Decoding the Skin‑Core Chemical Architecture of Stabilized Polyacrylonitrile Fibers
Abstract
Despite half a century of progress in polyacrylonitrile (PAN)‑based carbon fiber technology, the precise chemical origins of the skin‑core heterogeneity remain poorly understood. Leveraging photo‑induced force microscopy (PiFM) – a nanoscale chemical imaging technique – we mapped the distribution of functional groups across the cross‑section of stabilized PAN fibers. Our findings reveal that the skin‑core structure emerges from a complex interplay of oxygen‑driven dehydrogenation in the outer skin, cyclization in the inner core, and the formation of a dense crystal interlayer at the interface. Subsequent oxidation progressively erodes this barrier, rendering the monofilaments increasingly homogeneous.
Introduction
PAN‑based carbon fibers (CFs) are prized for their exceptional tensile strength, Young’s modulus, and thermal stability, positioning them at the forefront of aerospace and high‑performance composite applications [1]. Commercially, CFs reach ~7 GPa, yet theoretical estimates based on ideal graphite suggest strengths up to 180 GPa [2]. This disparity is largely attributed to the skin‑core heterogeneity that leads to uneven stress distribution and premature failure [3]. Understanding the genesis of this structural defect is therefore critical for improving CF performance.
Carbon fiber manufacture encompasses spinning, thermal stabilization, and carbonization. Stabilization is the most chemically complex stage, involving cyclization, dehydrogenation, and oxidation [4]. Cyclization converts –C≡N to –C=N, dehydrogenation introduces –C=C, and oxidation generates carbonyl groups [5]. The resulting ladder structure is indispensable for subsequent carbonization. Since the final skin‑core morphology originates during stabilization, probing the chemical distribution at this stage is essential.
Prior studies have explored stabilization chemistry, but few have dissected the radial chemical gradients that give rise to skin‑core heterogeneity. For example, Lv et al. reported oxygen diffusion gradients as a key driver of skin formation [6], while Nunna et al. used Raman spectroscopy to map mechanical property gradients [7]. However, these works lacked nanoscale chemical resolution. Photo‑induced force microscopy, with ~10 nm lateral resolution, overcomes this limitation by simultaneously capturing topography and chemical contrast [8].
In this study, we employ PiFM to elucidate the formation mechanism of the skin‑core chemical structure in stabilized PAN monofilaments across a temperature gradient.

Simplified schematic of the photo‑induced force microscopy (PiFM) setup
Methods
Sample Preparation
Stabilization samples were harvested from a continuous fiber line at five temperature stages (210 °C, 220 °C, 230 °C, 240 °C, 250 °C). Each fiber segment was exposed for 8 min in its respective oven while the tow moved at 30 m h⁻¹, yielding samples labeled 01–05. The fibers (6 K HENGSHEN T700) were embedded in epoxy resin, mechanically ground, and polished to expose a pristine transverse section for PiFM analysis.
Characterization
PiFM measurements (Molecular Vista, USA) were conducted in non‑contact mode to preserve sample integrity and achieve sub‑10 nm resolution. Raman spectroscopy (Renishaw RM2000) with a 532 nm laser was employed to assess sp²/sp³ content via the D/G band ratio.
Results and Discussions
Figure 2b displays PiFM spectra in the 1400–1900 cm⁻¹ range at various radial positions. The 1580 cm⁻¹ band (combined –C=C and –C=N stretching) and the 1720 cm⁻¹ band (νC=O) both vary with depth, reflecting distinct reaction pathways across the fiber cross‑section. PiFM mapping at 1600 and 1730 cm⁻¹ provided nanoscopic visualisation of these gradients.

a Topography of sample 03; b PiFM spectra along the radial direction
In the early stabilization stage (samples 01–02), the skin exhibits markedly stronger 1600 cm⁻¹ intensity than the core, indicating higher unsaturated bond density due to oxygen‑driven dehydrogenation. A bright ring appears at the skin‑core interface in samples 02 and 03, attributable to a crystalline interlayer that elevates local –C=N and –C=C density (Lambert–Beer law). This layer also impedes oxygen diffusion, reinforcing the skin‑core disparity. As stabilization progresses (samples 04–05), the ring fades, and the fiber becomes chemically homogeneous because oxidation degrades the crystalline barrier, allowing uniform dehydrogenation and carbonyl formation.

Topography and PiFM maps (1600 cm⁻¹ & 1730 cm⁻¹) for samples 01–05

Proposed chemical pathways during stabilization
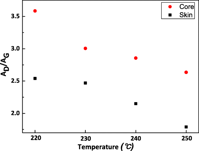
Quantitative analysis of the I₋C=O/I₋C=N/−C=C ratio (Table 1) confirms a progressive increase in conjugated bonds in the skin region, consistent with enhanced dehydrogenation. Raman D/G ratios further support higher sp² content in the skin, decreasing slightly as overall graphitization improves during extended stabilization.

Micro‑area PiFM analysis of samples 01–03

Raman D/G ratio across temperature series (220–250 °C)
Figure 6 synthesises the overall mechanism: cyclization dominates the core, while oxygen‑driven dehydrogenation governs the skin. The interfacial crystal layer amplifies the skin‑core contrast until oxidation erodes it, ultimately producing a chemically uniform fiber.

Overall formation mechanism of the skin‑core structure in stabilized PAN fibers
Conclusions
The skin‑core heterogeneity in stabilized PAN fibers originates from a spatially distinct reaction landscape: cyclization in the core and oxygen‑driven dehydrogenation in the skin. A transient crystalline interlayer further accentuates this contrast. Progressive oxidation during stabilization dismantles the barrier, homogenising the chemical structure and mitigating the heterogeneity that limits carbon fiber performance.
Abbreviations
- AFM:
Atomic force microscopy
- PAN:
Polyacrylonitrile
- PiFM:
Photo‑induced force microscopy
Nanomaterials
- Mechanism of Ordered, Densely Packed Nanoparticle Superlattices Formed by Gas‑Phase Deposition on Template‑Free Surfaces
- Acidic Micro‑Environments in Liposomes Significantly Enhance Curcumin Stability and Anticancer Efficacy
- Electronic Structure and Transport in InSe Nanoribbons: Edge Effects and Hydrogen Passivation
- Understanding the Formation of Au-Catalyzed InGaAs Nanowires via Solid-Source Two-Step CVD
- In‑Situ XRD and Electrical Analysis Reveal Phase Transitions and Monolayer Formation in Thin Oligothiophene Films
- Plasmon-Induced Transparency via Asymmetric Bowtie Resonators for On-Chip Optical Communications
- Digital Fabrication of Intelligent Multimaterial Fibers for Advanced Optoelectronics
- How Multi‑Walled Carbon Nanotubes Promote Tomato Lateral Root Development via Nitric Oxide Signaling
- Enhancing Thermoelectric Performance: Silicon Substrates with Highly Doped Porous Si via Metal-Assisted Chemical Etching
- Eco‑Friendly, Cost‑Effective Synthesis of Tin Oxide Nanoparticles: A Comprehensive Review of Methods, Formation Mechanisms, and Applications