High‑Accuracy AlGaN/GaN Reverse‑Blocking Current‑Regulating Diode with Hybrid Trench Cathode
Abstract
A novel AlGaN/GaN lateral reverse‑blocking current‑regulating diode (RB‑CRD) featuring a trench Schottky anode and a hybrid trench cathode has been experimentally realized on a silicon substrate. The integrated Schottky barrier diode (SBD) delivers a turn‑on voltage of 0.7 V and a reverse breakdown voltage of 260 V. The hybrid trench cathode functions as a current‑regulating diode (CRD) in series with the anode SBD, yielding a knee voltage of 1.3 V and forward operation above 200 V. The RB‑CRD maintains a stable output current across 25–300 °C, with a small negative temperature coefficient of less than –0.152 %/°C.
Background
Wide‑bandgap semiconductors are reshaping high‑power, high‑frequency, and high‑temperature electronics. GaN stands out due to its large bandgap, high electron mobility, and critical electric field [1–5]. The spontaneous and piezoelectric polarization of the AlGaN/GaN heterointerface creates a high‑density two‑dimensional electron gas (2DEG), enabling low‑on‑resistance devices with high breakdown voltages. The GaN‑on‑silicon (GaN‑on‑Si) platform combines these advantages with the maturity and cost‑effectiveness of silicon wafers and CMOS processes [6–8], and a broad range of power devices have already been demonstrated on this substrate [9–16]. Adding new functional devices such as the RB‑CRD can broaden the application space and accelerate commercialization of AlGaN/GaN‑on‑Si technology.
The RB‑CRD, illustrated in Fig. 1a, merges a trench Schottky anode with a hybrid trench cathode. The device behaves as an SBD in series with a CRD. One promising use is battery charging (Fig. 1b): the CRD supplies a constant current to the battery, while the reverse‑biased SBD prevents reverse discharge when the input voltage falls below the battery voltage [17–19].

a Schematic cross section of the RB‑CRD. b Circuit diagram of battery charging using the RB‑CRD
Methods
The epitaxial AlGaN/GaN stack was grown on 6‑inch (111) Si by metal‑organic chemical vapor deposition (MOCVD). Layer composition: 2 nm GaN cap, 23 nm AlGaN barrier, 1 nm AlN interlayer, 300 nm GaN channel, and 3.5 µm buffer. Hall measurements show a 2DEG density of 9.5×1012 cm–2 and mobility of 1500 cm2/V·s. The fabrication sequence (Fig. 2) begins with a shallow trench etched by a low‑power Cl2/BCl3 ICP process (7 nm/min at 20 W RF, 60 W ICP, 5 sccm Cl2, 10 sccm BCl3). Mesa isolation and anode trenching follow. Ti/Al/Ni/Au (20/150/55/60 nm) ohmic contacts are deposited by e‑beam evaporation and annealed at 880 °C for 35 s in N2, yielding an ohmic resistance of 1.1 Ω·mm and sheet resistance of 400 Ω/□. Finally, a Ni/Au (50/300 nm) Schottky stack is deposited. The anode‑cathode spacing (LAC) is 4 µm; the ohmic contact length (LO) is 0.5 µm; the Schottky contact length (LS) is 1 µm, with an overhang (LE) of 0.5 µm.

Manufacturing process flow of the RB‑CRD

a AFM images of the cathode trench. b Height profile taken from the cathode trench
Results and Discussion
AFM imaging (Fig. 3a) reveals a remarkably smooth trench bottom with 0.3 nm roughness, ideal for reliable metal‑semiconductor contact. The 17 nm trench recess leaves a 8 nm AlGaN barrier, ensuring that the 2DEG remains active at zero bias (Fig. 3b).
The RB‑CRD operation can be visualized in three bias regimes (Fig. 4). At zero bias, the device behaves like a Schottky‑drain depletion‑mode HEMT. With negative anode bias, the anode SBD is reverse‑biased and the device blocks current, acting as a reverse‑biased SBD. When the anode voltage exceeds the SBD turn‑on (≈1 mA/mm), electrons flow from the cathode ohmic contact to the anode Schottky contact; simultaneously, the cathode Schottky junction is reverse‑biased, depleting the 2DEG beneath the Schottky region and driving the current toward saturation. This self‑regulated current flow yields a steady output current.

Schematic operation mechanism of the RB‑CRD under a zero bias, b reverse bias, and c forward bias conditions
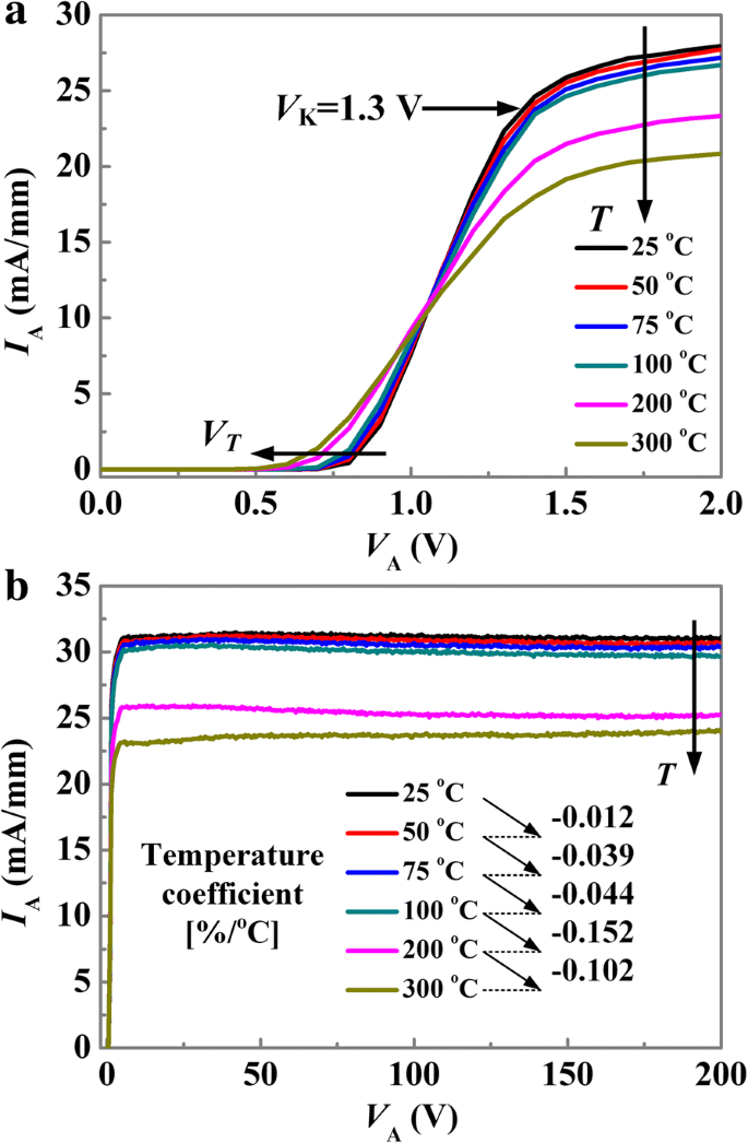
Temperature‑dependent forward I‑V characteristics (Fig. 5a) show a knee voltage (Vk) of 1.3 V at 80 % of the regulating current, surpassing previously reported CRDs (≈0.6 V) [20, 21] due to the additional 0.7 V drop across the anode SBD. As temperature rises from 25 °C to 300 °C, the SBD turn‑on voltage shifts downward, consistent with thermionic emission theory. The device sustains a steady current up to 200 V (Fig. 5b), outperforming commercial Si‑based CRDs [22–24]. At 25 °C, the current ratio I200 V/I25 V is 0.998, confirming exceptional steadiness. Thermal stability is further highlighted by a temperature coefficient of less than –0.152 %/°C, derived from the I‑T relationship \(\alpha=\frac{I_1-I_0}{I_0(T_1-T_0)}\times100\%\).

Temperature dependent forward bias I‑V characteristics of the RB‑CRD. Anode voltage ranges: a 0–2 V, b 0–200 V
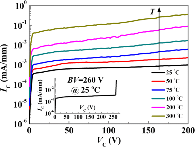
The reverse breakdown voltage peaks at 260 V at 25 °C, corresponding to an average critical electric field of 0.65 MV/cm. However, the reverse leakage current rises by two orders of magnitude when the temperature is increased to 300 °C, as shown in Fig. 6.

Temperature dependent reverse bias I‑V characteristics of the RB‑CRD
Conclusions
We have introduced a first‑of‑its‑kind AlGaN/GaN‑on‑Si RB‑CRD that combines a trench Schottky anode with a hybrid trench cathode. The device achieves a knee voltage of 1.3 V, operates reliably above 200 V, and withstands 260 V reverse breakdown. Its output current shows remarkable accuracy with a negative temperature coefficient below –0.152 %/°C. These attributes position the RB‑CRD as a strong candidate for next‑generation GaN power electronics, especially in battery‑charging and other constant‑current applications.
Abbreviations
- 2DEG:
Two‑dimensional electron gas
- AFM:
Atomic force microscope
- ICP:
Inductively coupled plasma
- MOCVD:
Metal organic chemical vapor deposition
- RB‑CRD:
Reverse blocking current‑regulating diode
- SBD:
Schottky barrier diode
Nanomaterials
- Reverse Engineering Meets Additive Manufacturing: Accelerating Innovation Across Industries
- Impact of Surface Donor Traps and Aluminum Composition on 2DEG Density and Surface Potential in AlGaN/GaN HEMTs
- Surface Polarization in Al₂O₃‑Capped GaN/AlGaN/GaN Heterostructures Investigated via Angle‑Resolved X‑ray Photoelectron Spectroscopy
- Using GaN/Fe Nanoparticles to Magnetically Guide Endothelial Cells in Vitro
- Hybrid Silicon–Graphene Metasurface: Ultra‑Thin, Tunable Polarization Converter with 96% Efficiency
- Enhanced Organic–Nanostructured Silicon Hybrid Solar Cells via Surface Modification for Superior Efficiency
- AlGaN/GaN HEMTs with 803 V Breakdown: Fluorine‑Doped SiNx Passivation Yields Low Dynamic ON‑Resistance
- Enhanced Deep‑UV Light Extraction in AlGaN Nanorod Arrays via Top‑Down Fabrication
- Precise Band Alignment of 2D MoS₂ on 3D β‑Ga₂O₃ Heterojunctions: Impact of Nitridation
- Double‑Heterojunction AlGaN/GaN Schottky Barrier Diode on Si: A Combined Theoretical and Experimental Analysis