Hybrid TiO₂ Nanocomposite Coating Achieves 80% Diffuse Reflectance and Suppressed Specular Glare
Abstract
We demonstrate that a hybrid micro‑structured TiO₂ coating can attain exceptional diffuse reflectance by harnessing both surface‑ and bulk‑scattering mechanisms. Conventional diffuse reflectors depend largely on random surface texturing; our numerical and experimental work shows that ordered‑disordered hybrid structures enable efficient diffuse reflection across the visible spectrum. Reflectance rises markedly with coating thickness, while angle‑ and polarization‑dependent specular components are strongly attenuated, highlighting the coating’s potential as a high‑performance diffuse reflector for advanced photonic applications.
Background
Diffuse light scattering from rough surfaces underpins many optical and material science applications, driving phenomena from solar‑cell light trapping to illumination design [1–7]. While surface‑level scattering of randomly textured dielectrics has been widely exploited [8,9], recent studies reveal bulk scattering within inhomogeneous media arising from cross‑correlations between surface roughness and internal heterogeneities [10,11]. This dual‑scattering paradigm offers a richer toolkit for controlling both intensity and polarization of scattered fields [12–15] and integrates seamlessly with plasmonics, nano‑antennas, and metamaterials, enabling novel photonic functionalities [16–18].
Hybrid micro‑structured reflectors have already improved light management in components such as solar cells and displays [19–24]. By redirecting light that would otherwise escape forward, they enhance device performance. Yet most designs rely on random surface textures; whether simultaneous interface and bulk scattering can yield superior results remains an open question.
In this study, we investigate a patterned ellipsoidal TiO₂ nanoparticle assembly that combines interface and bulk scattering. We fabricate several hybrid micro‑structured coatings, evaluate their diffuse reflectance spectra, and validate our findings with finite‑difference time‑domain (FDTD) simulations, revealing a mechanism that suppresses specular reflection and promotes isotropic scattering.
Methods
Preparation of TiO₂ Products
TiO₂ precursors were synthesized by adding 12.5 mL tetrabutyl titanate to a mixture of 50 mL 30 wt% H₂O₂ and 5 mL 26–28 wt% NH₄OH under continuous stirring. Cold distilled water was then introduced to reach a total volume of 200 mL, yielding a saffron‑yellow solution. After filtering to remove undissolved particles, 10 mL of the precursor was transferred to a 50 mL Teflon vessel with 10 mL water and 20 mL absolute ethanol, sealed, and heated at 180 °C for 10 h. The resulting residue was centrifuged, washed with water and ethanol, and dried at 60 °C for 2 h. For anatase nanocrystals, the precursor volume was reduced to 5 mL.
Fabrication of Hybrid TiO₂ Nanocomposite Coating
The coatings were grown on fluorine‑doped tin oxide (FTO) glass by a three‑step process: (1) synthesis of anatase TiO₂ nanocrystals or assemblies via a solvothermal route with varying precursor dosage; (2) deposition of the nanocrystal slurry onto the substrate using a doctor‑blade method while controlling thickness with adhesive tape; and (3) post‑deposition annealing at 450 °C (5 °C min⁻¹) for 30 min.
Characterization
Surface morphology was examined by field‑emission scanning electron microscopy (FE‑SEM, HITACHI S4800) and transmission electron microscopy (TEM, Tecnai F30). X‑ray diffraction (XRD) was performed on a Rigaku D/max‑2500 diffractometer (Cu Kα, λ = 0.1542 nm). Diffuse and polarization‑dependent specular reflectance were measured with an Agilent Cary 5000 spectrophotometer equipped with a 110 mm integrating sphere and variable‑angle accessory.
Results and Discussion
Diffuse Reflectance of Four Microstructured Coatings
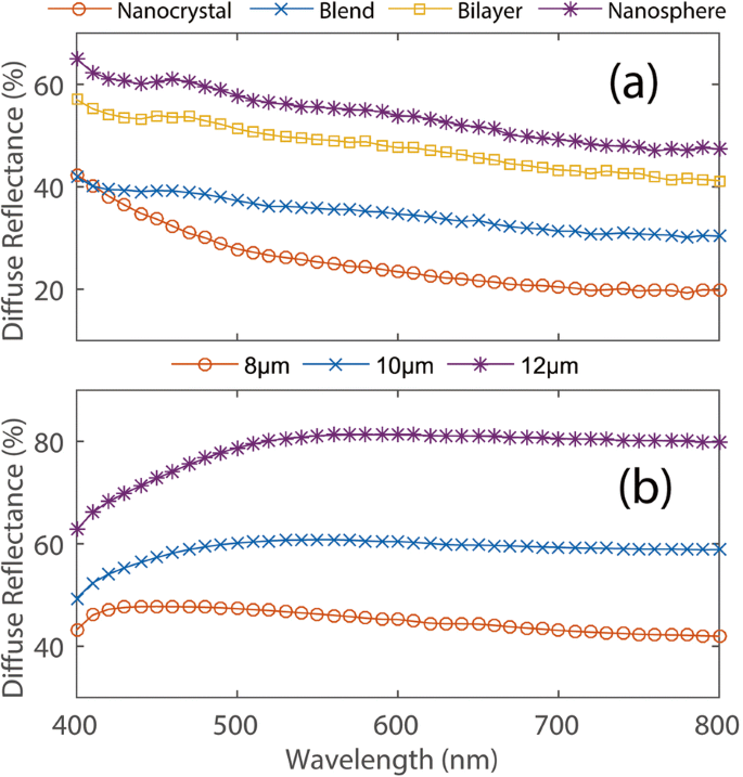
Four coating architectures were fabricated (Fig. 1): pure nanocrystal, blend (equal‑weight mix of ellipsoidal nanocrystals and spheroidal assemblies), bilayer (nanocrystal layer topped with assembly layer), and pure spheroidal assembly (nanosphere). All coatings were ~14 µm thick; the bilayer comprised two ~7 µm sub‑layers. SEM images (Fig. 1a–d) show ellipsoidal nanocrystals (~20 nm) and spheroidal assemblies (~100 nm) arranged into ~100–600 nm spheres with an average diameter of 330 nm (Fig. 3a).

The SEM images of microstructured coatings: a nanocrystal, b blend, c bilayer, d nanosphere. All ~14 µm thick.
Diffuse reflectance spectra (400–800 nm) are presented in Fig. 2a. The blend outperforms the pure nanocrystal, while the bilayer exceeds both, indicating that spheroidal assemblies provide superior scattering. The pure nanosphere coating achieves the highest average reflectance (~55 %) across the visible band, though it dips below 50 % above 700 nm due to weaker scattering of lower‑energy photons by the relatively small unit cells.

a Diffuse reflectance of the four 14 µm coatings. b Optimized nanosphere coatings of 8, 10, and 12 µm thickness.
Increasing the nanocrystal size and coating thickness further boosts reflectance. Optimized 8 µm nanosphere coatings exceed 40 % average reflectance, remaining high across the spectrum. Thicker coatings (12 µm) reach up to 80 % reflectance between 550–800 nm, confirming that bulk scattering within the hybrid structure complements surface scattering to trap and redirect light.
Structural Details of Nanosphere Coatings
SEM and TEM images (Fig. 3b–d) reveal that the 100–600 nm spheres are mesoporous assemblies of multi‑oriented ellipsoidal nanocrystals (~10–30 nm). The spindle‑shaped tips and irregular surfaces enhance scattering efficiency. XRD patterns confirm the anatase phase (JCPDS 21‑1271) with broadened peaks due to size distribution (Fig. 3f).

The a SEM, b SEM, c TEM, d TEM, e HR‑TEM images of the nanosphere coating. f XRD pattern.
Scattering Mechanism via FDTD Simulations
FDTD models replicated the experimental geometry, using ellipsoidal nanocrystals (L = 60 nm, R = 30 nm) assembled into spheres. Simulated electric field maps (600 nm) show uniform scattering and resonance within the assemblies (Fig. 4b). As the number of layers increases, the reflectance improves markedly (Fig. 4c), corroborating the experimental trend that thicker hybrid coatings enhance back‑scattering.

a Schematic of nanosphere assemblies and three‑layer coating. b Electric field distribution. c Calculated diffuse reflectance.
Polarization‑Dependent Specular Reflectance
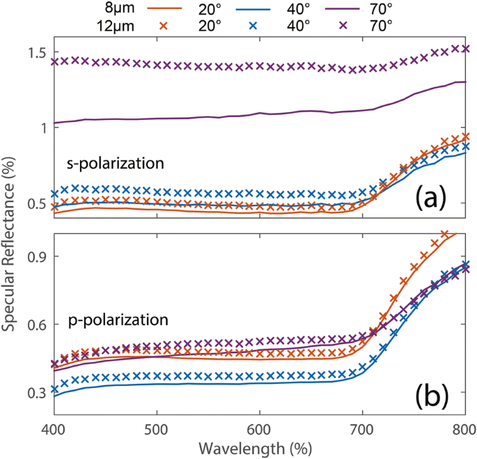
Specular reflectivity for the optimized 8 µm and 12 µm nanosphere coatings remained below 2 % across 400–700 nm, even at oblique incidence, confirming broadband, polarization‑insensitive glare suppression (Fig. 5a–b). Above 700 nm, a modest increase occurs, likely due to surface nanotopography effects on higher‑energy photons. Importantly, the specular reduction bandwidth and amplitude are largely independent of polarization and thickness, highlighting the robustness of the random‑orientation assembly.

Specular reflectance for s‑ (a) and p‑polarized (b) light.
Conclusions
We have introduced a low‑cost solvothermal route to produce hybrid TiO₂ micro‑structured coatings that combine interface and bulk scattering. By tailoring the size of ellipsoidal nanocrystals within mesoporous spheroidal assemblies, we achieved up to 80 % diffuse reflectance from 550 to 800 nm and suppressed specular glare below 1.5 % across 400–800 nm, regardless of angle or polarization. These coatings demonstrate promise for high‑efficiency diffuse reflectors and light‑management layers in solar cells, displays, and other photonic devices.
Abbreviations
- FDTD
Finite difference time domain
Nanomaterials
- Titanium Dioxide (TiO₂) Market Update – Q1 2021 Prices, Supply & Regional Outlook
- Cellulose–POSS–Silica/Gold Core–Shell Hybrid Nanocomposites: One‑Step Sol‑Gel Synthesis and Multifunctional Properties
- Dose‑Dependent Liver, Brain, and Embryonic Toxicity of Titanium Dioxide Nanoparticles in Mice
- Synergistic Reinforcement of Cu/Ti₃SiC₂/C Nanocomposites with Graphene and MWCNTs: Microstructure and Mechanical Performance
- Hierarchical Au@CdS‑CdS Nanoflowers: Stepwise Fabrication and Superior Photocatalytic Performance
- Enhanced Strength and Hardness of Graphene Oxide‑Reinforced Titanium Composites via Hot‑Press Sintering
- Optimized Microstructure and Enhanced Mechanical Properties of Al₂O₃‑Based Nanocarbon Composites via Electrostatic Assembly
- Effect of RF‑ICP Ion Source‑Enhanced Reactive Nitrogen Plasma on Ti‑Al‑N Film Microstructure and Mechanical Properties
- Steel Grading Explained: Chemistry, Properties, and Selection Guide
- Rapid & Safe Titanium Machining for Aerospace with Walter's Xpress Tools