Mastering Star-Delta (Y–Δ) Conversion: Simplify Electrical Networks
Star to Delta and Delta to Star Transformation – Y-Δ Conversion
In an electrical network, the impedance can be connected in various configurations. The most common of these configurations are either star or delta connected network. To solve complex electrical networks or simplify it, we use the star-delta conversion technique. It replaces any star connected network with its equivalent delta connected network & vice versa. We are going to provide a brief formula derivation for load conversion between star and delta connected load.

Star Delta Conversion
We know the basic of series, parallel or combo of series and parallel connection but Y-Δ is another little bit complex configuration of components. The 3-phase networks have three wires and usually, the networks are connected in star & delta configuration. The 3 phase supply or the load connected in either formation can be converted into its equivalent counterpart. We use such conversion to simplify the mathematical calculations required for circuit analysis of a complex electrical network.

Delta Connected Network
The delta connected network is formed when three network branches or impedances are connected to form a loop in such a way that their heads are connected to the tails of the adjacent branch. The resultant network forms a triangle shape that resembles a Greek letter Delta “Δ” which is why it’s named after it. It is also known as π (pi) network because it resembles the letter after rearranging the branches. Know more about Delta Connection in the previous post.

Star Connected Network
The Star connected network is formed when three branches or impedances are connected together at a common point. The other ends of the branch networks are free. The resultant shape resembles the letter “Y” which is why it is also called “Y” or “Wye” connected network. It is also known as “T” connected network due to its shape after rearranging the network branches. Know more about Star Connection in the previous post.
The circuits given above can be converted using the following transformation. During the transformation, the terminals A, B, C must remain in the same position, only the impedance & their arrangement changes. The following figure illustrates the statement given above.
Delta to Star Conversion
The delta connected network can be transformed into star configuration using a set of electrical formula. Let’s derive the equation for each impedance.
The given figure shows a delta network having A, B, C terminals with the impedances R1, R2, R3. The equivalent star connected network with RA, RB & RC where they are connected to their corresponding terminals as shown in the figure.
As mentioned earlier, the terminals A, B, C remains the same, as well as the impedance between them, must remain the same.
The total impedance between A-B in the delta network;
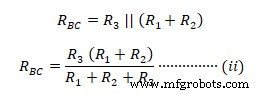
Similarly the impedance between terminals B-C
Similarly the impedance between A-C
According to star network;
RAB = RA + RB
RBC = RB + RC
RAC = RA + RC
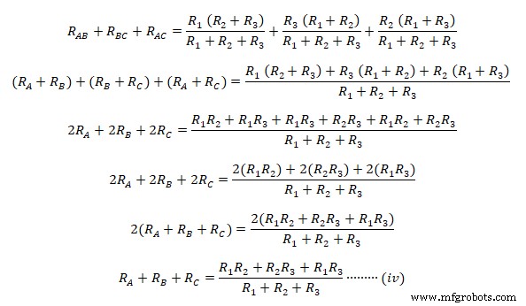
Now adding equation (i), (ii) & (iii) together
Now subtract equation (i), (ii), & (iii) one by one from equation (iv)
First, Subtract (ii) from (iv)
Similarly subtracting (i) & (iii) from (iv) results in
From the derived equations for star-equivalent impedances RA, RB, & RC we can conclude the relation between delta-to-star conversions as; the equivalent star impedance is equal to the product of the adjacent delta impedances with a terminal divide by the sum of all three delta impedances.
In case all three Impedances are same in a delta network, the equivalent star impedance would become
Since all the impedances throughout the delta network are equal, each three equivalent star resistance would be 1/3 times the delta impedance.
Star to Delta Conversion
Now we are going to convert the star connected impedance into delta connected impedance. Let’s derive the equations used for a star to delta conversion.
The given figure shows star connected impedance RA, RB & RC. While the required delta equivalent impedance is R1, R2 & R3 as shown in the figure.
In order to find the equivalent delta resistance, multiply the previous equation (v) & (vi), as well as (vi) & (vii) & (v) & (vii) together.
Multiplying (v) & (vi)
Similarly multiplying (vi) with (vii) & (v) with (vii) 
Now add equation (viii), (ix) & (x) together
In order to get the individual equivalent delta impedance, we divide equation (xi) with (v), (vi) & (vii) separately such as.
Dividing (xi) with (v)
Similarly dividing equation (xi) with (vi) & (vii) separately results in
The relation between star to delta equivalent impedance is clear from the given equation. The sum of the two-product of all star-impedances divide by the star impedance of the corresponding terminal is equal to the delta impedance connected with the opposite terminal.
Simplifying the equations will lead to
In case all the star impedances are equal, the equivalent delta impedance would be;
Using the previous equation,
This equation suggests that each equivalent delta impedance is equal to 3 times the star impedance.

Industrial Technology
- Converting Decimal Numbers to Binary, Octal, and Hexadecimal: A Practical Guide
- Understanding Network Topologies: From Point‑to‑Point to Ring and Star
- Understanding Network Protocols: From Physical Layer to Advanced Arbitration
- Network Analysis Explained: Advanced Techniques for Complex Electrical Circuits
- Δ‑Y and Y‑Δ Conversions: Expert Guide for Circuit Analysis
- Digital Transformation World 2024: 5G Transitions From Hype to Reality
- Digital Network Platforms: A Proven Path to End-to-End Transformation
- Automatic Star-Delta Starter with Timer: 3-Phase AC Motor Power, Control & Wiring Diagram
- Understanding Star and Delta Wiring for Multi‑Storey Lighting Systems
- Seamless 3‑Phase Motor Star‑Delta Control: Manual Reverse & Forward Operation