Understanding Filament Density and Length for Accurate 3D Printing
One of the main doubts in the day to day among users of 3D printing is to know the density of the filament that they will use to know how much material they will consume, and therefore how much material they will need to print a piece in 3D. The (absolute) density is a scalar quantity referred to the amount of mass in a given volume of a substance. Usually 3D printing software (Cura, Simplify3D...) allows you to obtain the total filament length that will be used to print the 3D model.
It is at this point that the problem arises because not all manufacturers facilitate the density of filaments. Although, the density is very easy to calculate knowing the filament length of the coil. Here is how to determine the density by knowing the filament length.

Being:
ρ: Density (expressed in g/cm3)
m: Mass (expresed in g)
v: Volume (expressed in cm3)
S: Area (expressed in cm2)
l: Length (expressed in cm)
r: Radius (expressed in cm)
We will always know all the variables except density or length, so knowing one of the two, we can find the other. It should be noted that all filaments have a rounding margin of ± 0.05mm so this also causes a final tolerance in the calculations but is considered negligible.
In the case of not knowing the density and total filament length of the coil, the approximate density can always be calculated from a length of filament of the coil. You should know its mass ("weighing" the piece of filament in a precision scale) and knowing the length of the piece we will be able to obtain the density of that piece of filament that will be extrapolable to the complete coil.
If for example we have a coil of 1 kg of PLA of diameter 1.75 mm and we know that the length of filament of the coil is 335 meters, we can determine the density of the same with the formula mentioned above (equivalence must be taken into account of units).

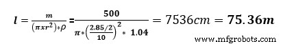
In case of wanting to calculate the length from the density, it would simply clear the previously mentioned formula. By way of example we calculate the length of a coil of 500 g ABS of 2.85 mm of diameter knowing that the density of the same one is of 1.04 g/cm3.

The following graph shows the densities of the main known 3D printing filaments such as PLA, ABS, HiPS, FilaFlex, PP-Polypropylene, PC-Polycarbonate, PETG-Polyethylene, Nylon, Proto-Pasta, advanced materials, etc. As you can see the PP-Polypropylene is the filament with less density so it is suitable for making lightweight pieces, while filaments such as the Proto-Paste of Stainless Steel have one of the highest densities when carrying steel particles to older of the PLA.

3D printing
- How 3D Printing Drives Innovation in Formula One – 5 Key Trends
- FDM 3D Printing: ASA, PETG, and PC Filaments Compared – Expert Guide to Performance & Applications
- 3D Printing & Prototyping at Mar‑Bal: Accelerating Composite Innovation
- Agile Manufacturing & 3D Printing: A Guide to Rapid, Custom Production
- Open‑Source 3D Printing: Empowering Innovation Through Shared Designs
- Srujanamm Merges Artistry with 3D Printing Innovation
- Wood Filament Revolutionizes 3D Printing with Realistic Textures
- PAEK Filaments: High-Performance Materials for 3D Printing
- Mastering Accuracy, Precision, and Tolerance in 3D Printing
- Comparing Metal Filaments: Filamet vs Ultrafuse – Features, Performance, and Use Cases