High-Performance Multi-Level Memristor Using Al-Doped HfO₂ Thin Film for Next-Gen NVM Applications
Abstract
Non-volatile memory (NVM) will play a very important role in the next-generation digital technologies, including the Internet of things. The metal-oxide memristors, especially based on HfO2, have been favored by lots of researchers because of its simple structure, high integration, fast operation speed, low power consumption, and high compatibility with advanced (complementary metal oxide silicon) CMOS technologies. In this paper, a 20-level stable resistance states Al-doped HfO2-based memristor is presented. Its cycles endurance, data retention time, and resistance ratio are larger than 103, > 104 s, and > 10, respectively.
Background
Although negative resistance phenomenon firstly was discovered by Hickmott in an Al/Al2O3/Au structure in 1962 [1], and Chua proposed the concept of memristor in 1971 [2]. It was not until Strukov et al prepared the TiO2-based memristor in 2008 [3] that people began to pay attention to the study on memristors. At present, researchers have prepared memristors with more than dozens of active resistive materials, including multiple complex oxides [4, 5], metal oxides such as ZnO [6], TiOx [7], TaOx [8], and two-dimensional materials [9, 10]. HfO2 has been used as high-k gate dielectrics in CMOS devices since its high reliability, fast operation speed, and low-power consumption [11, 12]. It is also preferred by researchers as a memristive material [13,14,15].
Multi-level memristor can be widely used as data storage [16,17,18], logical calculation [19], electronic synaptic device [20,21,22,23], and so on. Wang Y. [16] and Gao B. et al. [24] prepared multi-level memristors by doping HfO2 with Cu and Gd, respectively, but they can only create 4-level storage state, which is difficult to meet the demands of the applications. Therefore, the study on HfO2 multi-level memristors is of great significance.
Methods
Ti/Al:HfO2/Pt device was fabricated as shown in Fig. 1a. The active cell area was defined by the square-shaped Ti top electrode (TE). A 20-nm Ti adhesive layer was deposited by direct current (DC) sputtering on a silicon substrate, then a 100-nm Pt film was deposited as a bottom electrode (BE). The 20-nm Al-doped HfO2 functional layer was deposited by the atomic layer deposition (ALD) reactor (R-150, Picosun, Espoo, Finland) at 300 °C with MeCp2HfMe(OMe) (denoted as HfD-04) as Hf precursor, and H2O as oxygen source [25]. The precursors were carried by high-purity N2 (> 99.999%) into the reactor chamber. Al-doped films were obtained by depositing one cycle of Al2O3 at every 8 cycles of HfO2 with the trimethylaluminum (TMA) as the Al source and H2O as oxygen source. The Al atomic concentration of 6.2% is detected by X-ray photoelectron spectroscopy (XPS, Axis Ultra DLD, Kratos Analytical, Manchester, UK) on a Theta 300 XPS system from Thermo Fisher. A 50-nm Ti film as TE and 100 nm Pt as covering layer were deposited by DC sputtering. Devices are obtained by patterning the TE by optical lithography and lift-off process. Figure 1b is the optical micrograph of the devices. We have prepared devices with different areas ranging from 5 μm × 5 μm to 500 μm × 500 μm.

The structure of the devices. a 3D model of the memristors. b Optical microscopy of the devices
Results and Discussion
Figure 2 shows the XPS of Al-doped and non-doped devices. Comparing to the spectrograms of non-doped devices, Al-doped devices show a distinct 74.1 eV peak of Al 2p in Fig. 2a, and the binding energy of Hf 4f has a certain increase in Fig. 2b. The ratio of Hf 4f5/2 to Hf 4f7/2 also increased for the doped devices. It is consistent with the other reports [14, 26, 27]. Al atoms bond to HfO2 structure to form Hf-Al-O, which results in the weaker and more easily broken Hf-O bonds.

The XPS of Al-doped and non-doped devices. a Al 2p and b Hf 4f are compared
For all the electrical measurements, the Ti TE was biased while the Pt BE was grounded. DC sweeps were performed by using a B1500A parameter analyzer (Santa Clara, CA, USA) with a source/measurement unit, and pulse electrical measurements with a waveform generator/fast measurement unit are also used. All the devices show high-resistance state (HRS) before a necessary electric forming process. Figure 3a shows the forming characteristic of the 10 μm × 10 μm Al-doped and non-doped devices. A current compliance during forming is necessary to protect the devices from being damaged. The initial resistance and forming voltage of non-doped device is larger. The oscillation in the low-voltage region of the non-doped device is because the current is lower than the measuring limit of the instrument. The reset process after the forming step is motivated by applying a negative voltage, as shown in Fig. 3a, and then the first set process is motivated. As the voltage amplitude of reset increases, the current of both two devices increase to a maximum larger than the limited current of forming and then decrease. The HRS currents of both two devices are several orders larger than that of the initial state at the same voltage. It suggests that there is still conductive filament that cannot be fused completely after reset. The typical set/reset I–V curves in Fig. 3b shows both typology of these two devices is bipolar operation mode [28]. The switching ratio and the set/reset voltage of Al-doped device are smaller than those of non-doped device, but its resistance state transformation process is more gentle, suitable as a multi-value storage device.

The I/V characteristics of the devices. a The forming process and first cycle. b The typical set/reset process
To clarify the switching mechanisms of the devices, the I–V curves are replotted in double logarithmic scale in Fig. 4. For both kinds of devices, the low-resistance curve exhibits a linear Ohmic behavior, which indicates the formation of conducting filaments in HfO2 films during their setting [29, 30]. However, the high-resistance curves are quite different between these two kinds of devices. For the doped device, it is composed of three regions: the Ohmic region (I∝V), the Child’s law region (I∝V2), and the steep current increase region, which is accorded with the typical I–V characteristic of trap-controlled space charge limited current (SCLC) [31, 32]. The high-resistance curve of the non-doped device is composed of two regions: the Ohmic conduction (I∝V) at the low-voltage region, and the linear fit of the lnI-V1/2 at high-voltage region (the inset of Fig. 4), confirming the Schottky emission mechanism [15, 33].

The curve fitting of SET process in the double logarithmic coordinates
According to the features above, the microscopic mechanisms of the memristors are summarized as follows. For undoped devices, as the positive voltage applied to the titanium electrode increases, more and more oxygen ions generate in the HfO2 and move toward the titanium electrode [34], producing titanium oxide [35]. At the same time, the oxygen vacancies accumulate at the interface between the platinum electrode and the HfO2, forming conductive filaments gradually [36]. Therefore, current increases gradually with the voltage. The devices turn into low-resistance state (LRS) when the oxygen vacancies conducting filaments connect the TE and BE. While the titanium electrode applied with a negative voltage, the oxygen ions combine with the oxygen vacancies at the HfO2/Pt interface [37], which leads to the lower oxygen vacancy concentration and the higher Schottky barrier. When the reset voltage reached, the conductive filament is broken and the device is changed to HRS.
For Al-doped devices, Al atoms bond to HfO2 structure to form Hf-Al-O result in the weaker and more easily broken Hf–O bonds. The formation energy of oxygen vacancy is reduced. Therefore, the doping devices have a smaller resistance and a lower transition voltage. In undoped films, oxygen vacancies tend to accumulate along the grain boundaries [38, 39]. As a result, conductive filaments are few and thick. The resistance of the devices varies greatly with the conduction and breakage of the conductive filaments. In the doped films, oxygen vacancies are easily formed near the impurity atoms [35, 40, 41]. The uniform distribution of a large amount of impurities in the thin film makes the conductive filaments be formed by oxygen vacancies more controllable. Therefore, it is easier to achieve multiple resistance values.
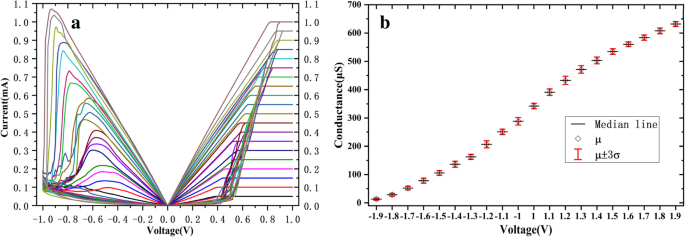
The devices can be set to different steady resistance states by changing the current compliance of set process. Twenty stable resistance states are obtained by setting current compliance forming 0.5 mA to 10 mA with a step of 0.5 mA in Fig. 5a. As the resistance states set by DC sweep, the energy consumption is large, and the operation is complicated. On the other hand, the resistance values are easily locked in LRS when a large current compliance is used. This method is also unable to adjust the HRS. Twenty-level resistance states achieved by changing voltage amplitude of set and reset pulse. To avoid the possibility of current overshooting and set/reset failure, the voltage amplitude is limited between 1 V~1.9 V for SET and − 1 V~− 1.9 V for reset. It can be seen from the box diagram (Fig. 5b) that the allowed voltage range is divided into 20 values and the yield of the device is far exceeding the 3 σ level (99.73%). This is a common requirement in production. The disadvantage of this method is that the devices cannot be set directly from one HRS (LRS) to another HRS (LRS), but need to reset (set) to LRS (HRS) firstly, and then set to the target HRS (LRS). This increases the complexity and power consumption of the operation.

The multi-value storage of the devices. a Transform resistance states by setting compliance currents. b 20 stable resistance states obtained by setting pulse voltage amplitude The pulse width and interval are both 500 μs
A better approach is shown in Fig. 6. The device conductance is incrementally increased or decreased by consecutive pulses. The pulse duration and interval are both 10 μs. The conductance is measured by a 0.1 V read pulse after each set/reset pulse. As seen in Fig. 6, the number of pulses needed in order to set/reset the devices to different levels depends on the voltage applied. The different resistant statues with 20 levels are obtained through set and reset by selecting 0.5 V as SET voltage and − 0.7 V as reset voltage respectively (Fig. 7). The device is reset to a HRS by 10 − 0.9V consecutive pulses every time before setting to the target status or set to a LRS by 10 0.8-V consecutive pulses before adjustment. Considering the same status present at both the set and reset process, there are 35 different statuses obtained totally. The deviation of pulse number needed for the two adjacent resistance states of set (reset) exceeds the 3 σ level. The disadvantage is that if the resistance values of the devices change greatly, the pulse number needed will be large and the operation speed will be slow.

The resistance adjusted by consecutive pulses. a Set process and b reset process

Pulse number needed to set (a) or reset (b) the devices to 20 different levels
To test the data retention of the devices, 20 devices are set/reset to a series of different resistance values, and keeping them on a heating table at 85 °C [42]. The resistance values were measured with a voltage of 0.1 V every 100 s. It can be seen from Fig. 8a that the resistance of the devices maintains stable after 104 s. In order to test the cycle reliability of the device, we repeated set and reset operation with a 1.8 V/500 μs set pulse and a − 1.8 V/500 μs reset pulse. After 103 cycles, the switching ratio of the device is still greater than 10 in Fig. 8b.

The reliability tests of the devices. a Data retention characteristics after set/reset pulse operations. b Cycles endurance curves for set/reset pulse operations
Conclusions
The proposed Al-doped HfO2 memristor shows a gradual and stable set/reset performance. By fitting the curve of set process of Al-doped and undoped devices, it is found that, in HRS, the undoped device follow Schottky emission mechanism, while the Al-doped device follow SCLC conductive mechanism. The microscopic physical mechanism of resistance change is also discussed. In addition, the multi-value storage of the device was confirmed by changing the compliance current, adjusting the set/reset pulse voltage amplitude and using the consecutive short pulses. Finally, we tested the reliability of the devices to prove that it has a data retention of more than 104 s (85 °C) and a switching ratio greater than 10 after 103 cycles.
Availability of Data and Materials
All data generated or analyzed during this study are included in this published article.
Abbreviations
- ALD:
-
Atomic layer deposition
- BE:
-
Bottom electrode
- CMOS:
-
Complementary metal oxide silicon
- HfD-04:
-
MeCp2HfMe(OMe)Hf
- HRS:
-
High-resistance state
- LRS:
-
Low-resistance state
- NVM:
-
Non-volatile memory
- SCLC:
-
Space-charge-limited current
- TE:
-
Top electrode
- TMA:
-
Trimethylaluminum
- XPS:
-
X-ray photoelectron spectroscopy
Nanomaterials
- Optimized HfO2/TiO2/HfO2 Trilayer RRAM: Electrode-Dependent Bipolar Switching and Enhanced Uniformity via Atomic Layer Deposition
- High‑Temperature Stability of ITO/PtRh Thin‑Film Thermocouples for Aeroengine Applications
- High‑Sensitivity Flexible Strain Sensor Using Poly(vinylidene fluoride) Piezoelectric Film
- Enhancing Energetic Performance by Integrating Al/PTFE Nanolaminates into Copper Exploding Foils
- Optimizing Deposition Pressure in PECVD for Low‑Defect Nanocrystalline Si:H Thin Films
- Temperature‑Dependent Evolution of HfO₂/Si Interfaces: Crystallization Mechanisms and Optimal Annealing Conditions
- Ultra‑Sensitive, Rapid‑Response Ammonia Gas Sensor Based on Reduced Holey Graphene Oxide Thin Films
- Sm-Doped CeO₂-δ Thin Films on Al₂O₃(0001): Superior Surface Proton Conduction
- Monoclinic V1−x−yTixRuyO₂ Thin Films: Superior Thermal Sensitivity for Microbolometers
- High-Performance Niobium Titanium Nitride Thin-Film Coating for Infrared Detector Absorbers