Temperature and Excitation Intensity Modulate Photoluminescence in InGaAs/GaAs Surface Quantum Dots
Abstract
We investigate the optical response of InGaAs surface quantum dots (SQDs) incorporated into a composite nanostructure that also contains buried quantum dots (BQDs) separated by a thick GaAs spacer. By tuning the substrate temperature during growth, we systematically vary the areal density of the SQDs. Photoluminescence (PL) measurements of SQDs grown at 505 °C reveal distinct relaxation pathways and atypical thermal quenching behavior. The PL intensity ratio between SQDs and BQDs exhibits a clear interplay between excitation intensity and temperature, underscoring the strong influence of surface morphology on carrier dynamics in SQDs.
Introduction
Since 1992, self‑assembled In(Ga)As/GaAs quantum dots (QDs) have attracted significant research interest owing to their unique electronic and optical properties, which enable a broad spectrum of device applications such as lasers, detectors, modulators, photovoltaics, and memory elements [1–7]. In typical configurations, In(Ga)As QDs are grown on GaAs substrates and subsequently buried within a GaAs matrix, providing three‑dimensional confinement through the GaAs/In(Ga)As band offsets.
When In(Ga)As QDs are left exposed on the GaAs surface—forming surface quantum dots (SQDs)—their confinement along the growth direction becomes highly sensitive to the surrounding environment. This sensitivity makes SQDs attractive for sensor applications, including high‑humidity detection [12–15]. To harness this potential, a detailed understanding of the underlying carrier dynamics is essential.
Previous work has highlighted carrier transfer between surface states and SQDs via PL studies [17]. In this study, we extend that investigation to a composite structure comprising SQDs and a buried QD (BQD) layer separated by a thick GaAs spacer. By varying the growth temperature, we modulate the SQD areal density and probe how surface morphology influences PL behavior across a range of excitation intensities and temperatures.
Methods
Five samples were fabricated on GaAs (001) semi‑insulating substrates using a VEECO Gen‑930 solid‑source MBE system. After desorbing the native oxide and depositing a 200 nm GaAs buffer at 580 °C, the substrate temperature was reduced to one of five target values: 475, 490, 505, 525, or 535 °C. At each temperature, 11 MLs of In0.35Ga0.65As were deposited to form the BQD layer, followed by 70 nm of GaAs and a second 11 MLs of In0.35Ga0.65As grown at the same temperature to produce the SQDs. The samples were then cooled under arsenic flux to 300 °C and removed from the chamber. All samples were stored in a dry nitrogen cabinet at room temperature between measurements.

a Schematic of the SQD sample structure. b AFM images of SQDs grown at different temperatures. c Average height versus growth temperature. d Areal density versus growth temperature.
The SQDs were characterized by tapping‑mode AFM at room temperature. PL experiments were carried out in a JANIS CCS‑150 cryostat under <10−5 Torr vacuum, with temperatures ranging from 10 to 300 K. A 532 nm solid‑state laser, focused through a ×20 objective, provided excitation intensities from 20 to 200 W/cm2. PL was collected by the same objective, dispersed by a 0.5‑m Acton‑2500 spectrometer, and detected with a liquid‑nitrogen‑cooled Princeton Instruments PyLoN‑IR CCD.
Results and Discussion
AFM imaging (Fig. 1b) confirms high‑quality SQDs across all samples, with no large incoherent islands or defects. Increasing the growth temperature from 475 to 535 °C reduces the SQD areal density from 9.86 × 1010 to 1.25 × 1010 cm−2, a trend attributable to enhanced adatom diffusion at higher temperatures. The average SQD height peaks at 6.5 nm for the 520 °C sample, reflecting an indium‑desorption effect at elevated temperatures.
Low‑intensity PL (20 W/cm2) at 10 K (Fig. 2a–c) reveals two distinct emission bands: a shorter‑wavelength peak from the BQDs and a red‑shifted peak from the SQDs. The SQD emission shows a larger full‑width at half maximum (FWHM), likely due to coupling with surface states. Integrated PL intensity ratios vary with growth temperature; the 505 °C sample exhibits the strongest emission for both SQDs and BQDs, indicating optimal QD quality at this temperature.

a PL spectra at 10 K, 20 W/cm2. b PL wavelength versus growth temperature. c Integrated PL intensity versus growth temperature. d PL spectra at 295 K, 200 W/cm2. e PL wavelength versus growth temperature. f Integrated PL intensity versus growth temperature.
At 295 K, both SQD and BQD peaks shift to longer wavelengths as temperature rises, mirroring the 10 K behavior. However, the PL intensity ratio (BQDs/SQDs) drops from ~6.7 at 10 K to ~1.35 at room temperature, highlighting distinct carrier recombination mechanisms in SQDs versus BQDs. Surface states act as non‑radiative centers at low temperatures, “freezing” carriers, but become thermally activated at higher temperatures, enhancing SQD emission.
Focusing on the 505 °C sample, we performed excitation‑dependent PL measurements at five temperatures (10, 77, 150, 220, 295 K). Integrated PL intensity scales linearly with excitation power across the low‑intensity regime, following the power law IPL = η Pα. The exponent α is ~1 for BQDs between 10 and 150 K, indicating exciton recombination, while it rises to ~1.9 at 295 K, suggesting additional non‑radiative processes. For SQDs, α remains between 1.2 and 1.3 across all temperatures, implying that even at low temperatures, carrier dynamics involve more than simple exciton recombination.
The coefficient η, reflecting overall PL efficiency, decreases gradually with temperature for SQDs but drops sharply for BQDs above 150 K. At low temperatures, η for BQDs exceeds that for SQDs by two orders of magnitude, but this trend reverses at room temperature, underscoring the differing temperature sensitivities of the two QD types.
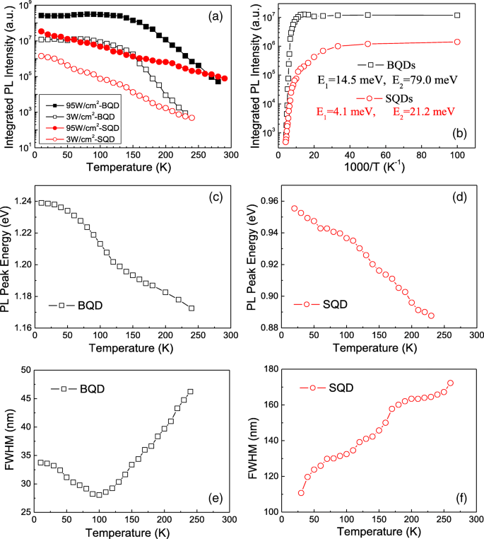
Temperature‑dependent PL at fixed excitation intensities further elucidates carrier dynamics (Fig. 4). BQDs exhibit two regimes: a low‑temperature plateau where carriers are redistributed among QDs without significant loss, followed by a high‑temperature regime where carriers escape to non‑radiative traps. SQDs, conversely, show a monotonic decrease in integrated PL across the entire temperature range, with a faster quenching at low temperatures attributed to strong coupling with surface states.

a Integrated PL intensity versus temperature for BQDs and SQDs at various excitation powers. b Arrhenius plot (3 W/cm2) for BQDs and SQDs. c PL peak energy of BQDs. d PL peak energy of SQDs. e FWHM of BQDs. f FWHM of SQDs.
Arrhenius analysis yields activation energies of 4.1 meV (low‑T) and 21.2 meV (high‑T) for SQDs, compared to 14.5 meV and 79.0 meV for BQDs. The lower high‑temperature activation energy for SQDs reflects a shallow escape channel via surface states.
We also examined the ratio of integrated PL intensities (SQDs/BQDs) as functions of excitation intensity and temperature (Fig. 5). At 10 K, the ratio remains below one across all intensities, consistent with surface‑state‑induced non‑radiative losses. As temperature rises, the ratio first decreases, then increases, mirroring the interplay between carrier redistribution in BQDs and surface‑state coupling in SQDs.

a PL intensity ratio versus excitation intensity at various temperatures. b PL intensity ratio versus temperature for low (3 W/cm2) and high (95 W/cm2) excitation powers.
These findings collectively demonstrate that SQDs exhibit distinct PL behavior from BQDs, governed by surface morphology, temperature, and excitation intensity. The strong coupling between SQDs and surface states leads to unique carrier dynamics, offering potential pathways for sensor and optoelectronic device optimization.
Conclusions
We have systematically studied the photoluminescence of InGaAs/GaAs surface quantum dots embedded in a composite structure with buried quantum dots. By varying the growth temperature, we controlled the SQD areal density and uncovered pronounced differences in PL intensity, linewidth, and temperature dependence compared to BQDs. The excitation‑intensity‑dependent PL reveals that SQDs have lower emission efficiency at low temperatures but surpass BQDs in efficiency near room temperature due to reduced thermal quenching. The monotonic temperature evolution of SQD PL intensity and linewidth, together with the distinct activation energies, underscores the pivotal role of surface states in carrier capture and loss. These insights pave the way for engineering SQDs in sensor and optoelectronic applications where surface sensitivity is paramount.
Abbreviations
- AFM:
Atomic force microscopy
- BQDs:
Buried quantum dots
- FWHM:
Full width at half maximum
- MBE:
Molecular beam epitaxy
- PL:
Photoluminescence
- QD:
Quantum dot
- SQDs:
Surface quantum dots
Nanomaterials
- Optimizing Gold Nanoparticle Placement in TiO₂ Enhances Dye‑Sensitized Solar Cell Efficiency
- Enhanced Telecom-Range Photoconductivity in Metamorphic InAs/InGaAs Quantum Dots (1.3–1.55 µm)
- Spin‑Dependent Couplings in Triple Quantum Dots Enable 100 % Spin‑Polarized Transport and Pure Spin Seebeck Effect
- How Temperature Influences the Young’s Modulus of Electrospun Polyurethane Nanofibers
- High‑Quality In₂S₃ Quantum Dots Synthesized at Room Temperature for Ultra‑Sensitive UV Photodetectors
- Uniform Indium Quantum Dots Formed via Two‑Step Cooling on InGaN Surfaces: A Novel MOCVD Approach
- Optimizing Niobium-Doped Titanium Oxide Layers for Enhanced Silicon Quantum Dot Solar Cells
- Enhanced Photon Absorption in Quantum Dot Infrared Photodetectors via Metal Nanohole Array Surface Plasmons
- Improving WLED Color Rendering with Composite Orange‑Red Quantum Dots
- Polishing Explained: Types, Features, and Benefits