with a plane‑wave cutoff of 500 eV and the PBE pseudopotential. Hybrid HSE06 corrections were applied to band‑gap predictions. vdW interactions were captured via Grimme’s DFT‑D2. A 25 Å vacuum along z avoided interlayer interactions. Brillouin‑zone sampling used a 21×21×1 k‑mesh for PBE and 11×11×1 for HSE06. Geometry optimizations converged to 10−5 eV in energy and 0.01 eV/Å in forces.
Results and Discussion
Monolayer Benchmarks
Optimized GaTe and C2N monolayers (Fig. 1a,b) exhibit lattice constants 4.14 Å (GaTe) and 8.26 Å (C2N), with Ga–Te and C–N bonds of 2.41 Å and 1.34 Å, respectively. HSE06 predicts indirect band gaps of 2.13 eV for GaTe and 2.44 eV for C2N, consistent with prior reports. The band dispersions are reliable, justifying their use as building blocks.
Heterostructure Construction
Combining a 2×2 GaTe supercell with a 1×1 C2N cell yields a minimal 0.48 % lattice mismatch. Three high‑symmetry stackings—α, β, γ—were evaluated; γ is marginally most stable (binding energy −15.80 meV/Å2). Phonon spectra show all positive modes, and ab‑initio MD confirms thermal stability at 300 K. Band structures across stackings are nearly identical; we focus on the γ configuration.
Electronic Structure and Band Alignment
The γ heterostructure has an indirect band gap of 1.38 eV. Projected densities of states reveal the valence‑band maximum (VBM) dominated by Te/Ga p states, while the conduction‑band minimum (CBM) originates from C/N p states. Band‑decomposed charge densities confirm electron–hole separation: electrons localize on C2N, holes on GaTe, establishing a type‑II alignment with VBO = 1.03 eV and CBO = 0.72 eV. The intrinsic built‑in electric field (Ein) further suppresses recombination, enhancing optoelectronic performance.
Optical Absorption
Compared to the monolayers, the heterostructure displays markedly stronger visible‑UV absorption (Fig. 3), especially between 2.20 and 4.71 eV, due to interlayer charge‑transfer transitions. This broadband response is advantageous for photodetectors and solar energy harvesting.
Strain Engineering
Vertical (normal) strain alters interlayer spacing. Compression reduces the band gap, while tension first increases it modestly before saturating near Δd ≈ 0.8 Å. Type‑II alignment persists across the range, and large tensile strains shift the VBM below the O2/H2O oxidation potential, rendering the system suitable for water splitting at acidic pH (e.g., pH = 2).
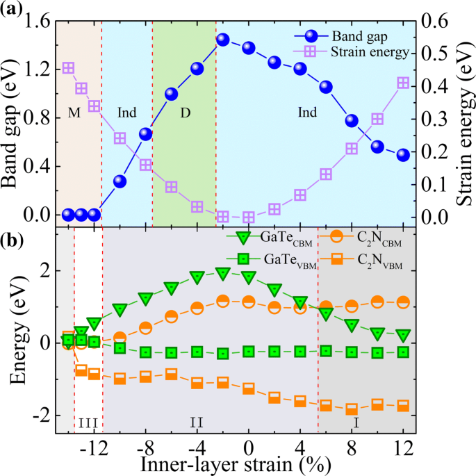
In‑plane biaxial strain (± 6 %) modulates the band gap and induces transitions: an indirect‑direct‑indirect (Ind‑D‑Ind) sequence near − 3 % and − 8 %, a semiconductor‑to‑metal transition at − 12 %, and band‑alignment shifts from type‑II to type‑I (ε ≥ + 6 %) or type‑III (ε ≤ − 12 %). These transitions arise from differential strain sensitivities of GaTe and C2N, offering a tunable platform for electronic, optoelectronic, and catalytic applications.
Photocatalytic Water Splitting
Adsorption energies for H, OH, and H2O on the C2N surface are −1.03, −0.51, and −0.56 eV, respectively, indicating favorable binding. Water dissociation is endothermic (ΔE ≈ 1.48 eV), but the subsequent formation and release of H2 require only 0.04 eV, facilitating hydrogen evolution. Combined with the strain‑induced band alignment, the heterostructure offers a viable pathway for photocatalytic hydrogen production.
Conclusions
Hybrid DFT calculations reveal that the GaTe/C2N vdW heterostructure is an indirect‑gap semiconductor with type‑II alignment, enhanced visible‑UV absorption, and an intrinsic electric field that suppresses carrier recombination. Vertical tensile strain enables photocatalytic water splitting under acidic conditions, while in‑plane strain tunes the band gap and alignment, inducing semiconductor‑metal and band‑type transitions. These strain‑dependent properties position the GaTe/C2N heterostructure as a promising candidate for multifunctional optoelectronic and photocatalytic devices.
Abbreviations
- 2D
Two‑dimensional
- CBM
Conduction band minimum
- CBO
Conduction band offset
- DFT
Density functional theory
- HSE06
Hybrid Heyd‑Scuseria‑Ernzerhof
- PBE
Perdew‑Burke‑Ernzerhof
- PDOS
Partial density of states
- PTMCs
Post transition metal chalcogenides
- VBM
Valence band maximum
- VBO
Valence band offset
- vdW
van der Waals
Figures

Top and side views of (a) GaTe and (b) C2N monolayers; (c)–(e) α‑, β‑, and γ‑stacking configurations of the GaTe/C2N heterostructure.

(a) Projected band structure and DOS of the γ‑stacking GaTe/C2N heterostructure; (b) schematic of type‑II band alignment with water redox potentials; (c)–(d) charge density of VBM and CBM.

Optical absorption spectra of the heterostructure, monolayers, and under various vertical and in‑plane strains. Solar spectrum overlay for reference.

Effect of normal strain on band gap, binding energy, and band‑edge positions; comparison with water redox potentials at pH = 0 and 2.

(a) Adsorption geometries of H, OH, H2O; (b) hydrogen‑atom interaction and H2 formation on C2N surface.

(a) In‑plane biaxial strain effects on band gap and strain energy; (b) evolution of band‑edge positions and transition between type‑I, -II, and -III alignments.
Nanomaterials
- Transition‑Metal Doping of Kaolinite Nanoclay: Structural and Electronic Insights from DFT
- Tuning Electronic and Optical Anisotropy in Monolayer GaS via Vertical Electric Fields
- Enhanced Near‑Infrared Performance of Sulfur‑Hyperdoped Silicon Photodiodes Fabricated by Femtosecond Laser‑Induced Pulsed Melting
- Structural, Electronic, and Magnetic Characterization of Ag<sub>n</sub>V (n = 1–12) Clusters via DFT and CALYPSO Search
- First‑Principles Study of Vanadium Adsorption on Cu(111) and Graphene‑Covered Cu(111): Electronic, Magnetic, and Structural Insights
- V, Cr, Mn Edge‑Functionalized Armchair Phosphorene Nanoribbons: Half‑Semiconductors and Spin‑p‑n Diodes
- Defect‑Driven Magnetism and Strain Engineering in Monolayer WSe2: A DFT Study
- Band‑gap Engineering in InGaNBi Quaternary Alloys: Composition‑Dependent Structural, Electronic, and Strain Properties
- Tailoring Electronic and Optical Properties of WSSe Bilayer via Strain Engineering
- Key PCB Design Principles for Automotive Electronics