Spin‑Dependent Couplings in Triple Quantum Dots Enable 100 % Spin‑Polarized Transport and Pure Spin Seebeck Effect
Abstract
We investigate spin‑dependent electronic and thermoelectric transport in a triple‑quantum‑dot (TQD) system coupled to two metallic leads, where a static magnetic field renders the interdot tunnelling spin‑dependent. When the dots are serially linked, the structure delivers a fully spin‑polarized conductance and thermopower, even for minimal spin‑polarization of the interdot coupling, provided the dots are weakly coupled. In contrast, a ring‑shaped configuration gives rise to pronounced Fano antiresonances that produce sharp peaks in both conductance and thermopower. With spin‑dependent couplings, the spin‑up and spin‑down thermopowers shift in opposite directions across the dot‑level spectrum, enabling either 100 % spin‑polarized or pure spin thermopower. These effects persist at low temperatures and are robust against level detuning, dot‑lead hybridisation, and equilibrium temperature, highlighting their potential for spin‑caloritronic applications.
Introduction
Spintronics and spin caloritronics have rapidly evolved over the past two decades, focusing respectively on electrical and thermal manipulation of electron spin. The spin Seebeck effect (SSE) – the generation of a pure spin current driven by a temperature gradient – offers a pathway to harness waste heat in nanoscale devices and to sense temperature differences via spin degree of freedom. Since the first experimental observations in magnetic metals, insulators, and ferromagnetic metals, the SSE has been reported in a wide range of systems, including ferromagnetic semiconductors, paramagnets, antiferromagnets, metal–ferromagnet interfaces, and topological insulators.
Low‑dimensional systems, such as zero‑dimensional quantum dots (QDs), can greatly enhance thermoelectric performance due to their sharp, delta‑shaped transmission spectra. In QDs, quantum interference phenomena – notably Dicke and Fano effects – further enrich transport characteristics. Multiple‑path or ring‑shaped QD arrays have been shown to produce giant spin thermopower, often exceeding their charge counterparts, by exploiting interference and spin‑orbit coupling.
Triple QDs (TQDs) have been experimentally realised and theoretically explored in contexts ranging from charge stability and rectification to coherent spin control. However, the thermoelectric response, especially the SSE, remains largely unexplored. In this work, we focus on TQDs with spin‑dependent interdot couplings induced by a static magnetic field across the tunnel barriers. This field causes Larmor precession of the electron spin, rendering the tunnelling amplitudes spin‑dependent. By analysing the resulting transport and thermoelectric coefficients, we demonstrate how modest spin‑polarisation of the interdot couplings can generate 100 % spin‑polarised conductance and pure spin thermopower, both in serial and ring configurations.

Schematic of the triple quantum dot system. A static magnetic field applied to the tunnel barriers renders the interdot couplings spin‑dependent.
Model and Methods
The Hamiltonian of the TQD system coupled to two leads is described by an Anderson model:
H=∑_{kβσ}ε_{kβ}c^{†}_{kβσ}c_{kβσ} +∑_{iσ}ε_i d^{†}_{iσ}d_{iσ} +∑_{σ}(t_{0,σ}d^{†}_{1σ}d_{2σ}+t_{c,σ}d^{†}_{1σ}d_{0σ}+t_{c,σ}d^{†}_{0σ}d_{2σ}+H.c.) +∑_{kσ}(V_{kL}c^{†}_{kLσ}d_{1σ}+V_{kR}c^{†}_{kRσ}d_{2σ}+H.c.)Here, c and d operators refer to lead and dot states, respectively. Each dot hosts a single energy level ε_i; Coulomb interactions are neglected. The interdot tunnelling amplitudes are spin‑dependent: t_{0,σ}=t_0(1+σp) and t_{c,σ}=t_c(1+σp), where σ=±1 denotes spin‑up/down and p∈[0,1) quantifies the spin‑polarisation induced by the magnetic field.
In the linear response regime, the spin‑resolved electric and heat currents for infinitesimal potential (ΔV) and temperature (ΔT) biases are given by:
J_{e,σ}=-e^2 K_{0,σ} ΔV + (e/T) K_{1,σ} ΔTJ_{h,σ}=e K_{1,σ} ΔV - (1/T) K_{2,σ} ΔTwith transport integrals
K_{n,σ}=1/ħ ∫ (ε-μ)^n (-∂f/∂ε) T_{σ}(ε) dε/2π.The spin‑dependent transmission is expressed through the retarded Green’s function as T_{σ}(ε)=Γ_L Γ_R |G^{r}_{21,σ}(ε)|^2. Solving the equations of motion yields an analytic form for G^{r}_{21,σ}(ε) and, consequently, for the transmission probability.
Spin‑dependent thermopower S_{σ} is obtained under zero charge current, J_e=0, as S_{σ}=-K_{1,σ}/(e T K_{0,σ}). The charge and spin thermopowers follow from S_c=S_{↑}+S_{↓} and S_s=S_{↑}-S_{↓}.
Results and Discussions
All calculations use a uniform linewidth Γ_L=Γ_R=Γ_0=1 (energy unit), with μ=0 as the zero of energy. Constants e, k_B, and ħ are set to unity. Figures 2–6 illustrate the spin‑resolved conductance and thermopower for various configurations and parameter regimes.

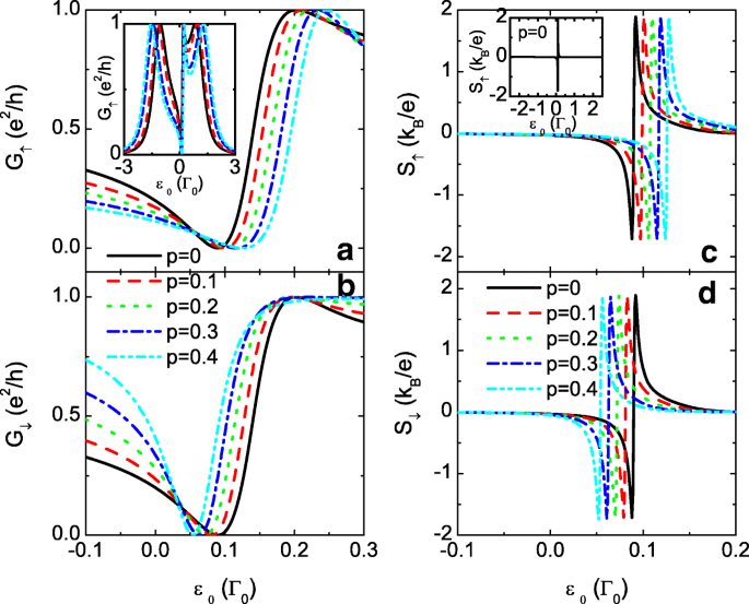
Conductance and thermopower for t_0=0. Spin‑polarised conductance G_σ in a and b, and thermopower S_σ in c and d as functions of the dot level ε_0 for fixed t_0=0 and varying spin‑polarisation p. Level detuning Δ=0, temperature T=0.001, and t_c=0.3.
In the serial configuration (t_0=0), a single resonance appears at ε_0=0 for spin‑independent couplings (p=0). Introducing a small spin‑polarisation (p≠0) splits the resonance for spin‑up electrons into three peaks, while spin‑down remains a single, narrower peak. Even modest spin‑polarisation (p≈0.1) produces a fully spin‑polarised conductance: G_{↑}=G_{↓} at the resonance, but with opposite thermopower signs. The spin‑down thermopower is greatly amplified as p increases, reaching values roughly ten times larger than the spin‑up counterpart for p=0.8.
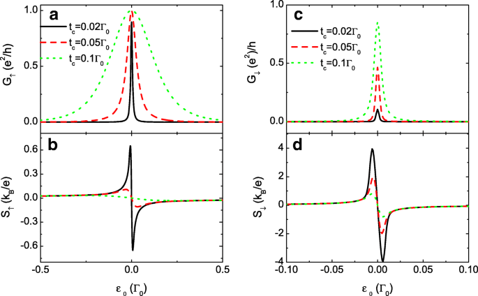
Figure 3 extends this analysis to extreme spin‑polarisation (p>0.9). Spin‑down conductance is strongly suppressed, yet its thermopower grows dramatically, confirming that modest spin‑dependent tunnelling can generate a fully spin‑polarised thermopower. Reducing the interdot coupling t_c further sharpens the thermopower peaks, as shown in Figure 4, where the maximum spin‑down thermopower exceeds 4 k_B/e for t_c=0.02 Γ_0.

Spin‑down conductance and thermopower for large interdot spin‑polarisation (p≥0.9). Inset (a) shows G_{↑} in a large dot‑level regime; inset (b) compares S_{↑} with S_{↓}. Other parameters as in Figure 2.

Conductance and thermopower for different t_c. Spin‑polarised conductance G_σ in a and c, and thermopower S_σ in b and d versus dot level ε_0 for p=0.7. Other parameters as in Figure 2.
In the ring configuration (t_0≠0), the Fano antiresonance produces a pronounced dip in conductance at ε_0=μ+t_{c,σ}^2/t_{0,σ}, independent of temperature or dot–lead coupling. This antiresonance shifts the zero of the thermopower and creates sharp peaks on either side. As p increases, the spin‑up and spin‑down thermopower peaks move in opposite directions, enabling either 100 % spin‑polarised thermopower (when only one spin channel is active) or a pure spin thermopower (when the two peaks of opposite sign overlap). Figures 5 and 6 illustrate these regimes, showing that even a small spin‑polarisation (p≈0.02) suffices to produce a large pure spin thermopower, comparable in magnitude to the charge thermopower.

Conductance and thermopower for t_0=1. Spin‑polarised conductance G_σ in a and b, and thermopower S_σ in c and d versus dot level ε_0 for t_c=0.3 and varying spin‑polarisation p. Insets show large‑level behaviour. Other parameters as in Figure 2.

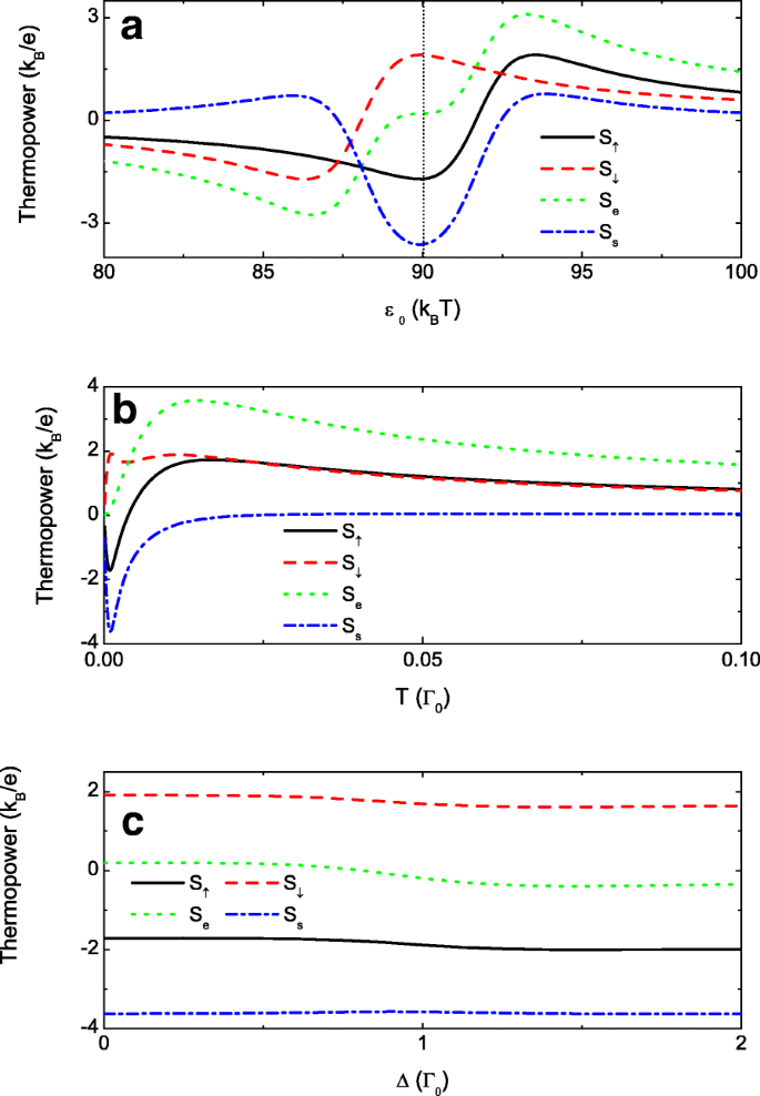
Quantum regulation of the thermopowers. (a) Thermopower versus dot level. (b) Thermopower versus temperature. (c) Thermopower versus level detuning. Other parameters: p=0.02, t_0=1, t_c=0.3, ε_0=0.09 Γ_0, Δ=0, T=0.001.
Temperature dependence (Figure 6b) shows that at low T the spin‑up and spin‑down thermopowers exhibit sharp, opposite‑sign peaks, yielding a substantial pure spin thermopower while the charge thermopower remains negligible. As T rises, thermal broadening suppresses the Fano features, causing the pure spin thermopower to vanish. Importantly, the pure spin thermopower remains largely insensitive to level detuning (Figure 6d), underscoring its robustness.
Conclusions
We have shown that spin‑dependent interdot couplings in triple‑quantum‑dot arrays can generate 100 % spin‑polarised conductance and thermopower, as well as pure spin thermopower, with minimal spin‑polarisation. Serial TQDs favour high spin‑polarisation when the dots are strongly coupled, whereas weak interdot coupling yields giant spin‑polarised thermopower even for tiny spin‑polarisation. In ring‑shaped TQDs, Fano antiresonances sharpen the thermopower peaks and enable the tuning of spin‑up and spin‑down thermopower peaks to opposite sides of the spectrum, facilitating both fully spin‑polarised and pure spin thermopower. These effects persist at low temperatures and are robust against variations in dot levels and coupling strengths, making them promising for experimental realization and for future spin‑caloritronic devices.
Nanomaterials
- Water‑Soluble Antimony Sulfide Quantum Dots: Efficient Synthesis and Superior Photo‑Electric Performance
- Efficient One‑Step Photo‑Ultrasonic Synthesis of rGO/Ag₃PO₄ Quantum‑Dot Composites for Enhanced Visible‑Light Photocatalysis
- Quantum Anomalous Hall Effect in Ti/Zr/Hf–Bi/Sb Honeycomb Monolayers: First‑Principles Prediction
- Blue‑Emitting Mn‑Alloyed CdTe Quantum Dots: Synthesis, Structural Insight, and Electrochemical Characterization
- One‑Pot Room‑Temperature Synthesis of 10‑nm 2D Ruddlesden–Popper Perovskite Quantum Dots with Tunable Emission
- Temperature and Excitation Intensity Modulate Photoluminescence in InGaAs/GaAs Surface Quantum Dots
- High‑Quality In₂S₃ Quantum Dots Synthesized at Room Temperature for Ultra‑Sensitive UV Photodetectors
- Synthesis, Structure, and Superior Capacitance of Sulfur‑Nitrogen Co‑Doped Graphene Quantum Dots
- Advanced PAMAM‑Quantum Dot Complexes for Rapid Clinical Immunoassays
- Tuning Spin‑Dependent Transport in γ‑Graphyne Nanoribbons with Strain: A DFT Study of Gold‑Electrode Junctions