Ultra‑Sensitive, Selective H₂S Detection with CuO/SnO₂ Thick Films via Precipitation‑Impregnation
Abstract
In this work, CuO-loaded tetragonal SnO2 nanoparticles (CuO/SnO2 NPs) were synthesized using precipitation/impregnation methods with varying Cu contents of 0–25 wt% and characterized for H2S detection. The material phase, morphology, chemical composition, and specific surface area of NPs were evaluated using X-ray diffraction, transmission electron microscopy, scanning electron microscopy, energy-dispersive X-ray spectroscopy, X-ray photoelectron spectroscopy, and Brunauer–Emmett–Teller analysis. From gas-sensing data, the H2S responses of SnO2 NPs were greatly enhanced by CuO loading particularly at the optimal Cu content of 20 wt%. The 20 wt% CuO/SnO2 sensor showed an excellent response of 1.36 × 105 toward 10 ppm H2S and high H2S selectivity against H2, SO2, CH4, and C2H2 at a low optimum working temperature of 200 °C. In addition, the sensor provided fast response and a low detection limit of less than 0.15 ppm. The CuO–SnO2 sensor could therefore be a potential candidate for H2S detection in environmental applications.
Background
Hydrogen sulfide (H2S) is a highly toxic gas widely produced from several sources, such as manure fermentation plants, wastewater treatment systems, petroleum refineries, landfill sites, textile factories, stagnant water wells, extruded rubber industries, and other similar industrial facilities. H2S can be adsorbed through human lungs, gastrointestinal regions, and normal skin. Its funky odor will freeze the sense of smell leading to immediate paralysis and mortality when its concentration exceeds its threshold limit value (TLV) of 10 ppm [1]. Therefore, it is compelling to develop an effective and low-cost gas sensor that can detect H2S at sub-ppm concentrations with high response, short response time, high selectivity and good stability.
Semiconducting metal oxides, such as zinc oxide (ZnO), tin dioxide (SnO2), titanium dioxide (TiO2) and nickel oxide (NiO), have been extensively studied for various gas-sensing applications [2,3,4,5,6]. Among them, tin dioxide (SnO2) has been regarded as the most promising n-type metal oxide gas-sensing material due to its low cost, diverse gas response, ease of doping, high chemical stability, and wide range of working temperature from 100 to 600 °C [7,8,9]. In particular, it has been reported as one of the most attractive candidates for H2S detection after the modification by doping with metallic dopants [10,11,12,13,14,15,16,17,18], loading with metal oxide nanoparticles [19,20,21,22,23,24,25,26,27], and forming nanocomposites with different metal oxide semiconductors [28, 29]. However, the H2S-sensing performances of SnO2 still need further improvements.
Copper Oxide (CuO) is a functional p-type metal oxide semiconductor with a moderate energy gap of 1.2–2.0 eV, remarkable sensitivity and selectivity toward H2S. CuO-loaded SnO2 gas sensors have been extensively characterized toward H2S as presented in Table 1. CuO dopants provides relatively high enhancement of H2S response and selectivity for SnO2 sensors [19,20,21,22,23,24,25,26,27]. The H2S-sensing performances also depend substantially on the synthesis method and the form of metal oxide materials. From the table, recent reports CuO/SnO2 sensors are mostly in thick-film and thin-film forms, which offer similarly competitive H2S-sensing performances depending on synthesis method and preparation parameters. Between them, thick-film sensors are more preferred in practical applications due to their much lower production cost. Hence, it is compelling to investigate the H2S-sensing properties of thick-film CuO/SnO2 materials prepared by other advanced techniques.
Precipitation and impregnation are attractive methods for production of thick-film nanocomposite materials because of ability to form diverse nanostructures, low processing temperature, and low cost. Some CuO-loaded SnO2 nanomaterials synthesized by precipitation with NH3 precipitant and impregnation were studied for H2S gas-sensing. However, the reported results still offered only modest response at high H2S concentrations due possibly to large particle sizes [28]. Herein, precipitated SnO2 nanoparticles (NPs) were prepared using NaOH as a precipitant and impregnated with CuO at over a wide range of Cu contents to attain small nanoparticles and large responses at relatively low H2S concentrations. Thick-film sensors were fabricated by spin coating powder paste of synthesized CuO/SnO2 nanoparticles and the effects of CuO loading level on H2S-sensing properties were explained based on CuO/SnO2 heterojunctions.
Methods
Synthesis and Characterization of Nanoparticles
All chemicals with analytical grade were used directly without additional purification. Tin (IV) chloride pentahydrate (SnCl4·5H2O) as a tin source was dissolved in deionized (DI) water under constant stirring to obtain the 0.1 M aqueous solution. An appropriate volume of 0.1 M sodium hydroxide (NaOH) aqueous solution was slowly dropped onto the SnCl4·solution under vigorous stirring until white slurry appeared at the pH of 11. The slurry was washed thoroughly with DI water several times under centrifugation to remove chloride residues from the precipitate. The resulting precipitate was subsequently dried at 80 °C for 10 h in an oven and the obtained particles were calcined for 2 h at 600 °C at a heating rate of 10 °C/min. To impregnate CuO onto SnO2 nanoparticles, 0.872 g of copper (II) acetate hydrate (98%; Aldrich) was dissolved in 30 mL of ethanol under vigorous agitation. The solution was then dropped onto 0.5 g of SnO2 NPs with varying Cu concentrations from 5 to 25 wt%. Next, the suspension was continuously stirred until turning into homogeneous slurry and baked at 60 °C for 2 h in an oven. The resulting powders were annealed for 4 h at 300 °C at a heating rate of 10 °C/min.
The structural characteristics of NPs were evaluated using X-ray diffraction (XRD) with a Cu Kα (λ = 1.54056 Å) X-ray source. The surface morphology and elemental distributions of NPs were examined using high-resolution scanning transmission electron microscopes (HR-TEM). The oxidation states of materials were studied using X-ray photoelectron spectroscopy (XPS) with an Al-Kα (1486.8 eV) X-ray source. The specific surface area of the NPs was measured using a nitrogen-adsorption analyser with Brunauer–Emmett–Teller analysis (SSABET).
Fabrication and Characterization of Gas Sensor
To fabricate SnO2 and 5–25 wt% CuO/SnO2 sensors, 60 mg of powder was thoroughly mixed with an α-terpineol (Aldrich, 90%)-based vehicle containing ethyl cellulose (30–70 mPa s, Fluka) to produce a homogeneous paste. Next, a sensing film was deposited on an alumina substrate (0.40 × 0.55 × 0.04 cm3) with prepatterned interdigitated gold electrodes (0.24 cm × 0.5 cm) by spin coating of the paste at 700 rpm for 10 s and at 3000 rpm for 30 s. The 200-nm-thick interdigitated Au electrodes were deposited on alumina substrates by a sputtering process with argon gas at a pressure of 3 × 10−3 mbar. The interdigit spacing, width, and length were 100 μm, 100 μm, and 0.24 cm, respectively. The resulting sensors as illustrated in Fig. 1 were annealed for 2 h at 450 °C at a ramping rate of 4 °C/min to eliminate organic components from the sensing layers. The microstructures of sensing films were characterized using field-emission scanning electron microscopy (FE-SEM) and energy dispersive X-ray analysis (EDS).

Gas-sensing measurement system with the photograph of a CuO/SnO2 sensor
Gas Sensing Measurement
The sensor characteristics toward H2S in the concentration range of 0.15–10 ppm was measured in a homemade sealed stainless-steel test chamber with an active volume of 0.5 L (Fig. 1). An external Ni/Cr heater operated with a computer-controlled power supply was used to control the working temperature ranging from 150 to 350 °C. The selectivity properties were evaluated against H2, SO2, CH4 and C2H2. At a given working temperature, the sensors were initially settled in synthetic dry air for 10 min to obtain a steady resistance in air. Next, the dry air was mixed with a target gas sample to a desired gas concentration at a fixed total flow rate (2 L/min) using computerized multichannel mass flow controllers (Brook Instruments model 5850E). Each gas sample was applied to the sensors for 25 min and the dry air was resumed for 45 min. The sensor resistance was measured by the amperometric method at a bias of 10 V DC using a picoammeter (Kiethley model 6487). The performances of sensors with various Cu concentrations were characterized in terms of gas response, response time, selectivity, and stability. The gas response (S) was expressed as S = Ra/Rg for a reducing gas (H2S, H2, CH4, SO2 and C2H2), where Ra and Rg were the sensor resistance in air before and after exposure to a target gas, respectively. The response time (tres) was the time taken to attain 90% of a steady-state response signal upon exposure to a target gas.
Results and Discussion
Structural Characteristics of Particles and Sensing Film
XRD patterns of CuO, SnO2, and 5–25 wt% CuO/SnO2 NPs are displayed in Fig. 2. The sharp diffraction peaks indicate the crystalline characteristic of all NPs. The diffraction patterns of SnO2 and CuO correspond to tetragonal and monoclinic structures according to JCPDS files no 41-1445 and 45-0937, respectively. The SnO2 powder exhibits three main peaks, while the CuO powder displays two distinct major peaks. The spectra for the 5–25 wt% CuO/SnO2 NPs show the secondary CuO peaks of (002) and (111) planes together with the main SnO2 peaks of (111), (101) and (211) planes, demonstrating the coexistence of CuO and SnO2 phases. The mean crystallite sizes (d) of CuO/SnO2 NPs were determined using Scherrer’s equation (d = Kλ/(βcosθ) where K is the geometric factor of 0.89 for spherical particles, λ is the X-ray wavelength and β is the full width at half maximum of an XRD peak at the angle, θ. The mean crystallite diameter of unloaded SnO2 is estimated to be 10 nm, while that of 20 wt% CuO/SnO2 NPs is relatively small at 7 nm. The result indicates the inhibition of grain growth due to CuO loading on SnO2 NPs. The chemical compositions and oxidation states of CuO and SnO nanoparticles will be evaluated further by EDX and XPS analyses.

XRD pattern of CuO, SnO2 and 5–25 wt% CuO/SnO2 NPs
BET specific surface areas (SSABET) and particle diameters (dBET) of SnO2 and 5–25 wt% CuO/SnO2 NPs are shown in Fig. 3. SSABET of CuO/SnO2 NPs substantially increases from 39.9 to 44.21 m2/g, while the dBET reduces accordingly from 22.04 to 19.53 nm as the CuO content rises from 0 to 20 wt%. As the Cu content increases further to 25 wt%, SSABET decreases slightly to 44.01 m2/g and dBET increases to 19.62 nm. The results agree with the XRD analysis of crystallite size. The influence of CuO loading level on SSABET may be attribute to the inclusion of smaller CuO NPs produced by impregnation. The CuO NPs may act as separators to inhibit self-coagulation among SnO2 NPs, resulting in the substantial increment of the effective surface area.

BET specific surface area (SSABET) and particle diameter (dBET) of SnO2 and 5–25 wt% CuO/SnO2 NPs
Figure 4 shows typical surface morphologies of coprecipitation/ impregnation synthesized SnO2 and 20 wt% CuO/SnO2 NPs. The BF-TEM images show that most SnO2 particles exhibit spheroidal shapes with different diameters ranging from 5 to 20 nm. After CuO loading, the diameters of SnO2 NPs tend to be smaller but the secondary phase of CuO cannot be clearly identified (Fig. 4d–f). The related SAED patterns display dotted ring features of polycrystalline tetragonal SnO2 structures with main diffraction rings corresponding to (110), (101), (200), (211) and (112) planes of SnO2 as well as (002) plane of CuO in agreement the XRD analysis. The rings related to CuO were quite obscure due likely to weak diffraction signal from very small CuO secondary phase. Correspondingly, the HR-TEM images show lattice fringes on nanoparticles mainly associated with the planes of SnO2 crystals. The secondary CuO phase structures cannot be observed in HR-TEM image due possibly to their very small sizes beyond the resolution of the TEM instrument.

BF-TEM and HR-TEM images with corresponding SAED patterns of a–c SnO2 NPs and d–f 20 wt% CuO/SnO2 NPs
Scanning transmission electron microscopy (STEM) and high-resolution EDS mapping analysis were employed to investigate the distributions of CuO in 20 wt% CuO/SnO2 NPs as presented in Fig. 5. The STEM image illustrates a cluster of roughly round nanoparticles with diameters in the range of 5–15 nm in agreement with the TEM images but with relatively low image resolution due to scanning aberration. The corresponding EDS maps of Sn, O, and Cu elements demonstrate the detailed distribution of these species on various SnO2 nanoparticles in the selected area. Apparently, Cu species are widely distributed on particles with similar density to Sn and O species. The results suggest that the CuO secondary nanoparticles are present and closely distributed on SnO2 surfaces forming distributed CuO–SnO2 junctions within the CuO/SnO2 composite. However, the particles and related junctions are very small at molecular scales so that they cannot be exactly discerned by the TEM/STEM characterizations.

Scanning-TEM (STEM) image and corresponding elemental EDS maps of 20 wt% CuO/SnO2 NPs
Figure 6 illustrates the cross-sectional morphologies and chemical compositions of SnO2 and 20 wt% CuO/SnO2 films. Both layers are approximately 20 μm thick and similarly comprise agglomerated particles on solid-textured substrates. The elemental compositions of SnO2, and 20 wt% CuO/SnO2 are listed in the inset tables of Fig. 5b, d. It reveals that the atomic contents of Sn and O of SnO2 NPs are lower than the expected values (33:67) of stoichiometric SnO2. With 20 wt% CuO loading, a Cu peak appears with a high Cu content of ~ 15.6 wt% or 7.04 at%, which is still smaller than that of Sn. Additionally, the Cu content from five different areas is found to vary from 14 to 18 wt%, indicating some variation of chemical composition within the film. Therefore, CuO loading by impregnation does not markedly influence particle morphologies but considerably changes the elemental composition.

Cross-sectional FE-SEM images with EDS line-scan profiles (inset) and corresponding EDS spectra with elemental composition tables (inset) of the a, b SnO2, and c, d 20 wt%CuO/SnO2 NPs sensing films
Figure 7 presents the oxidation states of elements in SnO2 and 20 wt% CuO/SnO2 NPs. The XPS survey spectrum of SnO2 reveals the presence of C, O and Sn, while that of 20 wt% CuO/SnO2 demonstrates the existence of C, O, Sn and Cu. The results confirm the formation of CuO/SnO2 composites with typical organic/carbon contaminations on surfaces. For Sn element, the Sn3d5/2 and Sn3d3/2 doublet peaks of SnO2 and 20 wt% CuO/SnO2 NPs are similarly observed at the binding energies of 486.8–487.1 eV and 495.2–495.5 eV, respectively. The peak locations can be assigned to the Sn4+ oxidation state of SnO2 [29]. In the case of 20 wt% CuO/SnO2 NPs, the Cu2p core levels comprise Cu2p3/2 and Cu2p1/2 peaks centred at 933.5 eV and 953.4 eV along with the satellite peaks at ~ 942.9 and ~ 964.2 eV, corresponding to the Cu2+ oxidation state of CuO [30]. The observed oxidation states affirm the coexistence of CuO and SnO2 structures.

a Survey and high-resolution XPS spectra of the b Sn3d and c Cu 2p core levels of SnO2 and 20 wt% CuO/SnO2 NPs
Gas-Sensing Characteristics
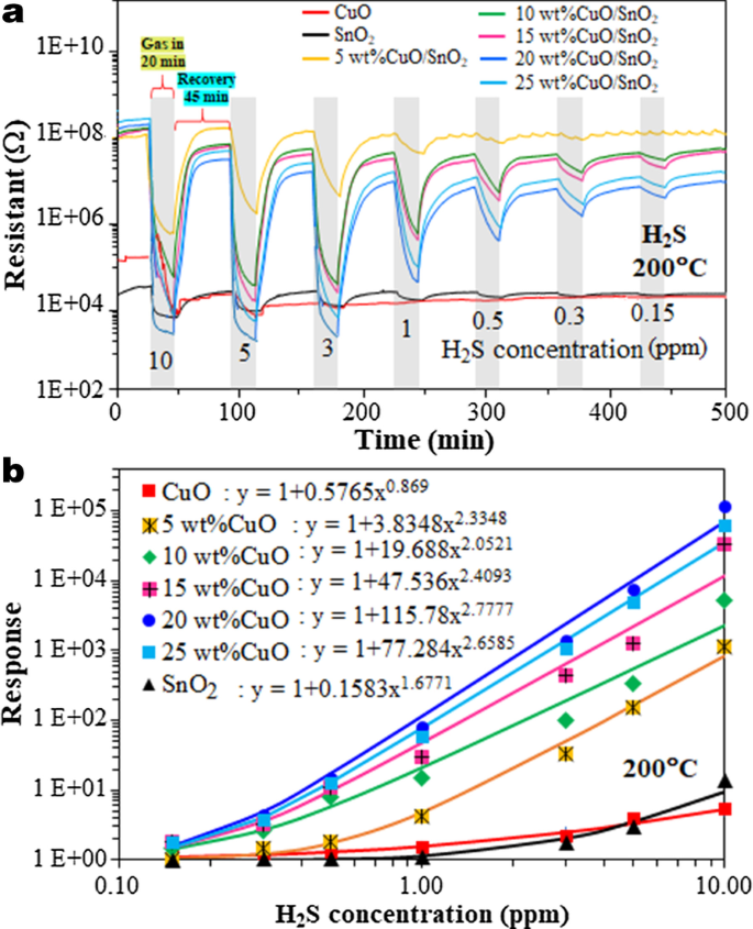
Figure 8a displays the changes in resistance of CuO, SnO2 and 5–25 wt% CuO/SnO2 films subjected to H2S pulses with varying concentrations from 0.15 to 10 ppm at a working temperature of 200 °C. The resistance in air of SnO2 film increases by more than two orders of magnitude after loading CuO with 5–25 wt% contents. Additionally, it is observed that the baseline resistances of various CuO/SnO2 sensors are not very different and only tend to increase slightly with increasing CuO loading level. To identify whether the resistance is changed due to the film geometry or material related properties, the film resistivity was additionally measured by the well-known four-probe method using 4-stripe Au/Cr electrodes with an interelectrode spacing of 100 μm and a bias current of 0.1 μA. The measured average resistivity values of CuO, SnO2, and 5–25 wt% CuO/SnO2 films in air at 350 °C are ~ 8.1 × 103, 2.1 × 104 and 7.4 × 107 − 1.8 × 108 Ω cm, respectively. The results confirm significant differences in resistivity among the three sets of materials and the similarities in resistivity among 5–25 wt% CuO/SnO2 films. This behavior may be explained based on two effects including the percolation breaking of aggregated SnO2 nanoparticles due to CuO secondary nanoparticles and the formation of CuO/SnO2 (p–n) heterojunctions. The TEM/HR-TEM/STEM data suggest that CuO secondary nanoparticles may be formed surrounding the SnO2 nanoparticles, thus breaking the percolation of agglomerated SnO2 particles and forcing most conduction paths to be across the CuO nanoparticles. In addition, the formation of CuO/SnO2 heterojunctions may induce carrier depletion regions throughout secondary CuO nanoparticles due to the work function difference, creating highly resistive conduction paths. Thus, an addition of CuO to SnO2 particles at the level above the minimum value required to break the percolation of SnO2 particles will cause a large increase of resistance as fully depleted CuO particles block electrical conduction. The lowest Cu content in this study of 5% is quite substantial and thus likely to exceed the percolation breaking threshold. Further addition of CuO will only slightly increase the resistance since the electrical conduction via fully depleted CuO is already nearly minimal. Other effects including particle/grain sizes, film thickness, electrode separation, and electrode contact may be neglected since they are not greatly changed according to the structural characterization results. Upon exposure to H2S, the sensor resistances decrease rapidly before recovering to the baseline levels after the resumption of dry air, confirming a typical n-type sensing characteristic. Interestingly, the baseline resistance of CuO sensor considerably drifts downward after several H2S pulses in contrast to the SnO2 sensor that shows insignificant baseline drift. In the case of CuO/SnO2 sensors, the baseline drift tends to increase with increasing Cu content. These behaviors may be related to the slow and incomplete CuO–CuS transformative reactions to be further discussed in Sect. 3.3.

a Dynamic response of CuO, SnO2 and 5–25 wt%CuO/SnO2 gas sensors subjected to 0.15 to 10 ppm H2S pulses at 200 °C and b corresponding sensor response vs. H2S concentration
The corresponding sensor response plotted versus H2S concentration at 200 °C is shown in Fig. 8b. All sensor responses increase monotonically with increasing H2S concentration. The response characteristics of all sensors conform well to the power law according to the equations as displayed along with the inset labels in Fig. 8b. The power-law exponent of CuO is close to 1, while that of SnO2 sensors is around 1.5 and those of CuO-loaded SnO2 sensors are larger than 2, suggesting differences in H2S reaction mechanisms on the surfaces of these materials [31]. Furthermore, the sensor response increases greatly as the CuO content increases from 0 to 20 wt% before slightly declining at a higher CuO content of 25 wt% and the 20 wt% CuO/SnO2 sensor offers the highest response of 1.36 × 105 to 10 ppm H2S at 200 °C. Moreover, it exhibits decent responses of ~ 2, 5, 20 and 230 at the lower H2S concentrations of 0.15, 0.3, 0.5 and 1 ppm, respectively. The excellent performances of 20 wt% CuO/SnO2 sensor may be attributed to the increase of specific surface area due to CuO loading and the formation of CuO/SnO2 heterojunctions to be further discussed in the next section.
Figure 9 presents the plot of the response versus working temperature of unloaded and CuO-loaded SnO2 sensors at a H2S concentration of 10 ppm. The H2S responses of CuO/SnO2 NPs sensors increase significantly with the increasing temperature from 150 to 200 °C and then reduce rapidly when the temperature further rises. Hence, 200 °C is the optimal working temperature of the CuO-loaded SnO2 sensors. Specifically, the optimal 20 wt% CuO/SnO2 sensor gives the highest response of 1.36 × 105, which is much higher than those of other sensors at 200 °C. The optimal working temperature of 200 °C corresponds to the temperature that maximizes the H2S adsorption rate relative to desorption rate of CuO/SnO2 surfaces. Furthermore, 5–25 wt% CuO/SnO2 sensors display a lower optimal working temperature than that of SnO2 sensor (250 °C). The relatively low optimal working temperature will be subsequently explicated by CuO loading effects.

Effect of working temperature on response to 10 ppm H2S of CuO, SnO2 and 5–25 wt%CuO/SnO2 sensors
Figure 10 summarizes the H2S selectivity of 0–25 wt% CuO/SnO2 sensors against SO2, H2, CH4 and C2H2. This type of sensor exhibits the highest H2S selectivity, i.e., more than three orders of magnitude higher H2S response than those of other gases. The data prove that CuO is the catalyst that selectively accelerates the reaction with H2S. The selectivity behavior may also be attributed to the increase of active sites for H2S adsorption due to the highest specific surface area of 20 wt% CuO/SnO2 NPs. The enhancements for other tested gases are not significant due probably to relatively weak interactions between gas molecules and 20 wt% CuO/SnO2 NPs. The attained H2S responses of 20 wt% CuO/SnO2 sensors are substantially better than those of many other metal-loaded SnO2 and CuO-loaded SnO2 sensors made by distinct techniques as listed in Table 1. However, the achieved optimal working temperature of 200 °C is higher than the values of some reports at 100–150 °C. The lower working temperature is generally preferred in practical applications. Nevertheless, the 20 wt% CuO/SnO2 sensor may operate at a lower working temperature of 150 °C where the sensor still exhibits a high response of 3.1 × 104 to 10 ppm H2S (Fig. 9), which is also higher than the response values of other sensors reported in Table 1. Therefore, the CuO-loaded SnO2 sensor is a highly promising candidate for H2S sensing due to its high H2S response, high H2S selectivity and low working temperature.

Responses of CuO, SnO2 and 5–25 wt%CuO/SnO2 sensors toward H2S (10 ppm), SO2 (200 ppm), CH4 (1000 ppm), H2 (1000 ppm) and C2H2 (1000 ppm) at 200 °C
Finally, the stability, repeatability, and reproducibility of CuO/SnO2 sensors were evaluated from four samples produced in the same batch. All sensors exhibited good stability with less than 15% drift in sensor response over 1 month under the same operating conditions. Moreover, each sensor showed good repeatability with less than 12% response variation from 8 repeated measurements. In addition, four sensors from the same batch were found to have fair response variation of less than 26% evaluated under the same test condition.
Gas-Sensing Mechanisms
The characterization results suggest the formation of CuO/SnO2 composite comprising very small CuO species on SnO2 nanoparticles. Thus, the mechanisms for electrical response of CuO/SnO2 sensing films toward H2S may be described based on the composite junction theory of p-n junctions at the contacts between p-type CuO and n-type SnO2 as depicted in Fig. 11. For undoped SnO2, chemisorbed oxygen species (O−) are formed resulting in the creation of depletion regions on surface at a moderate temperature. Upon exposure to H2S, H2S molecules interact with adsorbed oxygen species on SnO2 surface (H2S + 3O− → H2O + SO2 + e−), releasing electrons to SnO2 conduction band and reducing the sensor resistance. At a low working temperature of 200 °C, the concentration of oxygen species is very low, leading to a low reaction rate and a low H2S response. With CuO loading, additional depletion regions will be formed at various p-n junctions around the surface of SnO2 nanoparticles. In addition, carriers in secondary CuO nanoparticles, which can break percolation of aggregated SnO2 nanoparticles, may be fully depleted, resulting in a high electrical resistance in air. In ambient with H2S, the gas molecules can additionally react with the catalytic CuO NPs, leading to the creation of copper sulfide (CuS) via the reaction (Eq. 1) [26]:
$${\text{CuO}} + {\text{H}}_{2} {\text{S}} \to {\text{CuS}} + {\text{H}}_{2} {\text{O}}$$ (1)
Energy band diagrams of CuO/SnO2 heterojunctions a before and b after exposure to H2S (Ef = Fermi-energy level, EC = conduction band and EV = valence band)
CuS is more conductive than CuO, leading to lower potential barriers at depletion regions around the interfaces. The induction of metallic CuS is equivalent to the injection of free electrons into the p-type material (CuO), making it less p-type. This encourages the electron transfer from CuS to SnO2, resulting in additional decrease of depletion width and increase of the electrical conductance of SnO2. The decrease of resistance due to the formation of CuS is much larger than the reduction due to the reducing reaction with oxygen species due to transfer of more electrons from CuS. At low CuO contents, there are relatively few and small CuO nanoparticles that are fully transformed into CuS surrounding SnO2 particles. It will provide a limited amount of electrons to SnO2 due to relatively few heterojunctions, resulting in small reduction of depletion region widths in SnO2 and small resistance drop upon H2S exposure. As the CuO content increases, the numbers of transformed CuS nanoparticles and heterojunctions increase, leading to an increased number of conduction paths through CuS as well as much reduced SnO2 depletion region widths and thus a higher resistance drop that can be achieved after H2S exposure. However, CuO particles may coalesce into large ones and the number of CuO/SnO2 heterojunctions becomes lower at very high CuO content (> 20 wt%). The large CuO particles will not be fully transformed to CuS due to limited reaction depth with H2S and the depletion regions in CuO cores remain, limiting the conduction through CuO and reducing attainable resistance drop. In the case of CuO, the response is low despite the formation of CuS because the resistance of CuO is already low and is not much higher than that of CuS [20]. After H2S in atmosphere extinguishes, the electrical resistance returns to its original values as CuS can be reoxidized to CuO in air at an elevated temperature according to the reaction (Eq. 2) [26]:
$${\text{CuS}} + {\text{O}}_{2} \to {\text{CuO}} + {\text{SO}}_{2}$$ (2)The oxidation of CuS is slow at a low working temperature. As the increase of working temperature, the oxidation rate increases and lead to the increase of recovery rate. Since the CuS–CuO transformative reaction (Eq. (2)) is slower than the CuO–CuS one (Eq. (1)) at this working temperature, residual CuS materials can remain after subjecting CuO to several H2S pulses. This results in a substantial downward baseline drift of CuO sensor and the increase of baseline drift with increasing Cu content of CuO/SnO2 sensors as previously observed in Fig. 8a. However, there is an exception in the case of 5 wt% CuO/SnO2 sensor, which exhibits a small upward drift of baseline resistance after the first pulse. It may occur because the sensor did not fully reach the steady state before applying the first pulse leading to some upward recovery owing to oxidation in air while the drift due to CuS–CuO transformation at this low Cu content is relatively small due to a low residual CuS content. At higher Cu contents, the downward drifts due to residual CuS are large and overwhelm the small upward recovery. The baseline drift considerably reduces the validity, repeatability and stability of sensor response of CuO/SnO2 as the response to a subsequent H2S pulse is affected by the residual CuS concentration after the previous H2S exposure leading to negative deviations from the ideal response behavior. Thus, the calculated responses of the CuO/SnO2 sensors especially with high Cu contents in Fig. 8b are lower the theoretical values under no residual CuS condition. The problems can be reduced by increasing the working temperature. Thus, the sensors may operate above the optimal working temperature at 250 °C when the drift is low, and response is still high. CuS structure can be formed at 103 °C and will be transformed into Cu2S, a less conductive ionic conductor, at the temperature above 220 °C [26]. Consequently, the sensor response of CuO/SnO2 NPs decreases when the temperature rises above 200 °C. The observed high H2S selectivity against SO2, H2, CH4 and C2H2 can also be explained in relation to the working temperature. At the optimal working temperature of 200 °C, the rate of CuO–CuS transformation is high, while the reducing reaction rates of SO2, H2, CH4 and C2H2 are very low because these reactions require the chemisorbed oxygen species whose density is still very low at this working temperature.
Conclusions
0–25 wt% CuO/SnO2 NPs were fabricated using the precipitation and impregnation method. XRD, BET, TEM, SEM, EDS and XPS data suggested the loading of very small CuO nanoparticles on larger SnO2 NPs. The gas-sensing results demonstrated that CuO loading greatly enhanced the H2S response of SnO2 NPs with an optimal Cu content of 20 wt%. The 20 wt%CuO/SnO2 sensor can perceive low-ppm H2S concentrations with ultra-high responses (1.4 × 105 at 10 ppm), short response times (35 s), fair recovery times (a few minutes), very high H2S selectivity against SO2, CH4, H2 and C2H2 and good stability. They could also offer a wide detection range (0.15–10 ppm) when compared with the unloaded one (3–10 ppm). Therefore, the CuO/SnO2 sensors synthesized by precipitation and impregnation could be a promising candidate for H2S detection in environmental applications.
Availability of data and materials
The datasets supporting the conclusions of this article are included in the article.
Abbreviations
- NPs:
-
Nanoparticles
- XRD:
-
X-ray diffraction
- HR-TEM:
-
High-resolution transmission electron microscopy
- FE-SEM:
-
Field-emission scanning electron microscopy
- EDX:
-
Energy-dispersive X-ray spectroscopy
- AFM:
-
Atomic force microscopy
- BET:
-
Brunauer–Emmett–Teller
- SSABET :
-
Specific surface area
- XPS:
-
X-ray photoelectron spectroscopy
Nanomaterials
- Ultra-Sensitive Large-Scale SERS Substrates: Silver Nanowire Thin Films via Microliter-Scale Solution Coating
- Engineering n-Type GeBi Thin Films by Molecular Beam Epitaxy: Crystalline Control and Infrared/THz Optical Performance
- Highly Sensitive and Selective Hg²⁺ Detection via FRET between CdSe Quantum Dots and g‑C₃N₄ Nanosheets
- Enhanced Formaldehyde Detection at ppb Levels Using Reduced Graphene Oxide–Coated Silicon Nanowire Sensors
- Co‑Sputtering and ALD Fabricated Ag Nanoparticle SERS Substrate: High Sensitivity and 30‑Day Stability for Glycerol Detection
- Ultra‑Sensitive Room‑Temperature CNTs/SnO₂/CuO Sensor for Rapid H₂S Detection
- Enhanced Sensitivity of MEMS‑Compatible SnO₂:NiO Cross‑Linked Networks for Ethanol Detection
- Al- and P-Doped WS₂ Sensors: Enhanced Detection of NO, NO₂, and SO₂ via First-Principles Analysis
- How Gas Monitoring Solutions Enhance Safety in Industrial and Automotive Environments
- Revolutionary Ultra‑Thin MXene Strain Sensors Enhance Robotic Arm Precision and Safety