Industrial manufacturing
Industrial Internet of Things | Industrial materials | Equipment Maintenance and Repair | Industrial programming |
home  MfgRobots >> Industrial manufacturing >  >> Industrial materials >> Nanomaterials

Unusual Short‑Wavelength Mode Hops in High‑Power DBR Quantum Cascade Lasers

Abstract

We report unexpected short‑wavelength mode hops in distributed Bragg reflector (DBR) quantum cascade lasers (QCLs) emitting near 7.6 µm. Two‑section devices—gain and unpumped Bragg section—deliver >0.6 W CW output at room temperature. Contrary to the conventional long‑wavelength drift with rising temperature or injection current, the lasing mode occasionally jumps to a shorter wavelength. Modal analysis shows that temperature‑induced refractive‑index changes shift the longitudinal modes faster than the Bragg peak, leading to the observed transitions.

Introduction

Quantum cascade lasers differ from conventional semiconductor lasers by operating on inter‑subband transitions within the conduction band, enabling mid‑ to far‑infrared emission. Their broad spectral coverage makes them indispensable for gas sensing, high‑resolution spectroscopy, and industrial monitoring. However, many applications require a narrow linewidth and high output power. Distributed feedback (DFB) and external cavity (EC) QCLs typically provide single‑mode operation but are limited to ~100 mW output and narrow tuning ranges. A distributed Bragg reflector (DBR) QCL offers a compact platform for high‑power, single‑mode emission, yet detailed spectral behavior has been underexplored. Here, we present DBR QCLs and investigate anomalous mode hopping in depth.

Methods

The DBR grating was defined via double‑beam holographic interferometry. The device comprises a gain section (LG), a DBR section (LDBR), and a current‑isolation groove. The QCL core was grown on n‑InP by solid‑source MBE, using 50 strain‑compensated In0.58Ga0.42As/In0.47Al0.53As quantum wells (see thickness sequence in the source). A 100‑nm SiO2 layer was deposited over the upper confinement layer; the DBR region was etched to a depth of ~130 nm, followed by SiO2 removal. The top waveguide was regrown by MOVPE, yielding a 3 µm upper InP cladding, a 0.15 µm graded‑doped InP layer, and a 0.85 µm highly doped InP contact layer. The wafer was processed into a double‑channel ridge waveguide (core width ≈10 µm) with semi‑insulating InP:Fe for thermal and electrical isolation. A 200‑µm current‑isolation groove (depth 1.1 µm) separated the gain and DBR sections. After SiO2 insulation, Ti/Au contacts were deposited and a 5‑µm Au layer electroplated for heat sinking. Devices (6 mm long) were cleaved to 4.3 mm gain, 1.5 mm DBR, and 0.2 mm isolation regions, then soldered epilayer‑side down onto a diamond heat sink and copper mount.

Unusual Short‑Wavelength Mode Hops in High‑Power DBR Quantum Cascade LasersScheme of a DBR QCL: gain section LG, DBR section LDBR, and isolation gap.

Results and Discussion

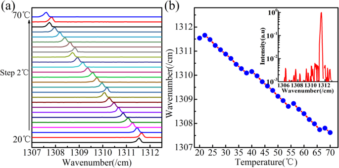
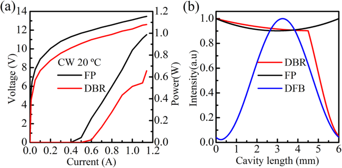
Emission spectra were recorded with a Fourier transform infrared spectrometer (0.125 cm−1 resolution). P–I–V characteristics were measured with a calibrated thermopile detector. The laser was mounted on a holder equipped with a thermistor and thermoelectric cooler to control the sub‑mount temperature. Figure 2a shows the CW spectra at 1.005 Ith while the heat‑sink temperature was varied from 20 °C to 70 °C in 2 °C steps. The inset of Figure 2b plots the 24 °C spectrum on a logarithmic scale, revealing a side‑mode suppression ratio (SMSR) of ≈25 dB. Unlike conventional DFB QCLs, which shift to longer wavelengths linearly with temperature or current, our DBR devices exhibit anomalous short‑wavelength mode hops as temperature rises. To explain this, we examined the mode‑selection mechanism. Figure 3a displays the measured wafer gain curve and the calculated Bragg reflection profile (98 % reflectivity for a 1.5‑mm grating). The schematic in Figure 3b shows how the gain, Bragg peak, and longitudinal modes shift with temperature. The gain peak moves at −0.581 cm−1 K−1, while the Bragg peak shifts at −0.128 cm−1 K−1. Because the Bragg peak remains on the shorter‑wavelength side of the gain, the longitudinal modes, which follow the refractive index change, eventually move faster than the Bragg peak, forcing a mode hop to the next available longitudinal mode. This explains the observed anomalous hops. The longitudinal mode spacing was calculated from the effective cavity length: Leff = (1/2κ) tanh(κLDBR), where κ = (1/Λ)(Δn̄/n̄). For a 1.5‑mm physical DBR, Leff ≈0.291 mm, yielding a theoretical spacing of 0.328 cm−1, in excellent agreement with the experimental 0.12 cm−1 intervals observed. Figure 5 illustrates the same phenomenon with increasing injection current. The first anomalous hop spans 0.904 cm−1 (crossing three modes), followed by a 0.301 cm−1 hop. The P–I curve shows clear discontinuities at each hop, a behavior absent in standard DFB QCLs. Figure 6 compares the DBR laser with a 4 mm Fabry–Perot (FP) laser. The FP reaches 987 mW, while the DBR achieves 656 mW at 20 °C and 235 mW at 70 °C, the highest reported single‑mode power for long‑wave IR QCLs. Simulated optical field distributions (Figure 6b) reveal that the DBR maintains high intensity in the gain section while rapidly attenuating in the DBR, allowing long‑cavity operation without over‑coupling—an advantage over DFB lasers.

Unusual Short‑Wavelength Mode Hops in High‑Power DBR Quantum Cascade LasersEmission spectra (a) and wavenumber vs temperature (b) of the DBR QCL. Inset: 24 °C spectrum (log scale).
Unusual Short‑Wavelength Mode Hops in High‑Power DBR Quantum Cascade LasersMeasured wafer gain curve and calculated Bragg reflection (a); schematic of mode selection (b).
Unusual Short‑Wavelength Mode Hops in High‑Power DBR Quantum Cascade LasersEffective DBR length vs physical length (a); effective length vs physical length (b).
Unusual Short‑Wavelength Mode Hops in High‑Power DBR Quantum Cascade LasersEmission spectrum vs current (a); wavenumber vs temperature (b) and P–I curve (b).
Unusual Short‑Wavelength Mode Hops in High‑Power DBR Quantum Cascade LasersPower–current–voltage curves: DBR (red) vs FP (black) (a); simulated field distributions for DBR, FP, DFB (b).

Conclusions

We have demonstrated high‑power DBR QCLs with >0.6 W CW output at room temperature. Detailed analysis of anomalous short‑wavelength mode hops provides insight into the mode‑selection dynamics of DBR devices. The DBR architecture enables long‑cavity, single‑mode operation with superior power extraction, positioning it as a promising platform for high‑power mid‑infrared laser applications.

Availability of Data and Materials

All data are fully available without restriction.

Abbreviations

CW
Continuous wave
DBR
Distributed Bragg reflector
DFB
Distributed feedback
EC
External cavity
FP
Fabry–Perot
MBE
Molecular beam epitaxy
MOVPE
Metal‑organic vapor phase epitaxy
P–I–V
Power–current–voltage
QCL
Quantum cascade laser
SMSR
Side‑mode suppression ratio

Nanomaterials

  1. Ultra‑Low Power Substrate‑Emitting DFB Quantum Cascade Laser: 0.43 W Threshold at 25 °C
  2. Eliminating Bimodal Size in InAs/GaAs Quantum Dots for 1.3‑µm Quantum Dot Lasers
  3. Quantum Anomalous Hall Effect in Ti/Zr/Hf–Bi/Sb Honeycomb Monolayers: First‑Principles Prediction
  4. Stable Single‑Mode DFB Quantum Cascade Laser at 4.76 µm Using Optimized Facet Reflectivity Coatings
  5. High‑Power Tapered Quantum Cascade Laser Arrays with Talbot Cavity Integration
  6. Fast Swept‑Wavelength, Low‑Threshold Continuous‑Wave EC‑QCL with 135 cm⁻¹ Tuning Range and <0.2 cm⁻¹ Resolution
  7. High‑Power, Low‑Threshold, Stable Single‑Mode Operation in a Buried‑Sampled‑Grating Quantum Cascade Laser
  8. Interface Roughness Scattering: Key Determinant of GaN Terahertz Quantum Cascade Laser Performance
  9. Graphene Paper Substrates Deliver Ultra-Lightweight, High Power-Density Silicon Solar Cells
  10. Significant Enhancement of Single‑Photon Emission via Optimized Coupling of InAs/GaAs Quantum Dot to Micropillar Cavity