Optimizing Polycrystalline Ga₂O₃ Photodetectors on Sapphire: Impact of Post-Annealing on Electrical Performance
Abstract
Effects of post annealing on the physical and electrical properties of solar-blind polycrystalline gallium oxide (Ga2O3) ultraviolet photodetectors on the sapphire substrate are investigated. The grain size of poly-Ga2O3 becomes larger with the post annealing temperature (PAT) increasing from 800 °C to 1000 °C, but it gets smaller with further raising PAT to 1100 °C. A blue shift is observed at the absorption edge of the transmittance spectra of Ga2O3 on sapphire as increasing PAT, due to the incorporation of Al from the sapphire substrate into Ga2O3 to form (AlxGa1–x)2O3. The high-resolution X-ray diffraction and transmittance spectra measurement indicate that the substitutional Al composition and bandgap of (AlxGa1–x)2O3 annealed at 1100 °C can be above 0.30 and 5.10 eV, respectively. The Rmax of the sample annealed at 1000 °C increases about 500% compared to the as-deposited device, and the sample annealed at 1000 °C has short rise time and decay time of 0.148 s and 0.067 s, respectively. This work may pave a way for the fabrication of poly-Ga2O3 ultraviolet photodetector and find a method to improve responsivity and speed of response.
Background
Deep ultraviolet (DUV) solar-blind photodetectors have a wide range of applications such as monitoring ozone holes and detecting flames with the inherent advantage of strong anti-interference ability [1]. Compared with traditional semiconductor materials like silicon and germanium, wide bandgap semiconductor materials are considered to be ideal materials for solar-blind photodetectors which have better selectivity for ultraviolet light and better adaptability in harsh environments [2]. Lots of researchers have been focused on AlGaN, MgZnO, and Ga2O3 DUV solar-blind photodetectors [2,3,4]. Ga2O3 attracts great attention due to its superior optical properties, chemical stability, and high strength with a bandgap of 4.8 eV, which is a promising material for solar-blind photodetectors [5,6,7,8,9,10,11,12,13]. Ga2O3 thin films have been obtained on foreign substrates by molecular beam epitaxy (MBE) [5, 6], radio-frequency magnetron sputtering (RFMS) [7], pulsed laser deposition (PLD) [8, 9], atomic layer deposition (ALD) [10], halide vapor phase epitaxy (HVPE) [11], metal-organic chemical vapor deposition (MOCVD) [12], and sol-gel method [13]. Among these methods, RFMS deposition has been widely used to fabricate various films due to its advantages of easy controllability, high efficiency, harmless, and low cost. Therefore, we used this method to grow Ga2O3 thin films for DUV solar-blind photodetectors.
In this work, poly-Ga2O3 solar-blind photodetectors were fabricated on the sapphire substrate. It is demonstrated that the Al atoms are incorporated from the sapphire substrate into Ga2O3 to form (AlxGa1–x)2O3 after post thermal annealing. The structural properties, substitutional Al composition x, optical properties, and photodetector performance of poly-(AlxGa1–x)2O3 films with different post annealing temperatures (PATs) were investigated.
Method
In this experiment, poly-Ga2O3 thin films were grown on single-polished (0006)-oriented sapphire substrates by RFMS at 600 °C with the sputtering power of 120 W. The working pressure was kept constant at 5 mTorr and the flow of argon was 20 sccm throughout the deposition. The thickness of the films deposited on sapphire was measured to be around 164 nm. After the deposition, post thermal annealing was carried out in an air atmosphere for 1 h at 800 °C, 900 °C, 1000 °C, and 1100 °C. After annealing, the samples were cooled to room temperature with a speed of 100 °C/min. The 30 nm Ti and 80 nm Ni were then deposited by magnetron sputtering as an electrode. After the interdigital electrode patterning and etching, the metallic contacts on Ga2O3 were formed by the rapid thermal annealing at 470 °C in a nitrogen atmosphere [14]. The fabricated poly-Ga2O3 solar-blind photodetectors have metal-semiconductor-metal (MSM) interdigital electrodes as shown in Fig. 1. The length, width, and space between the fingers were 500 μm, 6 μm, and 15 μm, respectively, and the total length of the fingers is 1.8 cm.

The schematic of the photodetector based on poly-Ga2O3 thin film
Results and Discussion
The structural properties of the Ga2O3 films were investigated by high-resolution X-ray diffraction (HRXRD). Figure 2 presents the HRXRD curves for the samples that as-deposited and annealed at different temperatures. Peaks corresponding to \( \left(\overline{2}01\right) \), (400), (111), \( \left(\overline{4}02\right) \), (600), (510), and \( \left(\overline{6}03\right) \) planes of β-Ga2O3 crystals [15] reveal that the Ga2O3 film consists of monoclinic β-Ga2O3 polycrystalline with random orientation. The as-deposited sample exhibits a higher peak intensity for the (400) plane compared to the other planes. The PAT leads to the improvement of the intensities of \( \left(\overline{2}01\right) \), (400), \( \left(\overline{4}02\right) \), and \( \left(\overline{6}03\right) \) planes.

The XRD peaks of the samples without and with post thermal annealing at different temperatures
Figure 3a and b focus on the HRXRD peaks for \( \left(\overline{2}01\right) \) and \( \left(\overline{6}03\right) \) planes, respectively. The full width at half maximum (FWHM) of the peak was used to calculate the grain size by solving the Debye-Scherrer formula [16] to evaluate the dependence of the crystalline quality of Ga2O3 films on PAT. It can be seen from Table 1 that higher annealing temperature yields larger grain size as PAT increases from 800 °C to 1000 °C, but the grain size decreases slightly at the PAT of 1100 °C. The diffusion of Al from the Al2O3 substrates into Ga2O3 films underwent a PAT above 1000 °C has been widely observed [17,18,19]. As shown in Fig. 3c, the peaks of HRXRD shifting to the higher diffraction angle is due to that Al from the sapphire substrate diffuses into Ga2O3 film to form (AlxGa1–x)2O3 after annealing.

The XRD peaks of a\( \left(\overline{2}01\right) \) plane and b\( \left(\overline{6}03\right) \) plane of the samples before and after annealing. c peak position and d plane spacing of \( \left(\overline{2}01\right) \) and \( \left(\overline{6}03\right) \) planes
Based on the Bragg’s law, the plane spacing d of \( \left(\overline{2}01\right) \) and \( \left(\overline{6}03\right) \) planes of (AlxGa1–x)2O3 are calculated and shown in Fig. 3d, respectively. According to Ref. [20], the lattice parameters can be calculated by a = (12.21 − 0.42x) Å, b = (3.04 − 0.13x) Å, c = (5.81 − 0.17x) Å, β = (103.87 + 0.31x)°. The d of \( \left(\overline{6}03\right) \) is expressed as [21]
$$ \frac{1}{d^2}=\frac{h^2}{a^2{\sin}^2\beta }+\frac{k^2}{b^2}+\frac{l^2}{c^2{\sin}^2\beta }-\frac{2 hl\cos \beta }{ac\sin^2\beta }, $$ (1)where h = -6, k = 0, and l = 3. Based on the values in Fig. 3d, the x of poly-(AlxGa1–x)2O3 can be achieved. The bandgap Eg of (AlxGa1–x)2O3 can be calculated by
$$ {E}_{\mathrm{g}}(x)=\left(1-x\right){E}_{\mathrm{g}}\left[{Ga}_2{O}_3\right]+{xE}_{\mathrm{g}}\left[{Al}_2{O}_3\right]- nx\left(1-x\right), $$ (2)where Eg [Ga2O3] = 4.65 eV, Eg [Al2O3] = 7.24 eV, n = 1.87 eV [22]. The calculated x and Eg values of the poly-(AlxGa1–x)2O3 are shown in Table 2. An x value above 0.30 is achieved in the sample after a PAT at 1100 °C.
Atomic force microscope (AFM) images in Fig. 4 show that the surface root-mean-square (RMS) roughness values of the as-deposited film and the samples annealed at 800 °C and 900 °C are 3.62 nm, 10.1 nm, and 14.1 nm, respectively. The recrystallization caused by the high PAT results in a larger grain size, which can be additionally confirmed by a rougher surface.

AFM images of a as-deposited poly-Ga2O3 on sapphire, b samples annealed at 800 °C, and c 900 °C
The values of Eg of the (AlxGa1–x)2O3 thin films before and after annealing were characterized by measuring the transmittance spectra. As shown in Fig. 5a, the annealed samples have a blue shift at the absorption edge compared to the as-deposited one. A shorter λ is acquired with the increase of PAT, due to the incorporation of Al. The Ga2O3 samples have a very low transmittance even in the visible range, which might be due to the nonradiative complex absorption induced by the defects in the materials. The absorption coefficient α of the films is calculated by [23, 24]
$$ \alpha =\left(1/t\right)\ln \left[{\left(1-r\right)}^2/T\right], $$ (3)
a Transmittance spectra of as-deposited and annealed poly-(AlxGa1–x)2O3 samples b (αhν)2 vs. hν curves for poly-Ga2O3 samples. The extrapolation of the linear regions to the horizontal axis estimates the Eg values
where T is the transmittance, r is the reflectance, and t is the film thickness. The relation between absorption coefficient α and incident photon energy hν follows a power law of the form
$$ \left(\alpha h\nu \right)=B{\left( h\nu -{E}_{\mathrm{g}}\right)}^{1/2}, $$ (4)where B is the absorption edge width parameter [23]. By using these formulas, the relationship between hν and (αhν)2 can be obtained as shown in Fig. 5b. By extrapolating the linear regions of the plot to the horizontal axis, the Eg values of the samples are evaluated as 4.65 eV, 4.72 eV, 4.78 eV, 4.81 eV, and 5.10 eV. As shown in Table 2, the experimental Eg values of the samples are consistent with those calculated based on the HRXRD results.
To investigate the responsivity R and photocurrent Iphoto of poly-(AlxGa1–x)2O3 photodetectors, optical measurements varied different illumination λ from 220 to 300 nm with a Plight of 0.5 mW/cm2. The R is calculated by
$$ R=\left({I}_{\mathrm{photo}}-{I}_{\mathrm{dark}}\right)/\left({P}_{\mathrm{light}}S\right), $$ (5)where Idark is the dark current and S is the effective illuminated area. Figure 6 shows a visible blue shift in maximum R of the annealed samples compared to the as-deposited film. This proves that a larger Eg of polycrystalline samples has been obtained after annealing with the diffusion of Al from the sapphire substrate into Ga2O3 to form (AlxGa1–x)2O3. The Rmax of the device annealed at 1100 °C is 35 μA/W, which is smaller than the 0.037 A/W, 0.903 A/W, and 1.13 mA/W those were grown by MBE [5], PLD [25], and sol-gel method [26], respectively, due to the fact that the poly-Ga2O3 has a low transmittance, as shown in Fig. 5a. But compared to the as-deposited device, the Rmax of the device annealed at 1000 °C increases by about 500%. It is noted that R of devices decreases at wavelength shorter than that at Rmax, similar to that in [27]. This could be due to the energy loss occurs during the relaxation process of carriers in case of photon energy above Eg of materials. Rmax increasing with the PAT rising from 800 °C to 1000 °C is attributed to the increased grain size of the film.

R versus illumination optical λ for the poly-(AlxGa1–x)2O3 photodetectors at Vbias of 5 V
Figure 7 shows the photocurrent Iphoto, dark current Idark, and PDCR versus bias voltage Vbias for the photodetectors under the illumination intensity of 0.5 mW/cm2 and λ of 254 nm. As shown in Fig. 7a, Iphoto increases almost linearly with the Vbias. Furthermore, as PAT raises from 800 °C to 1000 °C, photodetectors gain a larger Iphoto. But the Iphoto of the device annealed at 1100 °C is lower than that of the as-deposited sample, due to the energy of the photon is less than bangap of the sample annealed at 1100 °C, which cannot generate photo-carriers. The annealed samples show a higher Idark than the as-deposited sample, as depicted in Fig. 7b. It is speculated that the recrystallization enhances the conductivity of poly-Ga2O3, resulting in the enhancement of both Iphoto and Idark of the photodetectors, and the PDCR of the sample with a PAT of 1000 °C is higher than those of the other samples. It can be noted that the dark current of the sample annealed at 900 °C is larger than others, which may be ascribed to the increased carriers with the PAT increasing, but with the PAT further increasing, interdiffusion of the Al and Ga takes place on a sapphire substrate, thus destroying the conductivity of the film [17].

aIphoto-Vbias, bIdark-Vbias, and c PDCR characteristics of the as-deposited poly-(AlxGa1–x)2O3 film and the samples annealed at different temperatures under the illumination intensity of 0.5 mW/cm2 and λ of 254 nm
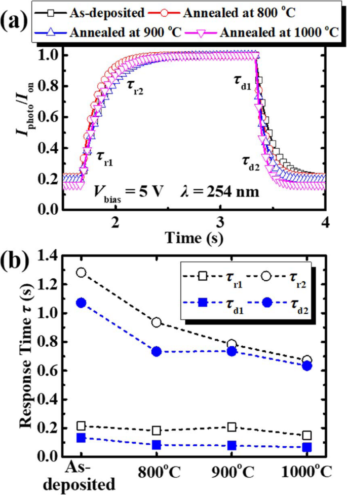
The photoresponse characteristics of the photodetectors are depicted in Fig. 8a. An illumination with λ of 254 nm was used during the measurements. The Plight, Vbias, and period were 0.5 mW/cm2, 5 V, and 5 s, respectively. There are two procedures of rising and decaying processes: fast-response and slow-response. Generally, the fast-response component can be attributed to the rapid change of carrier concentration as soon as the light is turned on/off [28], while the photo-generated carriers might be trapped by the defect levels in the bandgap, which could delay the carrier collection during the UV illumination and recombination as the light was turned off, resulting in the slow-response component. For a quantitative comparison study of the photodetector annealed at the different temperatures, the rise and decay processes can be fitted with a biexponential relaxation equation of the following type [29]:
$$ I={I}_0+{Ce}^{-t/{\tau}_1}+{De}^{-t/{\tau}_2}, $$ (6)
a Time-dependence of photoresponse characteristics b rise and decay time
where I0 is the steady-state photocurrent, t is the time, C and D are the constant, τ1 and τ2 are two relaxation time constants. The rise time τr1 and τr2 correspond to the fast-response and the slow-response, respectively, and the decay time τd1 and τd2 of each photodetector are calculated, as shown in Table 3. It is clearly seen that the response time decreases after the annealing process. The rise time τr1 is reduced from 0.215 s to 0.148 s, and the decay time τd1 is reduced from 0.133 to 0.067 s. It is ascribed to the fact that the annealing process reduces the oxygen vacancies concentration in the poly-Ga2O3 film [28]. The direct transition becomes the main source of photo-generated unbalanced carriers, thereby the fast-response time decreases. The decay time τd2 decreases from 1.072 to 0.634 s, indicating that there are fewer oxygen vacancies and other defects in the annealed samples as well, due to the time constant of the transient decay is generally governed by these traps. Further, the increased grain size with PAT can reduce the photo-carriers transportation time, improving the relaxation time properties of the devices.
Table 4 shows the comparison of the Idark, rise time (τr), and decay time (τd) of solar-blind photodetectors based on β-, α-, and ε-Ga2O3 thin films synthesized by RFMS [30] and other techniques [2, 6, 26, 31,32,33,34]. As seen, the device has both low dark current and fast response time is difficult, but the photodetector we fabricated presents the low dark current and fast response time.
Conclusions
In summary, we deposited poly-Ga2O3 thin film by magnetron sputtering on the c-plane sapphire substrate with post thermal annealing under different temperature; then, the ultraviolet poly-Ga2O3 photodetector was fabricated. Compared to the as-deposited Ga2O3 thin film, the annealed samples possess a larger grain size and a wider bandgap due to the recrystallization and the diffusion of the Al into Ga2O3. The Rmax of the device annealed at 1000 °C increases about 500% compared to the as-deposited device, and the sample annealed at 1000 °C shows a low dark current of 0.0033 nA under the bias of 5 V. Furthermore, the solar-blind photodetector fabricated on the film annealed at 1000 °C shows fast response time, with a rise and decay time of 0.148 s and 0.067 s, respectively. These results are useful to fabricate the DUV photodetectors with low dark current and fast response time.
Availability of Data and Materials
The datasets supporting the conclusions of this article are included within the article.
Abbreviations
- Ga2O3 :
-
Gallium oxide
- PAT:
-
Post annealing temperature
- DUV:
-
Deep ultraviolet
- MBE:
-
Molecular beam epitaxy
- RFMS:
-
Radio-frequency magnetron sputtering
- PLD:
-
Pulsed laser deposition
- ALD:
-
Atomic layer deposition
- HVPE:
-
Halide vapor phase epitaxy
- MOCVD:
-
Metal-organic chemical vapor deposition
- MSM:
-
Metal-semiconductor-metal
- HRXRD:
-
High-resolution X-ray diffraction
- FWHM:
-
Full width at half maximum
- AFM:
-
Atomic Force Microscope
- RMS:
-
Root-mean-square
Nanomaterials
- How Equivalent Series Inductance (ESL) Impacts Capacitor Performance in High‑Speed Digital Circuits
- Impact of Li/Nb Ratio on Hydrothermal Synthesis and Photocatalytic Performance of Li‑Nb‑O Compounds
- Tuning Morphology, Optics, and Conductivity of Al₂O₃/ZnO Nanolaminates Through Bilayer Thickness Control
- Impact of Etching Parameters on Ge/Si FinFET Channel Fabrication and Device Performance
- High‑Performance Perovskite Photodetector via Trilayer EA/TiO₂ Architecture
- Optimizing Germanium pMOSFET Performance with ZrO₂ Dielectrics: The Role of Post‑Metal and Post‑Deposition Annealing
- How Ambient Gases Influence Electrical Performance in Solution-Processed C8-BTBT Thin-Film Transistors
- Optimizing Cu₂SnS₃ Anode Nanomaterials: Impact of Annealing on Electrochemical Performance
- Advanced MXene Composite Film TENG Achieves Superior Electrical Output
- Boosting Carbon-Based Perovskite Solar Cells: Tin-Doped Quantum Dot Interfacial Layer Enhances Photovoltaic Efficiency