Co‑Doped 3d–4f Metal Polyoxometalates: Controlled Synthesis, Morphology, and Photoluminescence Properties
Abstract
It is challenging to explore and prepare polyoxometalates-based nanomaterials (PNMs) with controllable morphologies and diversiform components. Herein, 3d–4f metals are introduced into isopolyoxometalates and Anderson-type polyoxometalates, CeCdW12 nanoflower and EuCrMo6 microflaky have been fabricated respectively. A series of control experiments are carried out to identify the impact factors on the rare morphologies in PNMs. Furthermore, upon excitation at 396 nm, the emission spectrum of EuCrMo6 displays five prominent f − f emitting peaks at 674, 685, 690, 707, and 734 nm that are assigned to Eu3+ 5D0 → 7FJ (J = 0, 1, 2, 3, 4) transitions. Meanwhile, the VSM results show that the Cr+3 ions in EuCrMo6 display anti-ferromagnetic interactions when the temperature is lower than − 17.54 K. After rising temperature, this material exhibits paramagnetic property. This work opens up strategies toward the brand new morphologies and components of PNMs, endowing this kind of material with new functions.
Introduction
Due to the intriguing structures and diverse properties, POMs have a wide range of applications in catalysis, magnetism, medicine, and materials science [1,2,3,4,5,6,7]. As a special branch, PNMs have many advantages in contrast with traditional single-crystal compounds. For example, the size, morphology and chemical composition of PNMs can be easily tuned by modern nanosynthesis technology [8, 9]. Therefore, the research of PNMs have been gradually attracted much attention, and various PNMs with diverse morphologies and properties have been reported until now [10,11,12]. In 2012, Liu’s group found polyoxoanions with high solubility in water and/or other polar solvents demonstrate unique solution behavior by self-assembling into single layer, hollow, spherical blackberry structures [13]. After that, star-shaped Keggin-type heteropolytungstate was obtained as catalyst for preparing quinoline derivatives [14]. From then on, Chattopadhyay’s and co-workers discovered the Dexter-Silverton type molybdenum tungstate of hollow microspheres [15]. For the past years, ours group has been working on the control-synthesis and functionalization of POM-based nano/micromaterials by chemical precipitation or hydrothermal methods [16,17,18]. In particular, we found that the morphology and photoluminescence properties of CeF3 nanocrystals can be finely tuned by doping different amount/type of POMs [19].
POMs containing 3d–4f metals display remarkable magnetic, catalytic, and optical properties, which endow them with wide range of applications [20, 21]. For example, unprecedented structures based on monovacant POMs capped by heterometallic 3d–4f {LnCu3(OH)3O} (Ln = La, Gd, Eu) cubane fragments were characterized and their magnetic properties were also investigated [22]. Powell et al. addressed a giant 3d–4f tetrahedral heterometallic POM, which showed single-molecule magnet behavior in 2015 [23]. One year later, a series of organic–inorganic hybrid POMs constructed from 3d–4f heterometallic sandwiched polyoxotungstate dimers were isolated. X-ray single-crystal diffraction reveals that these compounds exhibited supramolecular nanotube structures [24].
It can be seen from these literatures that the study of 3d–4f POM mainly focuses on traditional single-crystal compounds, and the research on 3d–4f PNMs is still rare. Therefore, introducing 3d–4f metals into PNMs to synthesize new materials with novel morphologies and special properties has become one of our research objectives. Furthermore, most of the reported PNMs are based on Keggin type heteropolyoxometalates. Isopolyoxometalates and Anderson-type POMs are seldom used as building blocks to construct PNMs. From these perspectives, how to construct isopolyoxometalates or Anderson-type POM-based 3d–4f PNMs become the focus of our research. In this report, Na2WO4·2H2O, Na2MoO4·2H2O and other simple substances as starting materials were employed to synthesize 3d–4f PNMs. Fortunately, two novel 3d–4f PNMs named CeCdW12 and EuCrMo6 were obtained by chemical precipitation method. It is worth to note that these materials are built on isopolyoxometalates sodium paratungstate and Anderson type [CrMo6O24H6]3–, respectively. Moreover, CeCdW12 and EuCrMo6 exhibit uniform flower-like and flaky morphologies, which are both rarely found in PNM chemistry. These peculiar morphologies attract our interest and a series of control experiments are carried out to explore regular phenomena. Finally, according to the composition of these materials, photoluminescence and magnetic properties of CeCdW12 and EuCrMo6 are investigated. The strategy demonstrated in this work could be applied to prepare novel PNMs with various morphologies or compositions. Following, it could provide a potential method to separate multifunctional PNMs for optoelectronic devices, high-density magnetic memories and so on.
Methods
All chemicals were reagent-grade and used without further purification. Na6[H2W12O40] was synthesized according to ref. 25 identified by IR spectrum. The XRD of CeCdW12 nanoflowers and EuCrMo6 microflakes were obtained on a Bruker D8 Advance instrument with Cu Kα radiation (λ = 1.5418 Å) in the 2θ range from 10° to 80° and 10° to 40°, respectively. The SEM image and EDX spectrum were identified by a JSM-7610F scanning electron microscopy with an acceleration voltage of 10 kV. IR spectra were recorded on an Avatar 360 Fourier transform infrared (FTIR) spectrophotometer using KBr pellets in the range of 4000–450 cm−1. The X-ray photoelectron spectra (XPS) were collected using a PHI 5000 VersaProbe (U1VAC-PHI). Inductively coupled plasma optical emission spectroscopy (ICP-AES) experiments were performed on a Perkin-Elmer Optima 2100DV optical emission spectrometer. Electrospray ionization mass spectrometry (ESI-MS) routine spectra were carried out with a Bruker MTQ III-QTOF. The experiments were performed with the negative ion mode in acetonitrile solvent by direct infusion with a syringe pump with a flow rate of 5 μL min−1. The PL spectra were collected by a Hitachi F-7000 fluorescence spectrophotometer. The PL lifetime was performed on an Edinburgh Instruments FLS980 spectrophotometer.
Synthesis of CeCdW12 Nanoflowers
Na2WO4·2H2O (3.00 g, 9.10 mmol) was dissolved in 30 mL of distilled water, the solution was heated to 80 °C, stirred and boric acid (0.10 g, 1.62 mmol) was added to the solution. And then, the system pH was adjusted to 7 with dilute HCl. After that, a small amount of an aqueous solution containing CdCl2·2.5H2O (0.46 g, 2.00 mmol) and Ce(NO3)3·6H2O (0.87 g, 2.00 mmol) was slowly added dropwise, and if a precipitate formed, it was completely dissolved and then added to the next drop. After the completion of the dropwise addition, the system pH was adjusted to 6 with dilute HCl. Stirring was continued at this temperature for another half an hour. Finally, saturated KCl solution was added dropwise in order to form light yellow precipitation. Then, CeCdW12 nanoflowers was collected by centrifuge and washed with water and ethanol to removed excess regents.
Synthesis of Na3[CrMo6O24H6]·8H2O
Na3[CrMo6O24H6]·8H2O was prepared according to the previous literature [26]. In the typical method, Na2MoO4·2H2O (14.50 g, 0.06 mol) was dissolved in 30 mL distilled water and the pH was adjusted to 4.5. Then 4 mL of solution containing Cr(NO3)3·9H2O (4.00 g, 0.01 mol) was added and the mixture was boiled for 1 min. Following, the solution was filtered while hot, next, saturated KCl solution was dripped into the filtrate slowly to give precipitate. Finally, the solid product was collected by centrifuge and washed with water and ethanol to removed excess regents.
Synthesis of EuCrMo6 Microflakes
Na3[CrMo6O24H6]·8H2O (0.12 g, 0.10 mmol) was dissolved in 20 mL distilled water. The solution was heated to 60 °C, and 5 mL solution containing Eu(NO3)3·6H2O (0.09 g, 0.20 mmol) was added dropwise. The mixed solution was heated at 60 °C for another 40 min and filtered after cooling to room temperature. Take the filtrate and add NH4Cl solution (6.92 mol/L) was dropwise to give the precipitate. Then, the homogeneous mixture was stirred for another 6 h. Finally, the white solid product of EuCrMo6 microflakes was collected by centrifuge and washed with water and ethanol to removed excess regents.
Results and Discussion
In the past 10 years, due to the excellent properties, POM-based nano/micromaterials have been attracted wide attention in various fields. Numerous materials have been addressed with different morphologies (Scheme 1). However, compared to traditional single-crystal POM compounds, there are many merits problem need to depth study. On the one hand, the building blocks of PNMs are almost saturate Keggin type POMs. Many other POMs are seldom used to prepare PNMs, such as Anderson type, Waugh type, Silverton type, Dawson type, Standberg type and Weakely type. On the other hand, isopolyoxometalates are also rarely employed as starting materials or building blocks to introduce into PNMs. Finally, the reported PNMs are only containing transition metals, rare-earth ions are rarely used. Based on these perspectives, we used the isopolytungstate and Anderson type molybdate which were seldom employed to combine with 3d–4f cations in this work (Scheme 2). Fortunately, two new PNMs with novel morphologies have been isolated by using chemical precipitation method (Scheme 3), and their fluorescence and magnetism properties have been also investigated in this paper.

Summary of some typical micro- or nanomorphologies of POM from 2011 to 2020

3d–4f cations introduced CeCdW12 nanoflowers and EuCrMo6 microflakes

Synthetic strategy of two 3d–4f metals doped PNMs
At the beginning of this work, the different morphologies which have been formed during the experimental process raised our concerns. These phenomena might be impacted by different synthetic procedures. In order to figure out the impact factors of the morphologies, a series of control experiments have been carried out. CeCdW12 nanoflowers have been taken for example. First of all, considering the influence of the rare earth metals on the morphology of products, only Cd2+ cations were utilized, under the same conditions. Beyond our expectation, CdW12 nanoflowers were obtained (Fig. 1), from which it could be seen it is composed of flower-like morphology in nanosize. Thus, these evidences indicate that the absence of Ce3+ cations does not affect the morphology of this material. On the contrary, Cd2+ cations may play an important role in the formation of flower-like morphology.

SEM images of CdW12 nanoflowers
In this case, other control experiments were carried out to explore this system. Under similar approach to CeCdW12 nanoflowers, only the amount of CdCl2·2.5H2O was changed from 0.5 to 3.5 mmol. As depicted in Fig. 2, the SEM images exhibit different results obviously. When the dosage of CdCl2·2.5H2O were less than 2 mmol, porous bulks were formed. However, these architectures were not continued to evolve to nanoflowers. Furthermore, when the usage of CdCl2·2.5H2O were increased to more than 3 mmol, different situations were observed. Although monodispersed nanoflowers were prepared, abundant amorphous powders were appeared simultaneously. Therefore, these evidences prove that appropriate amounts of Cd2+ cations would help this material to assemble into nanoflower morphology. Otherwise, the self-aggregation of the novel morphology could be obstructed under excess Cd2+ cations.

SEM images of CeCdW12 nanoflowers which were prepared using different amount of CdCl2·2.5H2O (a 0.5 mmol; b 1.0 mmol; c 3 mmol; d 3.5 mmol)
Suitable pH value might be an important condition for the crystallization of CeCdW12 nanoflowers. In order to verify these hypotheses, the other control experiments were tried out. Under the methods which were similar to CeCdW12 nanoflowers, the pH values were adjusted to 2, 3, 4 and 7 before adding precipitant KCl. The results are shown in Fig. 3, the morphologies of CeCdW12 are changed apparently. When the pH values are lower than 5, irregular shapes could be observed, even some nanorods are observed in Fig. 3b. With the increase in pH value, flower-like morphology could be formed. These evidences indicate that strong acid condition is not suitable for the growth of CeCdW12 nanoflowers.

SEM images of CeCdW12 nanoflowers which prepared under different pH values (the pH values from a to d is 2, 3, 4 and 7, respectively)
IR Spectra
IR spectra of sodium metatungstate Na6[H2W12O40] (refer as ‘W12’ for short), CeCdW12 nanoflowers, Na3[CrMo6O24H6] (refer as ‘CrMo6’ for short) and EuCrMo6 microflakes were recorded between 450 and 4000 cm−1 with KBr pellet (Fig. 4a), which is very useful for the identification of characteristic vibration bands of POMs in products. Firstly, IR spectrum of CeCdW12 nanoflowers exhibits characteristic vibration absorption bands of the metatungstate polyoxoanion. The bands at 654 cm−1, 823 cm−1 and 917 cm−1 for CeCdW12 nanoflowers are attributed to the vibration of the ν(W–O) bonds [25]. Secondly, IR spectra of Na3[CrMo6O24H6] and EuCrMo6 microflakes were also observed between 450 and 4000 cm−1 (Fig. 4b). The EuCrMo6 microflakes could be identified by two strong characteristic IR bands appearing at 1086 cm−1 (Cr–O), 904 cm−1 (Mo = O) and 834 cm−1 (Mo-Ob-Mo), which is in accordance with the bulk Na3[CrMo6O24H6] [27]. These results indicate the building blocks of CeCdW12 nanoflowers and EuCrMo6 microflakes are isopolyoxometalates [H2W12O40]6– and Anderson type [CrMo6O24H6]3–, respectively.

a IR spectra of CeCdW12 nanoflowers and b EuCrMo6 microflakes
XRD Patterns
The as-prepared CeCdW12 nanoflowers, EuCrMo6 microflakes and their precursors were characterized by XRD. As can be seen from Fig. 5a, the main peaks of CeCdW12 nanoflowers at 25.9°, 33.2°, 36.3° and 50.3° in the range of 20°–55° can be readily indexed to the sodium metatungstate Na6[H2W12O40]. The results reveal that the CeCdW12 nanoflowers are constructed from metatungstate polyanions. In addition, the main peaks of EuCrMo6 microflakes at 17.0°, 17.6°, 28.7° and 32.4° can be readily indexed to the Na3[CrMo6O24H6] (Fig. 5b). According to the standard cards of Na3[CrMo6O24H6]·8H2O (pdf no. 740596), EuCrMo6 microflakes exhibit primitive structure and the above-mentioned 2θ peaks are attributed to (101), (121), (311) and (012) crystal planes, respectively. The results reveal that the structure of Anderson-type POM is preserved in the final product.

XRD patterns of CeCdW12 nanoflowers and EuCrMo6 microflakes
SEM Images
Figure 6 shows a typical SEM micrograph of CeCdW12 nanoflowers which are characterized using silicon wafer as a substrate. As can be seen from the images, this material exhibit uniform and monodisperse nanoflower morphology. According to the statistical 100 particles, the average diameter of these nanoflowers is about 177 nm. Under high resolution observation, the thickness of the nanosheet is ca. 15.78 nm. To the best of our knowledge, this kind of peculiar morphology is quite rare in the research filed of PNMs. Last year, CeF3 nanoflowers have been prepared by using POMs as dopants in our group. Interestingly, the CeCdW12 nanoflowers are very different from our previous work. Firstly, the particle size of CeCdW12 nanoflowers (177 nm) is much smaller than POM/CeF3 (630 nm). Secondly, CeCdW12 nanoflowers are built by almost disordered nanosheets rather than orderly stacking. Finally, the major component of CeCdW12 nanoflowers is POM, this is also markedly different from the nanoflowers of rare earth fluorides.

SEM images of CeCdW12 nanoflowers (inset: size distribution)
In order to identify the components of the CeCdW12 nanoflowers, the corresponding element mappings and EDX were investigated (Fig. 7). In these tests, the sample was prepared using silicon wafer as a substrate. The analyses evidently prove the presence of Ce, Cd and W components and the content of tungstate is much more than 3d–4f metals. Meanwhile, the element mappings of Ce and Cd show homogeneous distribution in this nanocomposite, indicating the chemical precipitation process is suitable for doping two different metals.

Corresponding element mappings and EDX of CeCdW12 nanoflowers
Figure 8 shows a typical SEM micrograph of the EuCrMo6 microflakes. From the SEM images, uniform flakes can be observed clearly in microsize. Each flake reveals a regular dimetric shape with the ca. 2.76 µm side length. From the literatures known so far, Keggin type POMs are always employed as building blocks to construct PNMs. Various POMs with different structures or components are seldom used in this research field. In this work, Anderson-type POM CrMo6 is used, hoping to generate new results. Fortunately, a rare flake-like PNMs is separated during this work. Therefore, it is expected to prepare more PNMs with interesting morphologies and properties by using diversified POM precursors.

SEM images of EuCrMo6 microflakes
Element mappings and EDX analysis for the microflakes was also recorded, which clearly exhibits the corresponding components of EuCrMo6 (Fig. 9). The analysis evidently proves the presence of Eu, Cr and Mo components. Meanwhile, the element mapping of Eu, Mo and Cr shows a homogeneous distribution in this composite.

Corresponding element mappings and EDX of EuCrMo6 microflakes
ICP-AES Results
Moreover, in order to accurately specify the contents of 3d–4f metals in each sample. ICP-AES experiments were performed on a Perkin-Elmer Optima 2100DV optical emission spectrometer to estimate the contents of Eu, Cr, Mo in EuCrMo6 and Ce, Cd, W in CeCdW12. In the first place, the results confirm the compositions of these materials, each sample contains 3d–4f metals. In the second place, it is worth pointing out that ICP-AES results are consistent with EDX results (Additional file 1: Fig. S1). In particular, these data could be used to conclude the atomic ratio of these materials. Integrating the results of IR, XRD, EDX and ICP-AES, the formulas K6[Ce(NO3)3]3.5CdCl2[H2W12O40]·19H2O and (NH4)3 [Eu(NO3)3]0.005[CrMo6O24H6]·11H2O is established for CeCdW12 nanoflowers and EuCrMo6 microflakes, respectively.
XPS spectra.
The CeCdW12 nanoflowers were also characterized by XPS. Using a Shirley background subtraction, the fitting curves are shown in Fig. 10. The Ce3d shows a series of obvious signals in XPS spectrum. In particular, the strong satellites centered at 904.8 eV and 886.0 eV indicate the existence of Ce3+ ions [8]. The Cd3d spectrum exhibits two strong fitted peaks centered at 405.2 eV and 411.9 eV, proving the presence of Cd2+ ions [19]. The W4f spectrum exhibits two strong fitted peaks centered at 35.5 eV and 37.6 eV, which are attributed to the 4f7/2 and 4f5/2 spin orbit of W6+ ions in the isopolytungstate [28, 29], respectively. Additionally, the EuCrMo6 microflakes were also characterized by XPS. Using a Shirley background subtraction, the fitting curves are shown in Fig. 11. The Eu3d XPS peaks have a binding energy of 1134.9 eV and 1164.3 eV, indicating the Eu3+ ion is incorporated into microflakes and chelated to oxygen of CrMo6 (Fig. 11a). The peaks around 577.2 and 587.4 eV in the energy regions of Cr2p are confirmed to the Cr3+ centers in EuCrMo6 microflakes (Fig. 11b). The Mo3d spectrum exhibits two strong fitted peaks (BE = 232.5 eV, 235.6 eV) which correspond to the 3d5/2 and 3d3/2 spin–orbit of Mo6+ in the EuCrMo6 building block, respectively (Fig. 11c).

XPS spectra of CeCdW12 nanoflowers: a Ce 3d; b Cd 3d; c W 4f

XPS spectra of EuCrMo6: a Eu3d; b Cr2p; c Mo3d (dark yellow line: experimental data; red scatter: fitting curve; blue line: spin–orbit partner lines)
ESI-MS Spectra (Negative Mode)
The ESI-MS measurement has been found to be a useful analytic tool in studying the solution behavior of nano-sized clusters, which has been widely used to explore many types of POMs. Therefore, the ESI-MS spectra of CeCdW12 nanoflowers and EuCrMo6 microflakes in deionized water were performed in the negative ion mode, in order to confirm the identity of the clusters in the solution. As shown in Fig. 12, the signal appears at m/z = 950.2 attributed to the three charged anion [H5W12O40]3–, which shows CeCdW12 nanoflowers has some degree of stability in solution. As depicted in Fig. 13, a series of peaks (500.3 and 509.3 m/z) for − 2 charged ions are observed in the range of 495–515 m/z, which correspond to those peak positions for [CrMo6O18(OH)5]2− and [HCrMo6O18(OH)6]2−, respectively. The results reveal that the Anderson type CrMo6 clusters retains their structural integrity in solution.

Negative mode ESI-MS spectra of CeCdW12 nanoflowers in distilled water in the range of 949–953.5 m/z

Negative mode ESI-MS spectra of EuCrMo6 microflakes in distilled water in the range of 865–887 m/z
Photoluminescence Property
The PL property of POM-based nano/micromaterials are still lacked of research which limits the functional applications in W-LEDs, luminescent thermometers, and temperature-dependent imaging reagents [30, 31]. In particular, the PL property of rare earth ions in isopolyoxometalate and Anderson type POM-based nano/micromaterials. In this work, CeCdW12 nanoflowers were utilized to explore the fluorescent behavior of Ce3+ ions. The samples were investigated in powders scattered on a plate intersecting with incidence at an angle of 45°. As depicted in Fig. 14a, upon excitation at 360 nm, the emission spectrum of CeCdW12 nanoflowers exhibits two peaks at 424 and 464 nm, corresponding to the Ce3+ ions related fluorescence. Besides, EuCrMo6 microflakes were utilized to explore the fluorescent behavior of Eu3+ ions. As depicted in Fig. 15a, upon excitation at 396 nm, the emission spectrum of EuCrMo6 displays five prominent f − f emitting peaks at 674, 685, 690, 707, and 734 nm that are assigned to Eu3+ 5D0 → 7FJ (J = 0, 1, 2, 3, 4) transitions [35]. It is worth to note that the strong PL peak of Eu3+ is at 707 nm in EuCrMo6 microflakes. This is interesting for in most cases the 618 nm is the strong peak. Various reasons may contribute to the phenomenon. Without doubt, the red shift of Eu3+ emission spectrum is originated from the structure differences between bulk and microsized PL material [33]. Besides, as the Eu3+ dopants were incorporated into the microflakes it caused the second phase to precipitate, so the change of coulomb attraction force the Eu3+ activator to experience different crystal field, and lead to the red shift on the emission spectrum [34].

a Emission spectrum of CeCdW12; b PL decay curve of CeCdW12

a Emission spectrum of EuCrMo6; b PL decay curve of EuCrMo6
Figures 14b and 15b shows the results of PL lifetime measurements of CeCdW12 nanoflowers and EuCrMo6 microflakes. The PL decay curves of CeCdW12 and EuCrMo6 are both well fitted to bi-exponential I(t) = A1 exp(− t/τ1) + A2 exp(− t/τ2) function, where A1, A2 and τ1, τ2 are the pre-exponential constant and the lifetime. The results and related parameters are illustrated in Table 2. According to the previous reports, the PL lifetime of Eu3+ is about 3 ms and ca. 200 µs in nanoparticles and traditional single-crystal compounds, respectively [35, 36]. In this work, the PL lifetime of Eu3+ is reduced to 1.14 µs, some reasons contribute to the changing of PL lifetime. Firstly, defect states would be created in EuCrMo6 microflakes. Secondly, Eu3+ ions and polyanions could be bonded with coordinated bond. Thirdly, concentration quenching may be occurred after doping procedure. All the reasons would induce non-radiative pathways, resulting in shortening of the PL lifetime [36] (Table 1).
Magnetic Property
Bulk magnetization measurements were performed using a Quantum Design MPMS3 SQUID Magnetometer. The field sweep, as well as zero-field cooled and field cooled (ZFC/FC) magnetic susceptibility measurements from 5 to 300 K were performed on powder samples in gelatin capsules (Fig. 16). As shown in Fig. 16, ZFC curve and FC curve coincide, which manifests the presence of antiferromagnetic interaction.

Temperature dependence of the ZFC and FC magnetization curves for EuCrMo6 in an applied field of 100 Oe
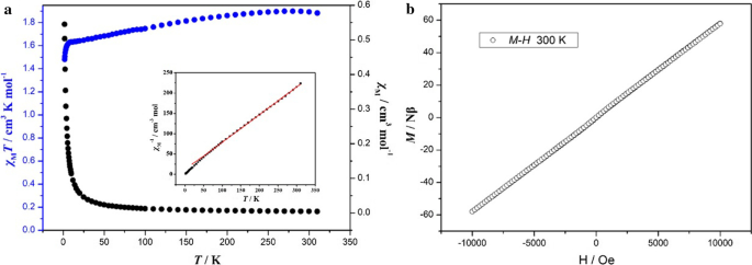
As depicted in Fig. 17a, the χMT value of EuCrMo6 at 300 K is 1.88 cm3 K mol−1, which is slightly lower than one isolated CrIII ion (the experimental value is 1.98 cm3 K mol−1 calculated by Diaz et al. with similar structural [LuCr]n complex) [37].

a 1/χ in the range of 1.8–300 K in 100 Oe for EuCrMo6. Red solid line corresponds to the best fit; b M–H curve at 300 K of EuCrMo6
As the temperature is lowered, the χMT values gradually decrease up to a value of 1.63 cm3 K mol−1 at 8.0 K, and then sharply increase up to a maximum of 1.46 cm3 K mol−1 at 1.8 K, further indicating the existence of antiferromagnetic interaction. As shown in the illustration of Fig. 17a, curve fitting for 1/χ versus T plots of EuCrMo6 with Curie–Weiss law “χ = C/(T − θ)” in the range of 1.8–300 K results in C = 1.47 cm3 K mol−1, and θ = − 17.54 K. These results indicate that the Cr3+ ions reside in this formula and display anti-ferromagnetic interactions in low temperature, and the transition temperature is around − 17.54 K. Meanwhile, M–H curve of EuCrMo6 is recorded at 300 K (Fig. 17b). The result proves that the antiferromagnetic property at low temperature is transformed to paramagnetic property when the temperature increases to 300 K.
Conclusions
In summary, CeCdW12 nanoflower and EuCrMo6 microflaky have been successfully prepared under mild solution conditions by introducing different 3d–4f metals. Unlike many other reported Keggin type PNMs, these materials are built from isopolyoxometalates or Anderson-type POMs. The combination of various 3d–4f metals and diversiform POMs not only enrich the components of PNMs, but also arise some unpredictable phenomena, such as the appearing of new morphology. Meanwhile, the existence of 3d–4f metals provides PNMs with multiple properties, for instance, photoluminescence, magnetism, catalysis and so on. In the following investigation, we will continue to investigate and explore the formation mechanism and the pertinent synthetic chemistry about 3d–4f metals doped PNMs.
Availability of Data and Materials
Data sharing is not applicable to this article as no datasets were generated or analyzed during the current study.
Abbreviations
- PNMs:
-
Polyoxometalates-based nanomaterials
- POMs:
-
Polyoxometalates
- CeCdW12 :
-
K6[Ce (NO3)3]3.5CdCl2[H2W12O40]·19H2O
- EuCrMo6 :
-
(NH4)3 [Eu(NO3)3]0.005[CrMo6O24H6]·11H2O
- SEM:
-
Scanning electron microscope
- EDX:
-
Energy dispersive X-ray Spectroscopy
- FTIR:
-
Fourier transform infrared
- XPS:
-
X-ray photoelectron spectra
- ICP-AES:
-
Inductively coupled plasma optical emission spectroscopy
- ESI-MS:
-
Electrospray ionization mass spectrometry
- PL:
-
Photoluminescence
Nanomaterials
- Efficient Synthesis and Optical Characterization of Sub‑Micron Selenium Nanocrystals and Nanorods
- LiNi0.5Mn1.5O4 Cathodes with Cr3+ and F− Composite Doping: Synthesis, Stability, and Electrochemical Performance
- Water‑Soluble Antimony Sulfide Quantum Dots: Efficient Synthesis and Superior Photo‑Electric Performance
- Blue‑Emitting Mn‑Alloyed CdTe Quantum Dots: Synthesis, Structural Insight, and Electrochemical Characterization
- Highly Efficient, Cd‑Free Cu‑Doped ZnInS/ZnS Core–Shell Nanocrystals: Tunable Synthesis and Superior Photophysical Performance
- High‑Performance Pr2CuO4 Nanosheet Adsorbent: Controlled Synthesis, Superior Selectivity for Malachite Green, and Mechanistic Insights
- Mastering 2D Semiconductor Nanomaterials: Precision Synthesis & Breakthrough Applications
- Key Properties of Metals, Nonmetals, and Metalloids: Conductivity, Malleability, and Physical State
- Refractory Metals: Key Properties, Types, and Industrial Applications
- Exploring Metal Types: Key Properties and Applications