Angle‑Insensitive Broadband Graphene Absorber Enabled by a Multi‑Groove Metasurface
Abstract
We present a numerically optimized, angle‑insensitive absorber that significantly boosts the broadband optical absorption of graphene across the entire visible spectrum (450–800 nm). By integrating a monolayer graphene sheet with a multi‑grooved silver metasurface separated by a 5‑nm PMMA spacer, the device achieves an average absorption of 71.1 %. The peak wavelength can be tuned by adjusting the groove depth, while the overall bandwidth is controlled by the number and depth of the grooves. Importantly, the structure retains high absorption (≈ 61 % at 60° incidence) despite variations in structural parameters.
Background
Graphene’s exceptional electronic, mechanical, and tunable optical properties make it a promising candidate for optoelectronic devices such as photodetectors and solar cells [1–3]. In the visible and near‑infrared regimes, however, graphene’s intrinsic absorption remains a modest 2.3 % at normal incidence [9], which limits the generation of electron‑hole pairs and photocurrent. Numerous strategies—epsilon‑near‑zero effects [10], cavity resonances [11–13], attenuated total reflectance [14], guided‑mode resonances [15–18], critical coupling [19–21], Fano resonances [22–23], plasmonic resonances [24–26], and magnetic resonances [27–29]—have been explored to enhance absorption, yet most yield narrow bandwidths due to their resonant nature. Recent studies have extended the absorption bandwidth by introducing additional light‑coupling channels, such as patch resonators [30] and multiple Ag nanodisk arrays [33]. Nevertheless, broadband, angle‑insensitive absorbers that cover the full visible spectrum remain scarce.
Methods
The proposed structure is illustrated in Fig. 1. It comprises a planar graphene sheet, a patterned silver film with five parallel grooves, and a polymethyl methacrylate (PMMA) spacer that mediates the electromagnetic coupling. The unit cell has period Λ, spacer thickness t, bottom silver thickness D, and groove geometry defined by width w and depths d1–d5. The PMMA refractive index is 1.49 [36] and silver optical constants are taken from Palik [37]. The graphene layer is modeled as an infinitesimally thin sheet with surface conductivity σg derived from the Kubo formula:
σg(ω)=σintra(ω)+σinter(ω), where σintra and σinter are given by equations (2) and (3). Simulation parameters include μc=0.15 eV, T=300 K, and τ=0.5 ps. Finite‑difference time‑domain (FDTD) calculations (Lumerical FDTD) with periodic boundary conditions in x and perfectly matched layers in z provide reflectivity R and transmissivity T. Total absorption A is calculated as 1−R, and graphene absorption Ag is obtained from the power flux through the graphene sheet: Ag=[Pup(λ)−Pdown(λ)]/Pin(λ).

a Schematic of the multi‑groove metasurface for angle‑insensitive broadband absorption. b Cross‑section of a unit cell.
Results and Discussion
Figure 2a shows the absorption spectrum of the metasurface without graphene; the structure behaves as a plasmonic absorber with enhanced absorption across the visible range. Adding graphene (Fig. 2b) dramatically increases absorption in the entire 400–800 nm window, yielding an average total absorption of 92.7 %. Importantly, the majority of the absorbed energy resides in graphene, achieving an average graphene absorption of 71.1 % between 450 and 800 nm. The enhancement is TM‑polarization dependent; no significant increase is observed under TE illumination (see Supplementary Fig. S1).

a Absorption of the metasurface without graphene. b Absorption spectra of the total structure, graphene, and silver with graphene. Parameters: Λ=300 nm, t=5 nm, w=30 nm, D=100 nm, d1=20 nm, d2=35 nm, d3=50 nm, d4=80 nm, d5=90 nm, N=10, θc=0°.
Field distributions (Fig. 3) reveal that the electric field concentrates along the groove corners (x‑direction), indicating an electric dipole resonance, while the magnetic field peaks inside the groove cavity (perpendicular to the xoz‑plane), corresponding to a magnetic dipole resonance. The simultaneous excitation of these modes in multiple grooves with different depths produces a broad absorption band spanning the visible spectrum.

Normalized electric (a,c,e) and magnetic (b,d,f) fields for λ=450 nm (a,b), 600 nm (c,d), and 750 nm (e,f). Red arrows indicate electric field direction. Parameters match Fig. 2.
To pinpoint the resonance mechanism, a single‑groove structure is analyzed. The cavity resonance condition for TM0 modes is 2neffdg+½λ=Mλ (M=1). The effective index neff is obtained from the even‑mode dispersion of a metal‑insulator‑metal waveguide (Eq. 6). Simulations confirm that increasing groove depth shifts the graphene absorption peak to longer wavelengths (Fig. 4). The peak positions agree closely with the theoretical prediction (slope 8.48 vs 10.46), demonstrating that groove depth directly tunes the absorption peak across the visible range. This validates the broadband mechanism arising from multiple dipole couplings.

Single‑groove absorption vs groove depth. (a) Graphene absorption peak vs depth. (b) FDTD peak positions (blue) and theoretical resonance (red). Parameters: Λ=300 nm, t=5 nm, w=30 nm, N=10.
The absorber’s robustness to spacer thickness is demonstrated in Fig. 5. Increasing the PMMA layer from 5 nm to 20 nm preserves the broadband absorption, though the band shifts slightly to longer wavelengths and the average absorption decreases due to weaker coupling.

Graphene absorption vs spacer thickness (other parameters as in Fig. 2).
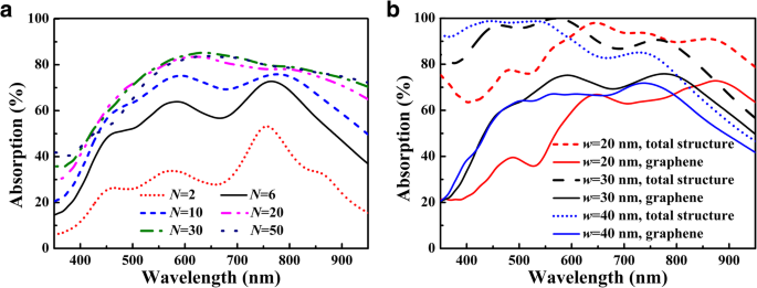
Figure 6 explores the influence of graphene thickness (number of monolayers N) and groove width w. Increasing N to 10 yields a substantial absorption boost, but further increases yield diminishing returns, saturating around N=30. The groove width primarily affects the resonance wavelength; the optimal width is 30 nm, with deviations of ±10 nm reducing performance.

a Graphene absorption vs N. b Absorption spectra vs groove width (N=10). Other parameters as in Fig. 2.
Angular performance is a key advantage: Fig. 7 shows that even at 60° incidence, the graphene absorption remains above 61 % across 450–800 nm. The dipole coupling mechanism within the grooves is largely invariant to incident angle, providing angle‑insensitive broadband absorption—an attribute rare among graphene‑based absorbers.

Graphene absorption vs incidence angle (other parameters as in Fig. 2).
Conclusions
We have demonstrated a multi‑groove metasurface that endows graphene with angle‑insensitive, broadband absorption spanning the entire visible spectrum. The design leverages multiple electric and magnetic dipole resonances within the groove cavities, enabling a 71.1 % average absorption between 450 and 800 nm. The absorption peak is tunable via groove depth, while the bandwidth is adjustable through the number and depth of grooves. Performance is robust against variations in spacer thickness, graphene layer count, groove width, and incident angle—making this architecture highly attractive for omnidirectional photodetectors, photovoltaics, and other graphene‑based optoelectronic devices.
Abbreviations
- FDTD
- Finite‑difference time‑domain
- MIM
- Metal‑insulator‑metal
- PBCs
- Periodic boundary conditions
- PMLs
- Perfectly matched layers
- PMMA
- Polymethyl methacrylate
Nanomaterials
- Hybrid Graphene/WO₃ and Graphene/CeOx Electrodes for High‑Performance Supercapacitors
- Nanoscale Friction of Graphene on Gold: Insights from Molecular Dynamics Simulations
- Optimizing a-IGZO TFTs for Large‑Area Displays with a Clean Etch‑Stopper Nano‑Layer Process
- Multiband and Broadband Light Absorption in Monolayer Graphene via Magnetic Dipole Resonances in Ag Nanodisk Metamaterials
- High‑Quality Few‑Layer Graphene Produced by a Simple Needle‑Valve Hydrodynamic Exfoliation
- Switchable Terahertz Metasurface: Dual‑Mode Absorber and Polarization Converter Using Graphene and Gold
- Achieving Near-Perfect Absorption in Graphene‑Metal Structures Using Plasmonic Interference
- Graphene Metasurface for Dual-Function Generation and Steering of Vortex Waves
- Design and Simulation of Tunable Metasurface Color Filters with Aluminum and Lithium Niobate
- Enhanced Broadband THz Absorption in Microbolometer Arrays via Integrated Split‑Ring Resonators