Thickness‑Dependent Photocurrent and Optoelectronic Dynamics in TiO₂/Sb₂S₃/P3HT Planar Hybrid Solar Cells
Abstract
This study systematically investigates how photon absorption, internal electric field, charge transport pathways, and kinetic processes influence the performance of Sb₂S₃‑based photovoltaic devices. Using an n‑i‑p planar architecture (TiO₂/Sb₂S₃/P3HT), we examine photon‑to‑electron conversion—including illumination depth, internal field strength, drift velocities, kinetic energies, photo‑generated carrier concentrations, surface potential variations, transport times, and interfacial recombination lifetimes—to identify the key factors that dictate device photocurrent. Dark J–V curves, Kelvin probe force microscopy, and intensity‑modulated photocurrent/photovoltage dynamics reveal that the internal electric field dominates photocurrent when the Sb₂S₃ layer is thinner than the hole diffusion length. Beyond that threshold, regions of the Sb₂S₃ that cannot deliver holes to P3HT become the primary limitation, also reducing V_oc. Excess absorption in thicker Sb₂S₃ layers therefore paradoxically reduces photocurrent due to incomplete hole collection.
Introduction
Sb₂S₃ has emerged as a promising absorber for solid‑state thin‑film solar cells, thanks to its moderate bandgap of 1.7 eV and high absorption coefficient of 1.8 × 10⁵ cm⁻¹ [1, 2]. Thin films can be fabricated via spray pyrolysis, electrodeposition, chemical deposition, or thermal vacuum evaporation [3–6]. Recent device optimizations have achieved photo‑conversion efficiencies (PCE) of 5.7–7.5 % in Sb₂S₃ systems [1–10], yet these remain below the performance of dye‑sensitized and perovskite cells [11, 12]. Most efforts focus on device engineering, but a fundamental understanding of the interplay among absorption, internal field, transport paths, and kinetics is essential for further improvement. In this work, we employ the conventional TiO₂/Sb₂S₃/P3HT n‑i‑p architecture to dissect the charge generation and dissociation dynamics across a range of Sb₂S₃ thicknesses.
Varying the Sb₂S₃ thickness in TiO₂/Sb₂S₃/P3HT cells modifies (i) photon harvesting and carrier concentrations; (ii) internal electric field magnitude; (iii) electron/hole transport distances; and (iv) recombination rates [16–21]. While these effects have been qualitatively attributed to bulk resistance, photon absorption, and field strength, a quantitative analysis of thickness‑dependent photovoltaic parameters is lacking. We fabricated TiO₂/Sb₂S₃/P3HT n‑i‑p cells (Fig. 1) with Sb₂S₃ layers of 96–373 nm, examined the associated charge‑carrier transport processes, and identified the key factors limiting photocurrent and open‑circuit voltage.

Illustration of TiO₂/Sb₂S₃/P3HT n‑i‑p solar cell architecture. h⁺ denotes the hole and e⁻ the electron.
Methods
Reagents
Etched FTO‑coated glass substrates were sourced from Huanan Xiangcheng Co., Ltd., China. SbCl₃ (99 %), Na₂S₂O₃ (99 %), and titanium diisopropoxide (75 % in isopropyl alcohol) were purchased from Adamas‑beta. P3HT was obtained from Xi’an Polymer Company, China, and Ag (99.999 %) from Alfa.
Device Fabrication
Substrates were cleaned by ultrasonication in soap water, acetone, and isopropanol for 60 min each, followed by 30 min UV‑ozone treatment. A 0.15 M TiO₂ precursor solution was spin‑coated at 4500 rpm for 60 s, then annealed at 125 °C for 5 min and 450 °C for 30 min. Sb₂S₃ was deposited by chemical bath deposition (CBD) [5, 10, 22]: an acetone solution of SbCl₃ (0.3 M) was added dropwise to Na₂S₂O₃ (0.28 M) in an ice bath (~5 °C). The TiO₂‑coated FTO was inverted into the aqueous solution; once the solution turned orange, deposition proceeded for 1, 1.5, 2, or 3 h. The resulting Sb₂S₃ layers were rinsed with de‑ionized water, dried under N₂, and annealed for 30 min in a glovebox (O₂: 0.1 ppm, H₂O: 0.1 ppm) under N₂. Finally, P3HT (15 mg mL⁻¹) was spin‑cast at 1500 rpm for 60 s inside the glovebox, and MoO₃ (10 nm) followed by Ag (100 nm) electrodes were evaporated through a shadow mask.
Instruments and Characterization
XRD patterns were recorded on an MXP18AHF diffractometer (Cu Kα, λ = 1.54056 Å). SEM imaging employed a ZEISS GeminiSEM 300. Absorption spectra were obtained with a Shimadzu UV‑2600. J–V characteristics were measured under AM 1.5 illumination (100 mW cm⁻²) with a 94023A Oriel Sol3A simulator (Newport Stratford, Inc.). EQE spectra were measured from 300–900 nm using a Zolix QE/IPCE kit. IMPS/IMVS were recorded with an IviumStat.H workstation under ambient conditions, using a 28.8 mW cm⁻² white LED and a 10 % sinusoidal perturbation. KPFM mapping was performed with an Agilent SPM 5500 (MAC III controller) to probe surface potential (SP).
Results and Discussion
Deposition and Characterization of Sb₂S₃/TiO₂ Film
FE‑SEM images (Fig. 2a) confirm uniform Sb₂S₃ layers on TiO₂, with thicknesses tuned by CBD time. The average thickness d increases linearly with deposition time t (Fig. 2b), ranging from 96 to 373 nm. XRD patterns (Fig. 3) match orthorhombic Sb₂S₃ (JCPDS #42‑1393) and show no secondary phases. UV‑vis spectra (Fig. 4) reveal TiO₂ absorption onset at 386 nm (3.21 eV) and a TiO₂/Sb₂S₃ absorption edge near 750 nm. Absorption intensity rises with longer CBD time, consistent with increasing Sb₂S₃ thickness.

a Cross‑sectional FE‑SEM images of Sb₂S₃ films on TiO₂. b Plot of Sb₂S₃ thickness d versus CBD time t.

XRD patterns of Sb₂S₃ films deposited for 1–3 h.

UV‑vis absorption of TiO₂ and TiO₂/Sb₂S₃ films (1–3 h).
Solar Cells
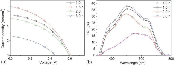
J–V curves (Fig. 5a) and performance metrics (Table 1) demonstrate that device efficiency peaks when Sb₂S₃ thickness is 175 nm (t = 1.5 h). The optimal cell achieves a PCE of 1.65 %, J_sc = 6.64 mA cm⁻², V_oc = 0.61 V, and FF = 40.81 %. This result aligns with prior studies [16, 26] that report optimal Sb₂S₃ thicknesses between 100–120 nm for TiO₂/Sb₂S₃/P3HT cells. Excessively thick Sb₂S₃ (> 280 nm) leads to marked performance degradation due to charge transport limitations.

a J–V curves and b EQE spectra for varying Sb₂S₃ thicknesses.
Charge Transport
J_sc rises sharply as Sb₂S₃ thickness increases from 96 to 175 nm, then declines for thicker layers. This trend reflects a balance between enhanced photon absorption (Fig. 6) and reduced internal electric field strength. Using the Beer–Lambert law, the absorbed photon fraction N_a/N_i rises from 61 % (96 nm) to 93 % (373 nm), yet J_sc drops from 6.64 to 2.64 mA cm⁻² when d = 373 nm, indicating that absorption alone cannot explain the behavior.

Illustration of Sb₂S₃ thickness d‑dependent illumination depth x and E_in.

a Semilogarithmic dark J–V plots. b Dependence of V_in, J_sc, N_a/N_i, E_ke, and E_kh on Sb₂S₃ thickness d.
The built‑in voltage V_in decreases with thickness, leading to a reduced internal field E_in = V_in/d. Calculated kinetic energies (E_ke, E_kh) drop below thermal energy (E_kt = 26 meV) for d ≥ 175 nm, indicating that field‑driven drift becomes negligible for holes. Consequently, J_sc declines despite higher absorption. When d exceeds the hole diffusion length (~180 nm), an “inferior” region emerges where holes cannot reach P3HT, further reducing photocurrent and V_oc.
KPFM measurements (Fig. 8) show that surface potential SP on Sb₂S₃ decreases with thickness, reflecting reduced electron diffusion to the surface. P3HT SP behaves oppositely: for thin Sb₂S₃, P3HT is photo‑excited and SP decreases with d; for d > 280 nm, SP rises again due to diminished hole collection. These observations confirm that thicker Sb₂S₃ hampers hole transport into P3HT, lowering both J_sc and V_oc.

Illustration of SP measurement of Sb₂S₃/P3HT interface by KPFM.
IMPS/IMVS analyses (Fig. 10) reveal that electron transit time τ_IMPS increases with Sb₂S₃ thickness, while recombination lifetime τ_IMVS remains constant, indicating that charge collection efficiency η_c = 1 – τ_IMPS/τ_IMVS decreases for thicker layers. This supports the conclusion that transport path, not recombination, limits performance when d > 175 nm. Electron drift is confined near the TiO₂ interface, whereas holes must traverse the full Sb₂S₃ thickness; beyond the hole diffusion length, the collection efficiency drops sharply.

a IMPS and b IMVS spectra. c Illustration of electron and hole diffusion for short/long wavelengths. d τ_IMPS and τ_IMVS versus CBD time.
Although the current PCE of TiO₂/Sb₂S₃/P3HT cells remains modest, the insights gained point to clear pathways for improvement: enhancing the built‑in field via alternative transport layers, increasing hole diffusion length (e.g., by adding conductive dopants), and optimizing interfacial engineering to promote efficient charge transfer.
Conclusion
This work elucidates the mechanisms governing photocurrent in TiO₂/Sb₂S₃/P3HT n‑i‑p solar cells across a wide range of Sb₂S₃ thicknesses. When the absorber is thinner than the hole diffusion length, absorption and internal electric field primarily control photocurrent; when thicker, a “dead” region forms that limits hole collection and reduces both J_sc and V_oc. KPFM and IMPS/IMVS measurements confirm that thicker Sb₂S₃ layers suffer from diminished electron surface potential and prolonged charge transport, leading to lower collection efficiency. These findings highlight the critical balance between photon harvesting and charge transport and provide a roadmap for optimizing Sb₂S₃‑based hybrid cells.
Abbreviations
- CBD:
Chemical bath deposition
- Ein:
Internal electric field
- Eke:
Kinetic energy of the electron
- Ekh:
Kinetic energy of the hole
- Ekt:
Thermal energy at ambient temperature
- EQE:
External quantum efficiency
- FF:
Fill factor
- IMPS:
Intensity‑modulated photocurrent spectra
- IMVS:
Intensity‑modulated photovoltage spectra
- J–V:
Current density–voltage
- Jsc:
Short‑circuit current
- KPFM:
Kelvin probe force microscope
- Na:
Absorbed photon
- Ni:
Incident photons
- P3HT:
Poly(3‑hexylthiophene‑2,5‑diyl)
- PCE:
Photoelectric conversion efficiency
- SEM:
Scanning electron microscopy
- SP:
Surface potential
- UV‑vis:
Ultraviolet‑visible spectroscopy
- ve:
Drift velocity of the electron
- vh:
Drift velocity of the hole
- Vin:
Built‑in voltage
- Voc:
Open‑circuit voltage
- XRD:
X‑ray diffraction
Nanomaterials
- Optimizing Gold Nanoparticle Placement in TiO₂ Enhances Dye‑Sensitized Solar Cell Efficiency
- Electrodeposited SnO₂ Thin Films on FTO: A Scalable Electron Transport Layer for High‑Efficiency Planar Perovskite Solar Cells
- Controlled Hydrothermal Synthesis of ZnO Nanocrystals for Enhanced Inverted Polymer Solar Cells
- High‑Efficiency Planar Perovskite Solar Cells via Sequential Vapor‑Grown Hybrid Perovskite Layers
- UV‑Ozone‑Treated Reduced Graphene Oxide Enhances PEDOT:PSS Hole Transport Layer in Inverted Perovskite Solar Cells
- Significant Efficiency Boost in Sb₂S₃ Planar Heterojunction Solar Cells via Rapid Selenylation
- Enhanced Up‑Conversion TiO₂ Nanomaterial Boosts Perovskite Solar Cell Efficiency to 16.3 %
- Dye‑Sensitized Solar Cells: Fundamentals, Advances, and Commercial Outlook
- Boosting Planar Sb₂S₃ Solar Cell Efficiency with Cs₂CO₃‑Modified TiO₂ Electron Transport Layer
- In Situ-Formed, Low‑Temperature Deposited Nb‑Doped TiO₂ Compact‑Mesoporous Layer Enhances Hysteresis‑Free, High‑Efficiency Perovskite Solar Cells