Enhanced Hydrogen Evolution Catalysts: MoSe₂–Ni₃Se₄ Hybrid Nanostructures with Superior Electrocatalytic Activity
Abstract
Combining MoSe2 with other transition metal dichalcogenides to form a hybrid nanostructure is an effective route to enhance the electrocatalytic activities for hydrogen evolution reaction (HER). In this study, MoSe2-Ni3Se4 hybrid nanoelectrocatalysts with a flower-like morphology are synthesized by a seed-induced solution approach. Instead of independently nucleating to form separate nanocrystals, the Ni3Se4 component tends to nucleate and grow on the surfaces of ultrathin nanoflakes of MoSe2 to form a hybrid nanostructure. MoSe2–Ni3Se4 hybrid nanoelectrocatalysts with different Mo:Ni ratios are prepared and their HER catalytic activities are compared. The results show that the HER activities are affected by the Mo:Ni ratios. In comparison with pure MoSe2, the MoSe2-Ni3Se4 hybrid nanoelectrocatalysts having a Mo:Ni molar ratio of 2:1 exhibit enhanced HER properties with an overpotential of 203 mV at 10 mA/cm2 and a Tafel slope of 57 mV per decade. Improved conductivity and increased turnover frequencies (TOFs) are also observed for the MoSe2-Ni3Se4 hybrid samples.
Introduction
Traditional fossil fuels are the main energy sources in our society; however, they are non-renewable and unsustainable, and are causing serious pollution to environment. Among alternative energies, hydrogen energy has been regarded as one of the most promising clean energies because of its ultrahigh energy density [1]. Up to now, the large-scale production of hydrogen is still mainly from fossil fuel sources [2]. Coal gasification and methane steam reforming industrially produce 95% of hydrogen [3]. Hydrogen evolution reaction (HER) has been considered as a promising route to generate high-purity hydrogen [1, 4, 5]. However, the best electrocatalysts for HER in acidic media are still Pt-based and other noble metal materials [6]. Due to their scarcity and high cost, the Pt-based materials are not suitable to be applied in large-scale hydrogen evolution [7].Transition metal dichalcogenides (TMDs), like MoS2, MoSe2, WS2, and WSe2, have received intensive attentions owing to their excellent electrochemical properties and earth abundant nature. As a typical layered TMD semiconducting material, MoSe2 has a similar structure to graphite, and is formed by Se–Mo–Se layers that are bonded via the van der Waals forces. In addition, MoSe2 is more metallic than MoS2, and has a lower Gibbs free energy of the hydrogen adsorption onto the edge of MoSe2 than MoS2, which leads to a higher adsorption of hydrogen [8]. On this account, MoSe2 and its hybrids have captured much attention as electrocatalysts for HER.
It is well known that only active sites are effective for HER. For two-dimensional layered nanostructures like TMD nanosheets, the active sites for HER are located along the nanosheet edges [9], whilst the basal surfaces are inert. The conductivity of electrocatalysts is also an important issue for HER. As a kind of semiconductor, the poor electron transport ability of MoSe2 compared to noble metals is still limiting its performance in HER [10]. Therefore, the general strategies for improving the activity of TMD catalysts are to enhance the electrical conductivity [11, 12] and increase the active site numbers [12,13,14]. Meanwhile, designing hybrid structures by integrating different types of semiconductive materials especially TMDs with a preferred orientation is considered to be an important approach to tuning the electronic properties of semiconductive materials [15,16,17]. Hybrid nanostructures with efficient heterointerfaces can promote rapid interfacial charge transfer, which is pivotal to the electrochemical reactions [18]. Besides, it is well known that three elementary steps, i.e., adsorption, reduction, and desorption, are required to generate hydrogen during the electrochemical reactions [19]. One of the superiority for hybrid materials composing of different chemical components is that they may break through the limitation that many single-component catalysts are not effective for all the three intermediate reaction processes. Recently, some researchers have integrated Ni-based catalysts with MoSe2 in various morphologies by using different methods to achieve enhanced HER performances [15, 18, 20]. The combination of MoSe2 with Ni selenides to form a hybrid structure may utilize the synergistic effect that arises from the interaction between two heterogeneous components to achieve enhanced electrocatalytic activity. For example, a DFT calculation indicated that the MoS2(1−x)Se2x/NiSe2 had much lower hydrogen adsorption Gibbs free energy on (100) and (110) planes than pure MoS2(1−x)Se2x, which could result in higher coverage of hydrogen at the active sites and therefore achieved outstanding electrocatalytic performances [21].
Herein, we attempt to prepare hybrid nanoelectrocatalysts by growing Ni3Se4 on the surfaces of flower-like MoSe2 seeds which are synthesized via a colloidal method reported in our previous study [22]. Such a seed-induced growing approach offers a facile means to build various TMD hybrid nanostructures. The reason why we select Ni3Se4 as the hybrid component is that Ni3Se4 has a higher electrical conductivity than other nickel selenides [23]. In order to investigate the influences of Ni3Se4 on catalyst’s activity and find out the best composition ratio, we systematically modulated the content of Ni3Se4 and MoSe2, and found that the incorporation of moderate content Ni3Se4 into the MoSe2–Ni3Se4 hybrid systems can improve the HER performances. Our results suggest that the construction of a hybrid nanostructure of MoSe2–Ni3Se4 is an effective approach to improve the HER performances of pure MoSe2.
Methods/Experimental
Synthesis of MoSe2–Ni3Se4 Hybrid Nanoelectrocatalysts
The synthesis of MoSe2–Ni3Se4 hybrid nanoelectrocatalysts involved two steps. In the first step, MoSe2 seeds were synthesized according to the method reported in our previous study [22]. Briefly, 10 mL of oleic acid (OA, 85%, Aladdin Bio-Chem Technology Co., Ltd.) and 0.4 mmol of molybdenum hexacarbonyl (Mo(CO)6, 98%, J&K Scientific Ltd.) were mixed and heated up to 85 °C slowly in argon gas. Subsequently, the temperature of the mixed solution was increased to 200 °C and 6.7 mL of pre-prepared solution containing 1-octadecene (ODE, 90%, Aladdin Bio-Chem Technology Co., Ltd.) and Se (99.999%, J&K Scientific Ltd.) with a Se concentration of 0.15 mmol/mL was injected into the reaction solution using an injecting speed of 0.5 mL/min. When the injection was completed, the reaction was further maintained for 30 min to generate MoSe2 seeds. In the next step, the reaction temperature was increased to 300 °C, and a mixture of 3.3 mL solution of ODE and Se, and nickel(II) acetylacetonate (Ni(acac)2, 0.2 mmol, 96%, J&K Scientific Ltd.) was injected into the reaction mixtures and kept at 300 °C for 30 min. After cooling down to room temperature, the reaction products were washed with ethanol and hexane, and then undergoing drying at room temperature. The synthesized sample was labeled as Mo2Ni1, denoting that the molar ratio of Mo:Ni in MoSe2–Ni3Se4 hybrid samples is 2:1. Other MoSe2–Ni3Se4 nanohybrid samples with different Mo to Ni ratios were synthesized using the same procedure except that different qualities of mixtures of Ni and Se sources were added in the reaction.
Characterization
The crystalline phase was characterized using by an X-ray diffractometer (Bruker D8-Advance). Transmission electron microscopy (TEM) images were obtained using a JEM-2100 transmission electron microscope. High-angle annular dark-field (HAADF) imaging and corresponding elemental mapping were performed with a TECNAI F-30 transmission electron microscope. Scanning electron microscopy (SEM) images were acquired using a SU-70 scanning electron microscope. X-ray photoelectron spectroscopy (XPS) data were obtained via a spectrometer (PHI QUANTUM 2000) with Al Kα source.
Electrochemical Tests
The electrochemical tests were conducted in a standard testing system containing a reference electrode of Ag/AgCl, a graphite rod counter electrode and a glass-carbon working electrode which were connected to an Autolab 302N electrochemical workstation that used H2SO4 (0.5 M) as electrolyte. To prepare electrocatalyst ink, the synthesized electrocatalysts (4 mg), Ketjenblack carbon black (0.5 mg), and Nafion solution (30 μL) were mixed with ethanol-water solution (1 mL) with an ethanol content of 20 vol%. The mixtures were then ultrasonicated for 30 min. Finally, 5 μL of ink (containing about 20 μg electrocatalysts) was deposited on the glassy carbon electrode to form a film that had a loading of about 0.286 mg/cm2 and dried at room temperature. The polarization curves were obtained by using a scan rate of 2 mV s−1 at 25 °C from 0.2 to − 0.6 V (versus reversible hydrogen electrode (RHE)). The electrochemical impedance spectroscopy (EIS) data were obtained at frequencies ranging from 0.01 Hz to 100 kHz at – 260 mV. The cyclic voltammetry (CV) test was carried out to obtain the double-layer capacitance (non-Faradaic potential) from 0.1 to 0.2 mV and to calculate the effective surface area of electrode.
Results and Discussion
The synthesis of MoSe2–Ni3Se4 hybrid nanoelectrocatalysts is based on a seed-induced strategy in which nanoscale Ni3Se4 grows in situ on the pre-formed MoSe2 seeds (Fig. 1). In the first step, MoSe2 seeds were synthesized via the reaction between Mo precursor (Mo(CO)6) and Se in the presence of OA in ODE at 200 °C in which process ultrathin MoSe2 nanoflakes which were formed during the heating process were further self-assembled into flower-like MoSe2 particles [22]. The flower-like morphology with large surface area may facilitate the dispersion and intimate interaction of the second component [24]. After the temperature reached at 300 °C, the solution containing Ni(acac)2 and ODE-Se was rapidly injected into the hot reaction mixtures containing MoSe2 seeds. At this stage, Ni3Se4 nucleates and grows on the surface of MoSe2 nanoflakes to form MoSe2–Ni3Se4 hybrid nanostructures. This facile synthetic strategy is effective for the synthesis of MoSe2–Ni3Se4 hybrid nanoelectrocatalysts with different Mo:Ni ratios under similar experimental conditions and may be employed to build other MoSe2-based hybrid nanoelectrocatalysts.

Schematic diagram of the formation of MoSe2–Ni3Se4 hybrid nanoelectrocatalysts
Figure 2 compares the XRD patterns of pure MoSe2 and MoSe2–Ni3Se4 hybrid samples. The diffraction peaks of pure MoSe2 sample are in accordance with hexagonal MoSe2 (PDF# 29-0914) while the MoSe2–Ni3Se4 hybrid samples with different Mo:Ni ratios exhibit the combinational peaks of hexagonal MoSe2 and monoclinic Ni3Se4 (PDF# 13-0300). As the content of Ni precursor added increases, the peak intensity of Ni3Se4 in the XRD patterns also increases, which indicate that the concentration of Ni3Se4 in the MoSe2–Ni3Se4 hybrid nanoelectrocatalysts increases too. Therefore, the content of Ni3Se4 in the MoSe2–Ni3Se4 hybrid nanoelectrocatalysts can be tuned by controlling the content of the Ni precursor added. The SAED analyses (Additional file 1: Figure S1) also reveal the co-existence of hexagonal MoSe2 and monoclinic Ni3Se4, which confirm the XRD results. As the content of Ni precursor added increases, the diffraction rings belonging to Ni3Se4 also become prominent, demonstrating that the relative content of Ni3Se4 component in MoSe2–Ni3Se4 hybrid nanoelectrocatalysts increases too.

XRD patterns of pure MoSe2 and MoSe2–Ni3Se4 hybrid samples with different Mo:Ni ratios. Reference patterns of bulk MoSe2 and Ni3Se4 are also included
The morphology of as-prepared samples was analyzed by SEM and TEM. The pure MoSe2 possesses a flower-like morphology that has a size ranging from 100 to 200 nm (Additional file 1: Figure S2). Upon incorporating Ni3Se4, it can be distinctly seen that the petals of nanoflowers begin to become thicker (Fig. 3), and the flower-like morphology tends to disappear gradually with increasing the Ni3Se4 content. High-resolution TEM (HRTEM) analyses (Fig. 4a, b) on Mo2Ni1 sample reveal two types of evident lattice fringes: the one having an interplanar spacing of 0.64 nm corresponds to the (002) plane of MoSe2 [25], and the one with an interplanar spacing of 0.27 nm agrees well with the (−112) plane of Ni3Se4. The result confirms the presence of both MoSe2 and Ni3Se4 components in a hybrid nanostructure, and the main surfaces of nanoflower petals are constituted by the {001} facets of MoSe2. In addition, the two different lattice fringes are roughly in parallel, indicating that Ni3Se4 may grow on the {001} facets of MoSe2 along the c-axis of MoSe2.

SEM images (a, b, d, e, g, and h) and TEM images (c, f, and i) of Mo5Ni1 (a−c), Mo2Ni1 (d−f) and Mo1Ni1 (g−i) samples

HRTEM images (a and b), HAADF image (c) and elemental maps (d−f) of Mo2Ni1 sample
Energy-dispersive X-ray spectroscopy (EDS) elemental maps along with the HAADF image (Fig. 4d−f) confirm the presence of Se, Ni and Mo. However, the spatial distribution of Mo and Ni is slightly different. Mo is basically distributed homogeneously in the nanoflower, whereas Ni tends to concentrate near the petals of the nanoflower, which indicate that Ni3Se4 should grow on MoSe2 petals. The covering of thicker Ni3Se4 layers on the MoSe2 may block the active sites of MoSe2 and eventually leads to declined HER performances. Besides to the injected amount of Ni and Se sources, the injection rate also affects the morphology of MoSe2–Ni3Se4 hybrid nanostructure. When a smaller injection rate (1.65 mL/min) of Ni and Se sources was used, the products turned out to have an inhomogeneous morphology (Additional file 1: Fig. S3). This indicates that the formation of MoSe2–Ni3Se4 hybrid nanostructure is also a kinetically controlled process.
XPS analyses (Fig. 5a–d) further verify the presence of Mo, Ni, and Se in the hybrid sample (take Mo2Ni1 as a typical example). For Se 3d regions (Fig. 5b), the two peaks at 54.75 and 55.75 eV are assigned to Se 3d5/2 and Se 3d3/2, respectively, which indicates that the oxidation state for Se at is − 2 [26]. The obvious peak at 59.37 eV suggests that the Se species at surfaces has been oxidized [20, 26]. In Fig. 5c, two peaks located at 229.37 and 232.50 eV are assigned to Mo 3d5/2 and 3d3/2, respectively, which indicate the +4 oxidation state of Mo [8, 11, 26]. In Fig. 5d, the Ni 2p peaks are clearly present, and the peaks at 856.62 and 874.12 eV agree well with Ni 2p3/2 and Ni 2p1/2, respectively. The two satellite peaks at 861.87 and 880.37 eV suggest that Ni is in the oxidation state close to + 2 [27].

XPS spectra of Mo2Ni1 sample. a is the survey spectrum. b), c, and d show the expanded spectra of Se, Mo, and Ni, respectively
The formation mechanism of MoSe2–Ni3Se4 hybrid nanostructure can be understood from the above characterization results. The flower-like MoSe2 seeds play an important role in inducing the formation of Ni3Se4 on the surfaces of MoSe2. At the reaction temperature of 300 °C, Ni(acac)2 is easily to decompose to react with Se to form Ni3Se4. The surfaces of MoSe2 can act as heterogeneous-nucleation sites to induce the nucleation of Ni3Se4. Obviously such a heterogeneous nucleation process requires less active energy than homogeneous nucleation. Therefore Ni3Se4 is observed to grow on the surfaces of MoSe2 to form petal-like morphology instead of separated particles which are formed by independently homogeneous nucleation. With further increasing the amounts of Ni and Se sources, Ni3Se4 tends to grow on the surfaces of Ni3Se4 petals that have already formed. As a result, MoSe2–Ni3Se4 hybrid nanostructures with increased thickness of Ni3Se4 petals are observed (see the morphological evolution shown in Fig. 3).
The electrocatalytic activity of as prepared catalysts was measured using a three-electrode system in acid solution. As shown in Fig. 6a, all the onset overpotentials (i.e., the potential needed to achieve a current density of 1 mA cm−2) [28] of various catalysts are small. The Mo5Ni1 sample requires the lowest onset overpotential of 128 mV for HER, while for other catalysts, the values of onset overpotential are 163, 140, 162, and 216 mV for MoSe2, Mo2Ni1, Mo1Ni1, and Ni3Se4, respectively. When cathode current density reaches -10 mA cm-2, the Mo2Ni1 sample requires the smallest overpotential of 203 mV. The needed overpotentials are 234, 220 250, and 299 mV for MoSe2, Mo5Ni1, Mo1Ni1, and Ni3Se4, respectively. To further investigate the obtained samples, the linear portions of the Tafel curves were analyzed using the Tafel equation:
$$ \eta =b\;\log\;j+a $$ (1)
Polarization curves (a) and corresponding Tafel plots (b) of MoSe2, Mo5Ni1, Mo2Ni1, Mo1Ni1, Ni3Se4, and Pt/C. c Nyquist plots at an overpotential of 250 mV. d Polarization curves of Mo2Ni1 sample before and after 1000 cycles
where j is the current density, η is the overpotential, and b is the Tafel slope. As can be seen in Fig. 6b, the Mo2Ni1 sample has a Tafel slope of 57 mV per decade. This value is substantially smaller than the slopes of Mo5Ni1 (85 mV per decade), Mo1Ni1 (88 mV per decade), Ni3Se4 (82 mV per decade) and MoSe2 (71 mV per decade) samples. Meanwhile, the Pt/C exhibits a Tafel slope of ~ 33 mV per decade, corresponding well to the known values [29]. Theoretically, the lower Tafel slope suggests the faster HER kinetics [30]. The principal reaction mechanism in the HER process can be revealed by the Tafel slope [15, 19]. There are three main steps can participate in the HER process, i.e., Volmer reaction: H+ (aq) + e- → Hads, Heyrovsky reaction: Hads + H+ (aq) + e- → H2 (g), and Tafel reaction Hads + Hads →H2 (g). At 25 °C, The Tafel slope values of the three reactions are 118 mV per decade, 39 mV per decade, and 29 mV per decade, respectively [19]. Accordingly, the results in our study suggest that the mechanism of Volmer–Heyrovsky [31,32,33] should be dominant for all prepared samples in the HER.
In order to further investigate the kinetics of electrodes, the Nyquist plots of five samples acquired by EIS are shown in Fig. 6c. The charge transfer resistance (Rct) which is achieved from the region of low frequency has a close relationship to the kinetics of electrodes. A smaller value of Rct is relevant to a higher reaction rate [34]. The value of Rct of Mo2Ni1 is 13.0 Ω, which is the lowest value among the five samples. For other samples, the Rct values are 27.5, 27.1, 109.1, and 254.6 Ω for MoSe2, Mo5Ni1, Mo1Ni1, and Ni3Se4, respectively. The lowest Rct of Mo2Ni1 suggests the fastest charge transfer process among the as prepared samples. The result further proves the excellent HER electrocatalytic efficiency of the Mo2Ni1 sample. The better conductivity might be resulted from the modulation of electronic structure via the synergetic effects between MoSe2 and Ni3Se4. Fig. 6d presents the polarization curves to characterize the stability of Mo2Ni1 sample. After 1000 cycles, the catalytic performance only shows a slight decline. The synergetic effects play an important in controlling the adsorptive-absorptive interactions on the catalytic surfaces and thus determine the rate determining step of the catalytic reaction [35]. Therefore, the utilization of synergetic effects constitutes a major advantage of hybrid nanostructure for the enhancement of HER activity.
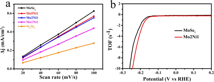
To roughly calculate the electrochemically active surface area (ESCA) of the catalysts, electrochemical double-layer capacitances (Cdl) are measured using cyclic voltammetry (CV) at different scan rates (Additional file 1: Figure S4). The plots of Δj = (ja−jc)( ja and jc are the current density when charging and discharging at a voltage of 0.15 V, respectively) against the scan rate are shown in Fig. 7a, and the Cdl values are counted to be half of the slopes. Mo2Ni1 exhibits a Cdl value of 2.67 mF cm−2 which is slightly smaller than the value (3.06 mF cm−2) of MoSe2 and Mo5Ni1 (2.82 mF cm−2), suggesting that the addition of Ni3Se4 cannot further increase the electrochemical active surface area, and the consequence is consistent with the TEM observation. Hence the reason for the improvement of the HER catalytic activity of Mo2Ni1 sample is not likely due to the increase of electrochemically active surface area but the synergistic effect between MoSe2 and Ni3Se4, along with the promoting of conductivity. In addition, we estimated the numbers of active sites and turnover frequencies (TOFs) of various catalysts. The numbers of actives are obtained by the CV curves of different catalysts which are recorded from − 0.4 to 0.6 V in a phosphate buffer saline electrolyte with a scan rate of 50 mV s−1(Additional file 1: Figure S5) [30, 36]. The calculated number of active sites for Mo2Ni1 is 1.02 × 10−6 mol while that for MoSe2 is 0.77 × 10−6 mol. In addition, the calculated TOF at – 200 mV for each active site of Mo2Ni1 is 3.4 s−1, which is also larger than that (2.1 s−1) of MoSe2 (Fig. 7b). Theoretically, the HER activity of catalysts can be attributed to three factors: (a) the active site numbers, (b) the active site quality (turnover frequency), and (c) the conductivity among active sites [37]. In this work, although Mo2Ni1 has a slightly smaller value of Cdl compared to MoSe2, it possesses the lowest charge–transfer impedance, the most active sites and the highest TOF. Therefore, it exhibits the best overall HER activity.

a Double-layer capacity current versus scan rate of MoSe2, Mo5Ni1, Mo2Ni1, Mo1Ni1, and Ni3Se4 samples. b Calculated TOFs of pure MoSe2 and Mo2Ni1 samples
Conclusions
A seed-induced solution route has been developed for the synthesis of MoSe2–Ni3Se4 hybrid nanoelectrocatalysts. MoSe2 seeds with a flower-like morphology that is composed by the assembly of ultrathin nanoflakes have been used to induce the growth of Ni3Se4 on the flower petals of MoSe2. The chemical composition of MoSe2–Ni3Se4 hybrid nanoelectrocatalysts can be modulated by adjusting the content of Ni3Se4. It has been observed that the combination of Ni3Se4 with MoSe2 to form a hybrid nanostructure can improve the HER performances of MoSe2. The MoSe2–Ni3Se4 hybrid nanoelectrocatalyst with a Mo:Ni ratio of 2:1 delivers remarkable HER performances that have a small onset overpotential of 140 mV, an overpotential of 201 mV at 10 mA cm−2 and a small Tafel slope of 57 mV dec−1 under acidic condition. The improved conductivity and TOF have also been observed.
Availability of Data and Materials
Not applicable.
Abbreviations
- HER:
-
Hydrogen evolution reaction
- XRD:
-
X-ray diffraction
- TMDs:
-
Transition metal dichalcogenides
- SEM:
-
Scanning electron microscopy
- TEM:
-
Transmission electron microscopy
- SAED:
-
Selected area electron diffraction
- HAADF:
-
High-angle annular dark-field
- XPS:
-
X-ray photoelectron spectroscopy
- EIS:
-
Electrochemical impedance spectroscopy
- TOFs:
-
Turnover frequencies
- R ct :
-
Charge transfer resistance
- C dl :
-
Electrochemical double-layer capacitances
Nanomaterials
- Nanofiber & Filament-Based Nanocarriers: Advancing Precision Drug Delivery
- MoS₂ Films of Precise Thickness Enhance Electrocatalytic Hydrogen Evolution
- Enhanced Photocatalytic Performance of ZnO/In₂O₃ Hybrid Nanostructures via Hydrothermal Synthesis
- Enhanced Lithium‑Ion Battery Anodes: Polypyrrole‑Coated MnO₂ Core–Shell Micromaterials Deliver Superior Cyclic Stability
- Ag3PO4/BiFeO3 Heterojunctions: Superior Visible‑Light Photocatalytic Degradation of Acid Orange 7
- Hierarchical Au@CdS‑CdS Nanoflowers: Stepwise Fabrication and Superior Photocatalytic Performance
- High‑Performance Hydrogen Evolution Catalysis via Nitrogen‑Doped Porous Carbon Nanosheets and Mo₂C Nanoparticles
- Carbon‑Coated Molybdenum Phosphide Nanoparticles: A Low‑Cost Catalyst with 131 mV Overpotential for Alkaline Hydrogen Evolution
- Cobalt Phosphide Nanoparticles: A Robust Electrocatalyst for Sensitive, Enzymeless Hydrogen Peroxide Detection
- Engineered Defects and Dopants in Penta‑Graphene: A Low‑Cost 2D Electrocatalyst for the Hydrogen Evolution Reaction