UV Disinfection Robot Powered by Arduino Mega: Remote‑Controlled Germicidal System
Components and supplies
![]() |
| × | 1 | |||
| × | 1 | ||||
| × | 1 | ||||
| × | 1 | ||||
| × | 1 | ||||
| × | 1 | ||||
| × | 2 | ||||
| × | 1 |
Necessary tools and machines
![]() |
|
About this project
Introduction to the RobotUltraviolet Germicidal Robot (UV Robot) is a teleoperated robot equipped with a UV light system. The system contains a moving robot vehicle and a ground station controller (GCS). The operator can control the robot using the joystick of the ground station controller (GCS) while observing the camera feed of the robot.
The robot can disinfect and kill diseases, viruses, bacteria, and other types of harmful organic microorganisms in the environment, with ultraviolet light, by breaking down their DNA-structure. Currently, several countries have tested these robots successfully to disinfect their hospitals, public transports, office spaces, and other public places. We have implemented this UV robot in a cost-effective way to expand the disinfection process to public places.
Why not disinfectant liquids?

The most common and popular method to disinfect public places is to spray disinfectant liquids which are 70% alcohol-based liquids. Recently, the World Health Organization (WHO) has announced that it is really harmful to use disinfectant liquids regularly in public places. This can cause problems in the respiratory system due to their strong scent, cause skin irritation, and may lead to the unbalances in the environment.
Further, this method is associated with a huge material and labor cost on a daily basis.
Advantages of the UV Robot
- One-time cost (No need to refill alcohol or chlorine liquid).
- Can be used to disinfect surfaces, medical suits, medical masks, and other medical equipment.
- Reduce the disinfection time by 60% when compared to liquid-based disinfection methods. (The drying time is considerably high when used in environments where fabric materials are available).
- Ability to use for environments with electronic equipment.
- One operator can cover a large area. ( No need of multiple people like in liquid sprays)
- We have tested and proven a 99.997% disinfection rate for this robot in collaboration with a microbiology laboratory in a local university. (Explained in the last section)

Ultraviolet germicidal irradiation (UVGI) is a disinfection method that uses short-wavelength ultraviolet (ultraviolet C or UVC) light to kill or inactivate microorganisms by destroying nucleic acids and disrupting their DNA, leaving them unable to perform vital cellular functions. UVC is absorbed by RNA and DNA bases and can cause the photochemical fusion of two adjacent pyrimidines into covalently linked dimers, which then become non-pairing bases.
UVGI is used in a variety of applications, such as food, air, and water purification. UVGI can be used to prevent the spread of certain infectious diseases. Low-pressure mercury (Hg) discharge lamps and LEDs are commonly used in UVGI applications and emit shortwave ultraviolet-C (100–280 nanometer) radiation, primarily at 254 nm.
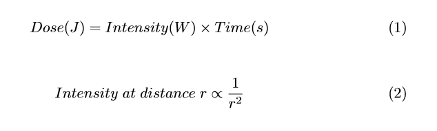
Each type of microorganism requires a different dosage of UV light to inactivate its' functionality. Considering the Covid-19 situation the inactivation of the same virus using UV light is considered here. In most research papers and articles, research groups have mentioned the required UV light for the sterilization process in terms of "Joule per square meter" or "Joule per square centimeter". But when considering the parameters and specifications of the UV light, the manufacturers have given UV light intensity in terms of "Microwatt(uW) per square centimeter" at a distance of 1 meter.
The unit "Watt(W)" represents the energy emits within a period of one second. Microwatt per square centimeter stands for the energy passed through an area of one square centimeter within one second.

Equation 1 shows the relation between the dosage and the intensity. It concludes that different dosages can be achieved by varying the exposure time to the same UV light source.
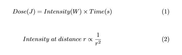
The relation between the UV intensity and the distance is shown by Equation 2. According to that, it can be concluded that UV intensity gets lower with the distance from the light source.
According to Wikipedia, a dosage of 8mJ can inactivate most of the viruses.
Understanding the functionality of the robotThe overall system is a bit complex as we have added some functionalities and safety features to comply with the industry standards. Before explaining the implementation procedure, it is good to have an understanding of how the system works.
The robot has 3 main components.
1. The ground vehicle

This part is moved by two wheels powered by DC geared motors (A differential drive robot). There are two caster wheels at the front and the back to maintain the balance. We have placed the electronic control system and the battery, which is a 12V 35Ah Lead Acid battery inside the ground vehicle.

Arduino Mega is powered with the main battery through a voltage regulator module to reduce the voltage from 12V to 5V. A four-channel RC radio receiver with PWM outputs are connected to the Mega board. Motors are driven through a dual-channel H bridge motor driver which is connected to the Arduino board. An inverter is connected between the UV lights and the battery and controlled using a relay switch connected to the Arduino board.
2. The UV light tower
We have used Fluorescent UV bulbs which require a separate electronic ballast unit to power up the bulb. The light tower contains 6 UV bulbs that are placed around an aluminum cylinder which is made out of an aluminum sheet by rolling it. This aluminum cylinder acts as a reflector for UV rays.

All electronic ballasts are placed inside the aluminum cylinder. On the top of the tower, there is an FPV camera and an FPV transmitter to transmit the video feed to the GCS. The UV tower is fixed on top of the ground vehicle.
3. Ground Station Controller

This is the remote controller of the robot. The screen shows the camera feedback received from the robot. The joystick is used to move the robot. UV lights can be turned on and off using the UV switch. The arming switch acts as a safety switch. It cuts down all the functionalities of the upon turning on.
Powering up UV lights

For our robot, we have selected 6, UV bulbs with the following specifications.
- Power - 55w
- Wavelength - 254nm
- length - 890mm
- tube diameter - 15mm
- type - single end 4 pin
These are not strict specifications except the wavelength. The electronic ballast unit is connected to the 4 pins of the UV bulb. UV bulbs will light up when power is supplied to the electronic ballast.
***UV Light is harmful to human skin and eyes. Do not expose your eyes and skin for a longer period. Observing the light through glass is the safest procedure as UV light cannot penetrate transparent glass.***
FPV Video System


FPV video systems are mainly used in drones to get the bird's eye view. In our case using an FPV system makes it easy to get the video feed from the robot without any programming or soldering components. The robot has a camera and a video transmitter. We only have to connect the power to this system and it will start transmitting the video feed using 5.8GHz.
The GCS has the LCD screen with a built-in 5.8GHz video receiver. Once you power up the screen it will start showing the camera feed.
Building the Ground VehicleThe main structure is made with 0.75' steel box bars. Following is the design used for our robot but don't get limited to it. Change the design according to your requirements.

The frame should have space and a mechanism to mount two motors and two caster wheels at the bottom. Inside the structure, there should be a mechanism to lock the lead-acid battery. In our robot, we have used cladding boards to cover the frame.
The wires of the two motors are connected to the output pins of the motor driver. This procedure can be easily found on the internet, therefore it is not intended to describe the whole procedure.
The schematic of the electronic control system is attached at the last. Channel 1 - channel 4 PWM signal pins of the RC receiver are connected to the Arduino board from pin 18 - 21. Each channel is configured in the following way in the code. You may change it as you desire.
- Ch 1 - UV switch
- Ch 2 - Robot Arming Switch
- Ch 3 - Foward/Backward Moving Commands
- Ch 4 - Left/Right Turning Commands
This can be also changed when building the GCS.

The pins of the motor driver are connected to Arduino pin 3 - 11 as shown in the schematic.
To convert the 12v to AC 230V to power up the UV lights, an inverter circuit is used here. We have purchased a commercially available inverter unit with an inbuilt charger. This helps to avoid the complexity of the electronic system by allowing us to charge the lead-acid battery using the existing power points.

In our case, we have used a modified sine wave inverter which has about an efficiency of 70%. To power up all electronic ballast with the 70% efficiency the required wattage of the inverter is 470W. With all safety margins we purchased a 1kW inverter.,
Battery terminals are connected to the 12V input and E. ballasts are connected to the AC output ports. The on/off switch is removed. There are 3 wires available in the switch; common wire, ground wire, and the power on wire. These 3 wires are connected to the relay switch in the following manner to control the UV lights from the Arduino board.
- Common wire -> Common
- Ground wire -> NC
- Power on wire -> NO

We have included a system power on switch, UV power on switch and an emergency cutoff switch to comply the robot with the industrial standards.
Building the UV light towerThe middle part of the tower contains an Aluminum sheet. A sheet is rolled to make a cylinder with a diameter of 15cm. Two circle-shaped cladding boards with a diameter of 30cm are placed on top and the bottom of the cylinder. These are used as UV lamp holder. Both cladding boards are drilled 19mm holes to fit the UV light. E.ballasts are fixed inside the Aluminum cylinder using double side sticking tapes.


The FPV camera system is mounted on top of the tower and two wires are brought to bottom through the cylinder.
Building the Ground Control Station
Following are the components required for the Ground Control Station (GCS).
- 2.4GHZ 4Ch RC Transmitter
- FPV Screen
- 2 X Toggle switches
- 1 X Power switch
- 18650 Battery Cells
- 3 Cell Batter Management System Module for 18650
- 12V, 5A Switch Mode Power Supply
Rc transmitter contains 2 joysticks and several switches. Here, our interest is only on one joystick, the circuit and the indicator LED. Remove the enclosure of the transmitter and observe how the joysticks are sensed by the circuit. Each joystick contains two potentiometers which are connected to the circuit board. Based on the position of the joystick, the potentiometer changes it's resistance so that the circuit can read the position of the joystick.


Remove one joystick and its' two potentiometers. Solder the respective wire ends to the two toggle switches. Now we have one joystick and two toggle switches to control all 4 channels. One switch acts as the robot arming switch and the other one acts as the UV light control switch. The indicator LED can be used as the battery monitor of the GCS since it changes its' color to red when the battery is low.
Now we need to make a power supply for the transmitter and for the FPV screen. The cell voltage of a 18650 battery is 3.7V. When fully charged it becomes 4.2V. For this we connect 3 cells in series to get about 12V. In our case, we used cells with a 1000mAh capacity. In order to increase the running time of the GCS, we used 9 batteries, 3, series connected cell sets in parallel to get 3000mAh capacity. Then connected the BMS module to protect the battery.

The P+ and P- are connected to the Transmitter power input and the FPV screen power input. 12V switch mode power supply (SMPS) comes with a potentiometer to adjust the output voltage within a limited range. Set it to 12.8 and connect the voltage output to P+ and P- of the BMS. This will help to charge the battery pack when the SMPS is plugged in.
You may design an enclosure for this according to your preference.
CodingThe first task of the code is to read the RC channel inputs. Since we are using a PWM receiver, I have used interrupts to read the PWM values. To make things easy I have included a PWM library to use interrupts by defining the connected pin in the following way.
PWM ch1(18); // Setup pin 18 for input
PWM ch2(19); // Setup pin 19 for input
PWM ch3(20); // Setup pin 20 for input
PWM ch4(21); // Setup pin 21 for inputIn the startup sequence, the code checks for the battery voltage and whether the UV switch is turned on. If it detects either of one, the startup procedure will wait there until all are fixed.
//check battery voltage
battery_voltage_monitor();
while(batterylow == true){
battery_voltage_monitor();
low_battery_notification();
}
//verify the uv swtich is turned off
rc_read();
while(uv_pwm > switch_on_pwm){
rc_read();
uv_on_warning_at_startup(); //buzzer tone
}When running the motors, the battery voltage drops down critically only for that moment. To avoid the low voltage alarm being triggered every time we move the robot, the battery monitoring part only runs when the robot is not moving.
if (robot_moving == false){
battery_voltage_monitor(); //monitor the battery when robot is not moving
}All other functions including controlling the motor driver, generating tones with buzzer and controlling the relay work in the usual way. You may follow a general tutorial on above topics if you are not aware of them.
Operating ProceduresPower up procedure
GCS Controller
1. Turn on the main switch.
2. Make sure both Robot Arming Switch and UV Light Switch are turned off. (At down position).
Robot
1. Turn on the power switch.
2. Wait for the start tone.
3. Wait for the system okay tone.
Controlling the Robot
1. Turn on the Robot Arming Switch.
2. Move the joystick to move the robot.
3. Turn on the UV Switch to turn on UV lights. When the Robot Arming Switch is at off position UV switch doesn’t work.
Battery level indicator
1. Make sure the battery has at least 4 bars flashing up to operate the robot.
2. When the battery is low, buzzer beeps with the last two bars of the battery level indicator blinking.
Charging Procedure
1. Turn off the robot.
2. Turn off the GCS.
3. Plug the inverter to a power point. (Usually inverters have a builtin charging level indicator)
General Considerations1. Using in crowded areas
Ultraviolet light is harmful to human eyes and skin. Exposing to the light in short ranges (less than 3m) for more than 60 seconds can damage eyes and may cause skin irritation. However Ultraviolet beams cannot penetrate through any solid medium. Looking at the UV light through a transparent glass doesn't affect the human eyes or body.
2. Sensitive materials and devices
Soft plastics are highly sensitive to Ultraviolet light. Soft plastics are commonly used in toys and food wrappings. Therefore the device cannot be used in toy stores, supermarkets, and where the above items are available. However, the UV lights can be used to disinfect floors of the aforementioned areas.
3. Ability to use in hospitals
In hospital environments, UV light is helpful to disinfect high touch surfaces within a very short time. But the effectiveness of the UV light for medical equipment and drugs should be considered in this scenario.
Medical equipment with plastic enclosures is made out of hard plastics as they undergo a radiation treatment during the manufacturing process. Further, there are no proven effects for the effectiveness of the UV light for the drugs stored in hospitals.
Further, all stainless steel medical equipment and N95 masks can be sterilized using the same device.
4. Effectiveness for the shaded areas
Ultraviolet light reflects from surfaces as same as the visible lights. Therefore, the areas which do not get the direct UV light, get the reflected UV light. However, heavily covered or shaded areas do not get effective UV light. These areas do not get disinfected with disinfection liquids based methods too.
5. Other considerations
UV light generates Ozone when working in enclosed environments for longer periods. As a general practice, all enclosed environments are ventilated for 20 minutes after being sterilized by UV lights.
Code
Code for Arduino Mega
https://github.com/tharindusuraj/Ultraviolet-Germicidal-RobotSchematics
uv-x_Q9R5T59Q32.fzzManufacturing process
- Vision‑Based Obstacle‑Avoiding Mobile Robot on Raspberry Pi
- Build a Raspberry Pi Webcam Robot – Step‑by‑Step Video Streaming Guide
- gatoBot: Raspberry Pi Zero W Web‑Controlled Robot with Live Video Streaming
- Servo‑Driven Obstacle‑Avoiding Robot: Build with Arduino & HC‑SR04
- Arduino Light & Sound Display: US National Anthem
- WiDC: Wi‑Fi FPV Robot – Remote Control with Live Video
- Build Your Own AI Assistant Robot Using Arduino & Python
- Arduino‑Powered Robot Arm with Custom Controller – Servo & Potentiometer Build
- Wi‑Fi Controlled FPV Rover Robot with Arduino & ESP8266 – DIY Guide
- Build a Wire‑Free Arduino Robot Arm, Controlled from Your Smartphone

