Optimizing Sol–Gel Electrospinning for High‑Performance Polyamide 6/66 Nanofiber Bundles
Abstract
Polymeric nanofibers enable a wide range of textile functionalities. This study investigates polyamide 6/66 (PA 6/66) solutions at 12, 17, and 22 wt % to produce nanofibers via a basic electrospinning setup. The fibers were examined with scanning electron microscopy (SEM) and productivity measurements. Subsequently, nanofiber bundles were fabricated using an electrospinning sol–gel process and characterized by SEM, tensile testing, and differential scanning calorimetry (DSC). Statistical optimization via one‑way ANOVA and Tukey HSD revealed that a 17 wt % solution yields bundles with the highest productivity (1.39 ± 0.15 mg min⁻¹), draw ratio (9.0 ± 1.2), and tensile strength (29.64 ± 7.40 MPa). DSC analysis showed reduced glass‑transition and melting temperatures for nanofibers compared to PA 6/66 pellets and bundles, indicating altered crystalline structure.
Background
Nylon, a polyamide polymer discovered by Wallace Hume Carothers in 1934, is produced as fiber or plastic depending on processing conditions. Commercial variants—nylon 6, nylon 66, nylon 6,10—share the –CO–NH– amide group and are utilized in blown films, monofilaments, and copolymers. Polyamide 6/66, with a lower melting point than nylon 6, is widely employed in textiles such as stockings, parachutes, zippers, fishing lines, veils, carpets, and ropes.
Conventional spinning methods—wet, dry, and gel—create filaments ranging from 20 µm to 400 µm. Fiber diameter, mechanical properties, and process stability depend heavily on polymer concentration. The electrospinning technique, capable of producing nanometer‑scale fibers, offers control over morphology, porosity, and diameter through solution concentration and process parameters. As Ramkrisna et al. noted, higher concentration increases solution viscosity, directly influencing fiber morphology.
Electrospun polymeric nanofibers find applications in scaffolds, sensors, filters, membranes, batteries, protective apparel, wound dressings, and catalysis. In textiles, they enable self‑cleaning fabrics, antimicrobial wear, temperature regulation, and filtration. Recent work has adapted electrospinning to a coagulation bath and tensile cylinder, creating the sol–gel process. For example, polyvinyl alcohol (PVA) bundles reinforced ultra‑fine cement pastes, and polyamide 6/66 bundles produced by rotating collector rolls showed promise for tissue scaffolds, composites, and ultrasensitive sensors. Building on these advances, this study statistically optimizes PA 6/66 nanofiber bundles using a sol–gel approach, assessing morphology, productivity, mechanical, and thermal properties.

Electrospinning sol–gel process
Methods
Materials
PA 6/66 (Ultramid C40 L, BASF) was dissolved in a 4:1 mixture of formic acid and acetic acid. Distilled water served as the coagulation bath.
Preparation of Polyamide Solutions
Solutions were prepared at 12 %, 17 %, and 22 wt % by weight using the acid mixture at room temperature with continuous stirring.
Basic Electrospinning Process
All solutions were electrospun at 27.5 kV using a Gamma High Voltage Research Inc. Model E30 source, with a 12 cm needle–collector distance. Flow rates were varied between 0.3 and 1 mL h⁻¹ using a Braintree Scientific syringe pump.
Electrospinning Sol–Gel Process
Nanofiber bundles were produced in a distilled‑water coagulation bath with a tensile cylinder. A completely randomized unifactorial design (α = 0.05) evaluated productivity, draw ratio, and tensile strength at 12 %, 17 %, and 22 % concentrations, each with three replicates.
Characterization Techniques
Productivity (mg min⁻¹) was measured for each concentration during basic electrospinning, followed by SEM morphological analysis.
For the sol–gel process, after stabilizing the jet by adjusting voltage, flow, and needle–collector distance, the draw ratio was determined. Bundles were then examined by SEM and tensile testing. The optimized condition was further analyzed by DSC.
SEM
Samples were gold‑coated (Denton Vacuum Desk IV, ~200 s) and imaged on a JEOL JSM 6490 LV microscope under 30 Pa vacuum. ImageJ software measured average diameters.
Tensile Test
Three hundred threads of bundles were tested on an EZ‑Test L (Shimadzu) at 30 mm min⁻¹ over 50 mm, following ASTM D3822.
DSC
Thermal transitions were measured with a TA Instruments Q20 DSC (5 mg samples in sealed aluminum crucibles). Two heating cycles from 25 °C to 250 °C at 10 °C min⁻¹, with 5 min isotherms, were performed. Thermograms were analyzed per ASTM D3418‑08 to determine T_g, T_m, ΔH_m, and crystallinity (X_c).
Results and Discussion
Productivity of the Basic Electrospinning Process
Figure 2 shows productivity (mg min⁻¹) for each concentration. ANOVA (p = 0.015) indicates significant differences; Tukey HSD shows 17 % and 22 % concentrations produce higher productivity than 12 %.

Productivity of the basic electrospinning process
Morphology of PA 6/66 Nanofibers
Increasing polymer concentration raises solution viscosity, leading to larger fiber diameters. SEM images in Fig. 3 confirm that 17 % and 22 % solutions produce fibers 85 % and 204 % thicker, respectively, than the 12 % baseline.

SEM images of PA 6/66 electrospun nanofibers at 12 % (a), 17 % (b), and 22 % (c)
Draw Ratio in the Sol–Gel Process
Figure 4 shows draw ratio data. ANOVA (p = 0.000) and Tukey HSD reveal that 17 % concentration achieves a higher draw ratio than 12 % and 22 %, which are statistically similar.

Draw ratio of the electrospinning sol–gel process
Morphology of Nanofiber Bundles
SEM images in Fig. 5 indicate that bundles from the 17 % solution have the smallest average diameter, roughly half that of the 12 % and 22 % bundles, due to higher collection speed and draw ratio.

SEM images of PA 6/66 nanofiber bundles at 12 % (a), 17 % (b), and 22 % (c)
Tensile Strength of Bundles
Figure 6 shows tensile strength distributions. ANOVA (p = 0.005) and Tukey HSD confirm that 17 % bundles exhibit significantly higher tensile strength (29.64 ± 7.40 MPa) than the 12 % and 22 % bundles, which are comparable.

Tensile strength of PA 6/66 nanofiber bundles at different concentrations
These values align with Wu et al., who reported tensile strengths near 30 MPa for PA 6/66 bundles produced via electrospinning and bending.
Optimal Process Condition
Collectively, the data demonstrate that a 17 wt % PA 6/66 solution yields bundles with superior productivity, draw ratio, and tensile strength. Figure 7 highlights the increased surface roughness of these bundles, advantageous for composite reinforcement by enhancing mechanical interlock. The high surface area‑to‑volume ratio and aspect ratio further suggest suitability for apparel, filtration, and nanocomposite applications.

SEM image of the surface of PA 6/66 nanofiber bundles
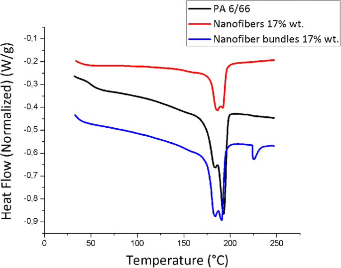
DSC Thermal Analysis of the Optimal Condition
DSC thermograms (Fig. 8) for the PA 6/66 pellet, nanofiber, and bundle stages were compared. Calculated T_g, T_m, ΔH_m, and X_c values (Table 1) reveal that 17 % nanofibers exhibit lower T_g and T_m than the pellet, reflecting increased free volume and reduced crystalline order. The bundle shows a 44.71 % crystallinity, higher than the nanofiber, indicating that drawing aligns chains and restores crystallinity. Enthalpy of fusion values confirm lower energy requirements to melt the nanofiber phase.

Resulting optimal condition nanofiber bundle thermograms obtained through DSC
Conclusions
The sol–gel electrospinning of PA 6/66 at a 17 % wt solution delivers a statistically optimized process, achieving high productivity (1.39 ± 0.15 mg min⁻¹), a draw ratio of 9.0 ± 1.2, and tensile strength of 29.64 ± 7.40 MPa. This method consistently produces uniform nanofiber bundles suitable for advanced textile and composite applications.
Abbreviations
- DSC:
Differential scanning calorimetry
- PA 6/66:
Polyamide 6/66
- PVA:
Polyvinyl alcohol
- SEM:
Scanning electron microscope
Nanomaterials
- Nylon Fasteners: How Chemically Resistant Are They?
- Three Key Factors Driving the Global Nylon 6/6 Shortage
- Optimizing Dip‑Coating Parameters for High‑Performance Three‑State Electrochromic Devices
- Optimizing Spacer Engineering for Dual‑Gate Tunneling‑Field‑Effect‑Transistor DRAM: Enhancing Retention and Reducing Static Power
- Advanced CMCS/PEO Nanofiber Membranes via Electrospinning for Enhanced Fruit Freshness Preservation
- Rapid Optical Mapping of Defect Formation in Monolayer WSe₂: Guiding Optimal CVD Growth
- Optimized Rosin Transfer Technique Minimizes Residue on Graphene Surfaces
- Optimize Your Processes with Accurate Field Data Collection
- Digital Twins: Revolutionizing Machining for Efficiency and Workforce Challenges
- The Complete Manufacturing Process of Electronic Cables