Perpendicular Magnetic Anisotropy and Hydrogen‑Induced Magnetization Modulation in Ta/Pd/CoFeMnSi/MgO/Pd Multilayers
Abstract
We report that a Ta/Pd/CoFeMnSi (CFMS)/MgO/Pd multilayer stack exhibits robust perpendicular magnetic anisotropy (PMA). By annealing at 300 °C the effective anisotropy constant reaches Keff = 5.6×105 erg cm−3 (5.6×104 J m−3). In addition, the magnetic state of the film is highly responsive to hydrogen: under a weak external field (<30 Oe) the residual magnetization drops from 123.15 to 30.75 emu cm−3 when the ambient hydrogen concentration rises to 5 %. These findings establish the stack as both a high‑performance PMA material and a sensitive hydrogen‑sensing platform.
Background
Hydrogen (H2) is rapidly emerging as a clean, high‑energy‑density fuel, yet its safe handling demands reliable detection technologies. Conventional solid‑state conductometric sensors lack chemical selectivity and are hindered by humidity interference [1]. Magnetic sensors, particularly those incorporating palladium (Pd), have proven highly selective and sensitive to H2 owing to Pd’s catalytic dissociation of hydrogen and the resultant lattice expansion [2,3,4].
In Pd‑rich ferromagnetic alloys and Pd/ferromagnet (FM) multilayers—such as Co17Pd83, Pd/Fe, [Co/Pd]12, and Pd/Co/Pd—hydrogen absorption induces measurable magnetic changes by expanding the Pd lattice by 2–3 % [5–7]. This strain alters the interfacial d‑d orbital hybridization that governs perpendicular magnetic anisotropy (PMA). Because the interfacial strain is highly sensitive to hydrogen loading, PMA‑based films with Pd layers present a promising route to ultra‑sensitive hydrogen detection.
Perpendicular anisotropy in FM/Noble‑Metal or FM/Oxide interfaces arises from d‑d or d‑p hybridization and is strongly modulated by interfacial strain [8–12]. The quaternary Heusler alloy CoFeMnSi (CFMS) is a spin‑gapless semiconductor (SGS) that shows pronounced external‑field sensitivity, positioning it as an attractive FM layer for sensor applications [13–16]. Here, we engineered a Ta/Pd/CFMS/MgO/Pd structure to achieve strong PMA and investigate hydrogen‑induced magnetic modulation, leveraging the interfacial strain sensitivity of both the Pd/CFMS and CFMS/MgO interfaces.
Methods
Four film stacks were deposited on Si substrates by magnetron sputtering under a base pressure <2.6×10−5 Pa. The stacks were: (i) Ta (6 nm)/Pd (2.4 nm)/CFMS (2.3 nm)/MgO (tMgO)/Pd (2 nm) (0.9–1.5 nm); (ii) Ta (6 nm)/Pd (2.4 nm)/CFMS (tCFMS)/MgO (1.3 nm)/Pd (2 nm) (1.9–3.1 nm); (iii) Ta (6 nm)/Pd (2.4 nm)/CFMS (2.3 nm)/Pd (2 nm); and (iv) Ta (6 nm)/CFMS (2.3 nm)/MgO (1.3 nm)/Pd (2 nm). CFMS was sputtered at 0.9 Pa Ar, 40 W DC; MgO at 0.2 Pa Ar, 150 W RF; Ta at 0.3 Pa Ar, 50 W DC; Pd at 0.3 Pa Ar, 25 W DC. Post‑deposition anneals (250–450 °C, 30 min, <10−4 Pa) optimized interfacial ordering.
Magnetometry was performed with a Lakeshore 7404 VSM at room temperature. Hall resistivity under dynamic H2 loading was measured with an ET9000 system. Hydrogen concentrations (0–5 %) were controlled by mixing H2/Ar (5:95) and N2 streams at a total flow of 3.5 L min−1.
Results and Discussion
MgO thickness and PMA – Figure 1 shows M–H loops for Ta/Pd/CFMS/MgO/Pd films annealed at 300 °C. All samples display strong out‑of‑plane easy axes; the anisotropy peaks at tMgO = 1.3 nm, achieving a loop squareness (Mr/Ms) ≈ 1. Excessively thin or thick MgO reduces Co–O bonding and weakens PMA, consistent with previous reports [11,12].

In‑plane (a) and out‑of‑plane (b–d) M–H loops for varying tMgO at 300 °C.
Annealing temperature – Figure 2 demonstrates that the as‑deposited film exhibits in‑plane anisotropy (IMA). Annealing at 300 °C induces PMA; this anisotropy persists up to 350 °C but degrades beyond 400 °C due to interdiffusion that disrupts d‑d hybridization [9,12,17,18].

In‑plane and out‑of‑plane loops for varying annealing temperatures.
Interface contributions – Figure 3 compares stacks lacking MgO or Pd. Removing MgO eliminates PMA; omitting the bottom Pd weakens it, confirming that both Pd/CFMS and CFMS/MgO interfaces are essential, with the latter providing the dominant contribution through optimal Co–O bonding [12,17].

M–H loops for (a) Ta/Pd/CFMS/Pd, (b) Ta/CFMS/MgO/Pd, and (c) Ta/Pd/CFMS/MgO/Pd at 300 °C. (d) Keff×tCFMS vs. tCFMS at various anneals.
From Eq. (1), the effective anisotropy is quantified. The largest Keff (5.6×105 erg cm−3) occurs for tCFMS = 2.3 nm, confirming the strong interfacial contribution.
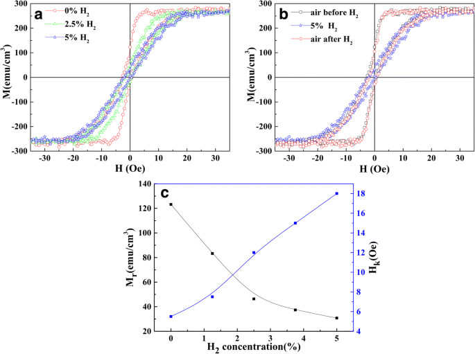
Hydrogen‑induced magnetic modulation – Under 5 % H2, the out‑of‑plane loop shifts, increasing the saturation field from 5.5 to 18 Oe and reducing Mr by 75 % (Fig. 4). The effect is reversible: removal of H2 restores the original loop, indicating that hydrogen absorption in Pd introduces tensile strain that modulates the CFMS magnetization. Hall resistivity measurements (Fig. 5) show a faster rise during H2 uptake than during desorption, reflecting the interfacial strain dynamics.

Out‑of‑plane M–H loops under H2 (a), after H2 removal (b), and the dependence of Mr and Hk on H2 concentration (c).

Time evolution of Hall resistivity during H2 absorption and desorption.
Conclusions
We have demonstrated that Ta/Pd/CFMS/MgO/Pd multilayers, when annealed at 300 °C, exhibit exceptional PMA with Keff = 5.6×105 erg cm−3 and near‑unity loop squareness for tCFMS = 2.3 nm and tMgO = 1.3 nm. The films are highly responsive to hydrogen: a 5 % H2 environment reduces residual magnetization by 75 % while increasing the saturation field by a factor of ~3. The reversible magnetic response, driven by Pd‑mediated lattice expansion and resultant interfacial strain, establishes this system as a promising platform for high‑sensitivity hydrogen sensing.
Abbreviations
- CFMS
CoFeMnSi
- IMA
In‑plane magnetic anisotropy
- PMA
Perpendicular magnetic anisotropy
Nanomaterials
- Cobalt‑Doped FeMn₂O₄ Spinel Nanoparticles: Size‑Controlled Synthesis and Magnetic Behavior
- Tuning Electronic and Optical Anisotropy in Monolayer GaS via Vertical Electric Fields
- Optimizing Pd/SnO₂ Nanomaterial Synthesis for High‑Performance Hydrogen Gas Sensors
- Structural, Electronic, and Magnetic Characterization of Ag<sub>n</sub>V (n = 1–12) Clusters via DFT and CALYPSO Search
- Rapid One‑Pot Synthesis of Monodisperse CoFe₂O₄@Ag Core–Shell Nanoparticles with Exceptional Plasmonic and Magnetic Properties
- Fabrication and Magnetic Behavior of Nd/Ferromagnet/PA66 Three-Layer Coaxial Nanocables
- Amorphous Nanoparticle Ferrofluids: Magnetoviscous Behavior & Hyperthermia Performance
- Defect‑Driven Magnetism and Strain Engineering in Monolayer WSe2: A DFT Study
- Bibliometric Trends in Drug Delivery and Magnetic Nanoparticles (1980‑2017)
- Influence of Anisotropy and In‑Plane Grain Boundaries on Cu/Pd Multilayer Films with Cube‑on‑Cube and Twinned Interfaces