Magnetic MnFe₂O₄/Reduced Graphene Oxide Nanocomposite: Efficient and Recyclable Adsorption of Tetracycline from Water
Recent advances in nanotechnology have highlighted the promise of magnetic graphene-based composites for the remediation of antibiotic pollutants. In this study, we fabricated a MnFe₂O₄ nanoparticle‑decorated reduced graphene oxide (MnFe₂O₄/rGO) nanocomposite using a single‑step, scalable synthesis. When employed to remove tetracycline (TC) from aqueous solutions, the material achieved an adsorption capacity of 41 mg g⁻¹ at an initial TC concentration of 10 mg L⁻¹. Kinetic analysis revealed that the pseudo‑second‑order model best described the uptake process, while the Freundlich isotherm provided the most accurate fit for equilibrium data. Crucially, the magnetic nature of the composite enabled rapid separation by an external field and facile regeneration via acid washing, underscoring its potential for practical, reusable water treatment applications. Tetracycline (TC) is one of the most widely prescribed antibiotics due to its broad‑spectrum activity and low toxicity. However, its persistence in the environment—owing to incomplete metabolic degradation—poses significant ecological and public health risks. Residual TC enters waterways through excretion, contaminating surface water and soil, where it can accumulate in organisms and disrupt microbial communities. Effective removal strategies are therefore essential. Adsorption has emerged as a cost‑effective and efficient method for TC removal. Traditional adsorbents—including smectite clay, montmorillonite, diatomite, activated carbon, alumina, and carbon nanotubes—have been evaluated, but recent studies have demonstrated that graphene‑based materials outperform these options thanks to π–π interactions, hydrogen bonding, and cation‑π forces with TC. Theoretical maximum adsorption capacities for graphene oxide (GO) and reduced graphene oxide (rGO) reach 313 and 558 mg g⁻¹, respectively, while GO‑TiO₂ composites have reported capacities up to 1805 mg g⁻¹. Nonetheless, the practical deployment of graphene nanomaterials is hindered by difficulties in separating fine particles from treated water. Embedding magnetic functionality within graphene composites can overcome this barrier. Previous work has shown that thiol‑functionalized magnetite/GO hybrids effectively remove Hg²⁺, and water‑dispersible magnetite‑rGO composites have been employed for arsenic remediation. Building on these concepts, we synthesized a MnFe₂O₄/rGO composite via a one‑pot approach. The resulting material exhibited a respectable 41 mg g⁻¹ TC adsorption capacity and could be effortlessly recovered using a magnet and reused after acid regeneration, demonstrating its suitability for sustainable water treatment. GO was prepared following a modified Hummer’s method. Briefly, 75.0 mL of 98 wt % H₂SO₄ was added dropwise to a flask containing 1.0 g of flake graphite and 0.75 g of NaNO₃ under continuous stirring in an ice‑water bath. After 10 min, 4.5 g of KMnO₄ was gradually introduced, producing a pasty brown mixture that was subsequently diluted with deionized water. Finally, 20 mL of 30 wt % H₂O₂ was slowly added to reduce Mn⁴⁺ ions to Mn²⁺ within the GO slurry. The GO/Mn²⁺ mixture was diluted to 3000 mL with deionized water. FeCl₃·6H₂O (9.237 g) was dissolved in 400 mL of water and added to the mixture. Ammonia solution (30 wt %) was then introduced to raise the pH to 10 over 2 h. Heating to 90 °C followed by the slow addition of 30 mL of 98 wt % hydrazine hydrate and 4 h of stirring produced a black suspension. After cooling, the suspension was magnetically separated, washed repeatedly with water and ethanol, and dried under vacuum at 60 °C. X‑ray diffraction (XRD) was performed on a Bruker D8 Discover using Cu Kα radiation (40 kV, 40 mA). Morphology was examined by transmission electron microscopy (TEM, JEOL 2100F). Magnetic properties were measured with a vibrating sample magnetometer (VSM 7410, Lake Shore). A thermostatic oscillator (ZD‑85A) ensured a constant temperature during adsorption experiments. UV absorption of TC was monitored at 355 nm using an Agilent GTA 120 spectrophotometer, while an UV‑Vis spectrophotometer (UV‑1100, Shanghai Mapada) quantified residual concentrations. Calibration curves were constructed from TC solutions (10 mg L⁻¹) and followed Lambert‑Beer’s law. Adsorption capacity (Qₜ, mg g⁻¹) and removal efficiency (r, %) were calculated via equations (1) and (2):
$$ Q_t=rac{(C_0-C_t) imes V}{m} \\ (1) $$
$$ r=rac{(C_0-C_t)}{C_0} imes 100\% \\ (2) $$
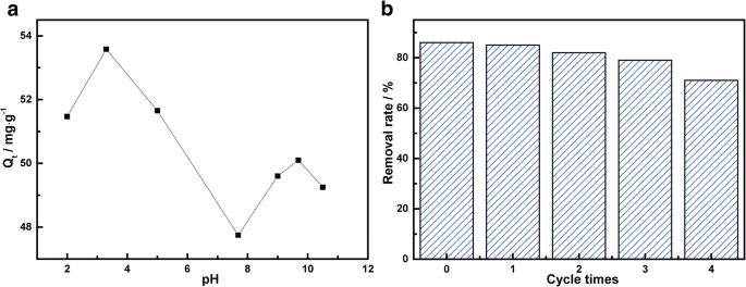
where C₀ and Cₜ are initial and residual TC concentrations (mg L⁻¹), V is the solution volume (30 mL), and m is the mass of MnFe₂O₄/rGO (g). Figures 1a and 1b illustrate the UV spectrum and calibration curve. a UV spectrum and b calibrated curve for TC concentration determination The one‑pot route yielded a homogeneous MnFe₂O₄/rGO composite. XRD patterns (Figure 2a) display characteristic peaks at 29.9°, 35.5°, 42.9°, 56.8°, and 62.3° corresponding to the (220), (311), (400), (511), and (440) planes of cubic MnFe₂O₄ (JCPDS 10‑319). Raman spectroscopy (Figure 2b) reveals a MnFe₂O₄ band at 600 cm⁻¹ and the D and G bands of rGO at 1351 and 1575 cm⁻¹. BET analysis indicates a surface area of 42.7 m² g⁻¹, attributed to the prevention of GO restacking by the dispersed MnFe₂O₄ nanoparticles. Thermogravimetric analysis shows an approximate weight ratio of 12 % rGO to 88 % MnFe₂O₄. TEM images (Figure 2c) confirm MnFe₂O₄ nanoparticles (<30 nm) uniformly decorating the rGO sheets, while high‑resolution TEM (Figure 2d) reveals lattice fringes (0.29 nm) matching the (220) planes of MnFe₂O₄. Magnetic measurements (Figure 3a) give a saturation magnetization of 22.6 emu g⁻¹ and remanence of 1.1 emu g⁻¹, enabling efficient magnetic separation (Figure 3b). Characterization of the MnFe₂O₄/rGO nanocomposite. a XRD patterns and b Raman analysis; c TEM image; d HRTEM image. Magnetic properties of the MnFe₂O₄/rGO nanocomposite. a Hysteresis loop; b Magnetic separation from water. Adsorption experiments were conducted at 25 °C with 5 mg of MnFe₂O₄/rGO in 30 mL of 10 mg L⁻¹ TC solution. The TC concentration dropped sharply within the first 5 h, reaching equilibrium after ~8 h (Figure 4a). The equilibrium adsorption capacity was 41 mg g⁻¹, slightly surpassing the 39 mg g⁻¹ reported for GO‑magnetite hybrids. Kinetic analysis favored the pseudo‑second‑order model (R² = 0.99) over the pseudo‑first‑order model (R² = 0.98), yielding a rate constant K₂ of 114.87 g mg⁻¹ min⁻¹ (Figure 4c,d). TC adsorption kinetics of MnFe₂O₄/rGO. a TC concentration vs. time; b adsorption capacity vs. time; c pseudo‑first‑order fit; d pseudo‑second‑order fit. Isotherm studies at 283, 298, and 313 K (Figure 5) revealed a superior fit to the Freundlich model (R² > 0.99) compared to the Langmuir model, indicating heterogeneous, multilayer adsorption driven by π–π interactions between TC’s aromatic rings and the rGO surface. The Freundlich constant (K_F) and intensity (n = 2–3) confirmed favorable adsorption, and the temperature dependence suggested an endothermic process. TC adsorption isotherms of MnFe₂O₄/rGO. a Langmuir fit; b Freundlich fit at 283, 298, and 313 K. pH effects (Figure 6a) showed maximum adsorption at pH 3.3, declining at lower pH due to proton competition and at higher pH due to increased OH⁻ and possible precipitation of MnFe₂O₄‑derived ions. A regeneration study using 0.1 M HCl demonstrated that the composite maintained >70 % removal efficiency after four cycles, underscoring its reusability (Figure 6b). a Influence of pH on TC adsorption; b Removal rate over four regeneration cycles. Overall, the rGO component is the primary contributor to TC adsorption via π–π stacking, while the MnFe₂O₄ nanoparticles impart magnetic recoverability with minimal impact on surface area. The resulting 41 mg g⁻¹ capacity, combined with rapid magnetic separation and robust regeneration, positions MnFe₂O₄/rGO as a compelling candidate for sustainable tetracycline remediation. We successfully synthesized a MnFe₂O₄/rGO nanocomposite via a single‑pot method that combines high adsorption performance with magnetic recoverability. The composite achieved a TC adsorption capacity of 41 mg g⁻¹ at an initial concentration of 10 mg L⁻¹, with adsorption kinetics following the pseudo‑second‑order model and equilibrium described by the Freundlich isotherm. Its magnetic nature enables easy separation and effective regeneration by acid washing, demonstrating strong potential as a reusable adsorbent for environmental remediation of tetracycline contamination. Graphene oxide Reduced graphene oxide Tetracycline Transmission electron microscopyAbstract
Introduction
Materials and Methods
Synthesis of GO
Synthesis of MnFe₂O₄/rGO Composite
Characterization of MnFe₂O₄/rGO Composite
Determination of the Concentration of TC

Results and Discussion
Synthesis and Characterization of MnFe₂O₄/rGO


Adsorption of TC on MnFe₂O₄/rGO



Conclusions
Abbreviations
Nanomaterials
- Electrospun Polymer Nanofibers Enhanced with Noble Metal Nanoparticles for Advanced Chemical Sensing
- Graphene Oxide–Silver Nanoparticle Nanocomposites: A Potent Antibacterial and Antifungal Agent
- Millstone Exfoliation: High-Yield, Large-Size Few-Layer Graphene Oxide via True Shear Force
- Electrochemical Energy Storage: Enhancing Capacitance with Reduced Graphene Oxide/Carbon Nanotube Composites
- Large‑Area Monolayer Reduced Graphene Oxide Assembly via Deep UV Irradiation in Solution
- Ultra‑Sensitive, Rapid‑Response Ammonia Gas Sensor Based on Reduced Holey Graphene Oxide Thin Films
- Reducing Cytotoxicity of Silver Nanoparticle Coatings with Graphene Oxide: Enhanced Antibacterial Performance and Biocompatibility of an Ag–GO Nanocomposite
- Efficient Photocatalytic Wastewater Treatment Using Silver-Decorated Reduced Graphene Oxide Nanoflakes
- Proven Room‑Temperature Ferromagnetism in Cobalt‑Graphene Nanohybrids
- Taurine-Functionalized Graphene Oxide for 5‑Fluorouracil Delivery: Fabrication, Characterization & Anticancer Efficacy