GaN Cap Layer Thickness Alters Carrier Localization and Thermal Stability in InGaN/GaN Quantum Wells – Photoluminescence Insights
Abstract
Two InGaN/GaN multi‑quantum‑well (MQW) samples were grown by metal‑organic chemical vapor deposition (MOCVD) with identical conditions except for the thickness of a GaN cap layer deposited on each InGaN well. Sample A received a 30‑s cap while sample B received a 200‑s cap. Photoluminescence (PL) measurements revealed that the thin‑cap sample exhibited a markedly stronger PL intensity. In contrast, the thick‑cap sample displayed two distinct PL peaks under high excitation power, and its PL peak‑energy versus temperature curves transitioned from a reversed V‑shaped to a conventional S‑shaped dependence as the excitation power increased. Moreover, the thick‑cap sample’s thermal stability deteriorated at higher excitation powers. These anomalies are attributed to carrier redistribution between two classes of localized states, which arise from an inhomogeneous indium distribution in the thick‑cap sample. Deep localized states demonstrate superior thermal stability, whereas shallow localized states are more susceptible to thermal quenching. The pronounced indium inhomogeneity likely originates from the extended low‑temperature growth of the GaN cap, which hampers indium diffusion and promotes composition fluctuations.
Introduction
InGaN/GaN MQWs are the cornerstone of modern light‑emitting diodes (LEDs) and laser diodes (LDs) because of their bright emission and wide tunability [1–6]. Despite the challenges posed by threading dislocations and the internal electric fields stemming from spontaneous and piezoelectric polarization, these structures achieve remarkable external quantum efficiencies (EQEs) [7–10]. A key contributor to this performance is the localization of excitons within potential minima caused by indium composition fluctuations, which effectively create quantum‑dot‑like states in the wells [11].
While the role of localized states in radiative and non‑radiative recombination has been examined [12–14], a comprehensive understanding of how these states influence PL under varying excitation densities remains elusive. Atomistic simulations have shown that localization can enhance both radiative and Auger recombination, with Auger rates increasing by an order of magnitude [15]. Experimentally, carrier localization relaxes the k‑selection rule for Auger processes, thereby amplifying non‑radiative losses in polar InGaN/GaN QWs at high optical excitation [16].
Temperature‑dependent PL (TDPL) often exhibits an S‑shaped evolution of peak energy—a hallmark of carrier localization. Models such as the localized state ensemble (LSE) framework capture the interplay between carrier redistribution and temperature [17–21]. Since practical devices like LDs operate under high carrier densities, it is essential to probe PL behavior across a range of excitation powers to uncover the influence of localized state uniformity. This study addresses that gap by investigating two MQW samples with differing GaN cap thicknesses.
Methods
Materials
The MQWs were grown on c‑plane sapphire substrates in an AIXTRON 3 × 2 in closed‑coupled showerhead reactor. Trimethylgallium (TMGa), trimethylindium (TMIn), and ammonia (NH3) served as Ga, In, and N precursors, respectively, with H2 and N2 as carrier gases for the GaN and InGaN layers. Each MQW comprised two periods of InGaN/GaN QWs. During growth of the InGaN wells, TMIn flow was held constant. A GaN cap layer was then deposited at 710 °C, followed by a temperature ramp to 830 °C for the barrier. Sample A received a 30‑s cap, whereas sample B received a 200‑s cap. A schematic of the layer structure and growth parameters is shown in Fig. 1.

The cross‑sectional schematic of the two MQW structures.
Characterization
Average indium composition, period thickness, and crystal quality were extracted from high‑resolution X‑ray diffraction (HRXRD) using a Rigaku Ultima IV with Cu‑Kα radiation (λ = 1.54 Å, 40 kV, 30 mA). Temperature‑dependent PL (TDPL) and excitation‑power‑dependent PL (PDPL) were performed with a 405‑nm laser (spot ≈ 0.5 mm²) over a power range of 0.01–50 mW. Samples were mounted in a closed‑cycle He cryostat, allowing temperature control from 10 to 300 K.
Results and Discussions
Symmetrical ω‑2θ scans (Fig. 2a) confirm excellent layer periodicity, with satellite peaks extending to fourth order for both samples. Fitting the HRXRD data (Table 1) shows that increasing the cap thickness modestly increases the barrier thickness and the InGaN well thickness and composition, owing to the low growth rate (≈ 0.006 nm/s) and temperature (710 °C). However, the additional GaN cap can influence indium diffusion and evaporation, affecting the compositional uniformity of the wells.

Omega‑2θ scans and reciprocal‑space mapping (RSM) for both samples. (a) HRXRD Ω‑2θ curves on GaN (0002) for samples A and B. (b) RSM of GaN (10–15) for sample A.
RSM (Fig. 2b) demonstrates that the MQWs in sample A remain fully strained, with satellite peaks aligned vertically with the GaN peak. The RSM for sample B, while not shown, reveals a similar strain state.
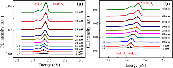
PDPL spectra at 10 K (Fig. 3) illustrate contrasting behaviors. Sample A displays a dominant peak (A₂) accompanied by a phonon replica (A₁) 92 meV lower. Sample B, at low excitation (< 5 mW), shows a single dominant peak (B₂). However, above 10 mW, an additional higher‑energy peak (B₃) emerges and progressively dominates, indicating a redistribution of carriers between two distinct localized state families.

PL spectra of samples A (a) and B (b) at 10 K for varying excitation powers.
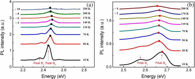
Temperature‑dependent PL at different powers (Fig. 4) confirms that the two‑peak phenomenon in sample B is pronounced below 200 K and fades near 300 K. The transition from B₂ to B₃ is abrupt, suggesting a “switching” behavior rather than a gradual shift.

PL spectra of sample B from 10–300 K at 5 mW (a) and 40 mW (b).
Examining the peak‑energy versus temperature (E‑T) curves (Fig. 5) reveals that sample A maintains a reversed V‑shaped dependence regardless of power, with a slight blue shift at higher excitation. Sample B, however, shows a reversed V shape at low power (≤ 5 mW) but transforms into a conventional S shape at 40 mW. This behavior defies the expectation that high excitation should erase localization; instead, it reflects carrier redistribution between deep and shallow localized states induced by indium inhomogeneity.

E‑T curves for samples A (a) and B (b) at various powers. Solid lines are LSE model fits; dots are experimental data.
Applying the localized state ensemble (LSE) model (E(T)=E₀–αT²/(θ+T)–xk_BT) with the transcendental relation for x (Eq. 2) yields fitting parameters listed in Table 2. In sample A, E₀ and Eₐ change modestly (≈ 19 meV and 18 meV, respectively) from 5 to 40 mW, reflecting enhanced polarization screening and carrier filling. In sample B, the changes are substantial (E₀ rises 73 meV, Eₐ 57 meV, and τr/τtr increases by orders of magnitude), indicating that distinct localized state populations dominate at low versus high excitation.
Schematic diagrams of carrier redistribution between deep (high indium) and shallow (low indium) localized states for sample B at (a) 5 mW and (b) 40 mW excitation, and at higher temperatures (c) 10 K and (d) 30 K.
Further, the integrated PL intensity versus temperature (Fig. 7) demonstrates that sample B quenches more rapidly than sample A, signifying poorer thermal stability. Interestingly, at low temperatures (< 125 K), the 5 mW curve exceeds the 20 mW curve, whereas the reverse holds at higher temperatures. This trend supports the notion that deep localized states (dominant at low power) possess higher radiative efficiency and thermal resilience compared to shallow states (dominant at high power).

Integrated PL intensity from 10–300 K at 5 mW (A, B) and 20 mW (A, B).
Collectively, these observations confirm that the thicker GaN cap promotes indium segregation, creating two classes of localized states: deep (high‑indium, robust) and shallow (low‑indium, fragile). The resulting carrier redistribution underpins the anomalous PL peak emergence, E‑T curve evolution, and thermal quenching behavior.
Conclusions
We fabricated InGaN/GaN MQWs with 30‑s and 200‑s GaN cap layers by MOCVD and investigated their structural and optical properties using HRXRD, TDPL, and PDPL. The 200‑s cap sample exhibited a secondary high‑energy PL peak only at elevated excitation powers, and its E‑T curves shifted from reversed V to S shape as power increased. Thermal quenching was more pronounced for the thick‑cap sample at high excitation, indicating weaker thermal stability of shallow localized states. These findings attribute the anomalies to a dual‑localized‑state system arising from inhomogeneous indium distribution, offering deeper insight into carrier dynamics in green‑emitting InGaN/GaN quantum wells and guiding the optimization of high‑efficiency devices.
Abbreviations
- HRXRD:
High‑resolution X‑ray diffraction
- LDs:
Laser diodes
- LEDs:
Light‑emitting diodes
- LSE:
Localized state ensemble
- MOCVD:
Metal‑organic chemical vapor deposition system
- MQWs:
Multi‑quantum wells
- NH3:
Ammonia
- PDPL:
Power‑dependent photoluminescence
- RSM:
Reciprocal space mapping
- TDPL:
Temperature‑dependent photoluminescence
- TMGa:
Trimethylgallium
- TMIn:
Trimethylindium
Nanomaterials
- Multicolor Light Generation in UV‑GaN Photonic Quasicrystal Nanopyramids with Semipolar InGaN/GaN Quantum Wells
- Surface Polarization in Al₂O₃‑Capped GaN/AlGaN/GaN Heterostructures Investigated via Angle‑Resolved X‑ray Photoelectron Spectroscopy
- Optimizing Silicon‑Doped Quantum Barriers Boosts Brightness and Efficiency of Eight‑Period InGaN/GaN Blue LEDs
- Tensile‑Stress Engineering Enhances Photoluminescence in InGaN/GaN Quantum‑Well LEDs on Silicon
- Temperature and Excitation Intensity Modulate Photoluminescence in InGaAs/GaAs Surface Quantum Dots
- Interface Roughness Scattering: Key Determinant of GaN Terahertz Quantum Cascade Laser Performance
- Uniform Indium Quantum Dots Formed via Two‑Step Cooling on InGaN Surfaces: A Novel MOCVD Approach
- Optical Performance of InGaN/GaN Quantum Wells: Effect of GaN Cap Layer Thickness
- Enhancing InGaN/GaN μLED Efficiency by Thinning Quantum Barriers to Reduce Surface Recombination
- Accelerometer vs Gyroscope: Key Differences & How to Choose the Right Sensor