From Antiferromagnetic MnBr₂ to Ferromagnetic Mn₃Br₈ Monolayer: Achieving High Curie Temperature and Large MAE
Abstract
A pressing need in low energy spintronics is two-dimensional (2D) ferromagnets with Curie temperature above the liquid-nitrogen temperature (77 K), and sizeable magnetic anisotropy. We studied Mn3Br8 monolayer which is obtained via inducing Mn vacancy at 1/4 population in MnBr2 monolayer. Such defective configuration is designed to change the coordination structure of the Mn-d5 and achieve ferromagnetism with sizeable magnetic anisotropy energy (MAE). Our calculations show that Mn3Br8 monolayer is a ferromagnetic (FM) half-metal with Curie temperature of 130 K, large MAE of − 2.33 meV per formula unit, and atomic magnetic moment of 13/3μB for the Mn atom. Additionally, Mn3Br8 monolayer maintains to be FM under small biaxial strain, whose Curie temperature under 5% compressive strain is 160 K. Additionally, both biaxial strain and carrier doping make the MAE increases, which mainly contributed by the magneto-crystalline anisotropy energy (MCE). Our designed defective structure of MnBr2 monolayer provides a simple but effective way to achieve ferromagnetism with large MAE in 2D materials.
Introduction
Spintronics, exploiting the electron spin and the associated magnetic moment, has attracted extensive attention during the past few decades [1], because of its unique advantages over charge-based devices. The recent realization of two-dimensional (2D) ferromagnets with long-range magnetic ordering at finite temperature [2, 3] is of great significance for nanoscale spintronics and related applications and inspires tremendous efforts in investigations and fabrications of 2D ferromagnets [4,5,6,7,8,9].
The first two 2D ferromagnets with atomic-thickness was achieved in 2017, that is monolayer CrI3 [2] and bilayer Cr2Ge2Te6 [3]. Unfortunately, both their Curie temperatures are lower than the liquid-nitrogen temperature (77 K), which limits their realistic applications. Besides the Curie temperature, sizeable magnetic anisotropy and magnetic moment are also indispensable for practical application. Large magnetic anisotropy energy (MAE) implies the benefit for the magnetic ordering against the heat fluctuation, and the possibility to reduce the grain size per bit of information; small MAE may results in super-paramagnetic rather than ferromagnetic. Large magnetic moment provides higher sensitivity, higher efficiency, and higher density for spintronics. Heavy elements are more likely to bring in large MAE due to their strong spin-orbital coupling (SOC) effect [10]. A series of 2D FM materials composed of heavy elements have been predicted having large MAE, such as CrI3 [11], CrAs [12], CrSeI [13], CrSiTe3 [14], CrWI6 [15], FeBr2 and FeI2 monolayers [16]. Additionally, the local magnetic moment on Mn atom of MXenes Mn2NF2 and Mn2N(OH)2 is 4.5μB per Mn atom [17], which is the largest among the reported FM 2D materials.
Since CrI3 monolayer has been successfully synthesized, transition-metal halides have attracted much attentions [18,19,20,21,22,23,24,25,26,27]. Spin Seeback effect has been observed in bilayer MnF2 [20]; few layers of CrI3 has been implemented into the magnetic tunneling junctions (MTJ) [21]; NiCl3 monolayer has been predicted to be a novel Dirac spin-gapless semiconductor (SGS) [22]. Particularly, MnBr2 monolayer is antiferromagnetic with 0.25 meV MAE along the perpendicular direction to the plane based on the first-principles calculations [16]; Mn2+ ions are in the d5 high-spin state with magnetic moment of 5μB [16, 26]. These results imply the potentials of MnBr2 as monolayer ferromagnet with large magnetic moment. The key problem is how to convert the AFM coupling between Mn ions into FM coupling.
Significant density of Mn vacancy was observed experimentally in LaMnO3 thin films [28], and the concentration of defects can be controlled by regulating the synthesis process deliberately via irradiation of high energy particles, or chemical etching [29]. In this context, we designed the Mn3Br8 monolayer by inducing single Mn vacancy to MnBr2 monolayer. The vacancy changes the coordination structure of the Mn atom and breaks the d5 configuration, which may convert the antiferromagnetic coupling into ferromagnetic coupling and bring in large MAE due to the heavy Br atom. As we expect, Mn3Br8 monolayer is FM and has large MAE of − 2.33 meV per formula unit, the magnetic moment for each Mn atom is 13/3μB. Considering the easy introducing of strain via bending flexible substrates [30,31,32,33], elongating elastic substrate [33,34,35], exploiting the thermal expansion mismatch [33, 36], and so on [33], and the effective control of spin polarization via electrostatic doping [37, 38], we also studied the Mn3Br8 monolayer under biaxial strain and carrier doping. Our results show that Mn3Br8 monolayer maintains to be FM with Curie temperature increasing under small biaxial strain. Plus, both biaxial strain and carrier doping can make the MAE increases.
Computational methods
All the calculations in the present study were performed by adopting the spin-polarized density function theory (DFT) method as implemented in the Vienna ab-initio simulation package (VASP) [39]. Interactions between electrons and nuclei were described by the projector augmented wave (PAW) method [40, 41], and the electronic exchange–correlation interactions were described by the Perdew–Burke–Ernzerhof (PBE) functional within the generalized gradient approximation (GGA) method [42]. The Hubbard U terms were adopted to calculate the strong-correlated interaction [43]; an effective on-site coulomb interaction parameter (U) of 4 eV and an exchange energy (J) of 1 eV which was adopted for studying Mn-incorporated 2D materials were used for the Mn-d electrons [44]. The Brillouin zone integration was carried out by adopting the 9 × 9 × 1 k-mesh based on the Monkhorst–Pack scheme [45]. The phonon spectrums were calculated using the Phonopy code [46] which is implemented within the VASP package. A vacuum space of 20 Å was added along the direction perpendicular to the surface of the monolayer to avoid the interaction between the adjacent layers. The cutoff energy for the plane wave basis set was set as 500 eV. The convergence criterion for the total energy and force was set as 1 × 10–6 eV and 0.01 eV/Å, respectively.
Results and discussions
Cleavage energy, ground state, and stability of the MnBr2 monolayer
The optimized lattice constants of bulk MnBr2 are a = b = 3.95 Å, consistent with the previous experimental result (a = b = 3.87 Å) [25]. We firstly explored the feasibility of exfoliating MnBr2 monolayer from the bulk MnBr2. Figure 1a presents the well-known, effective, and widely approved method of calculating the cleavage energy [47,48,49]. Specifically, the cleavage energy was obtained by calculating the variation of the total energy of the ground state with respect to the separation distance \(d\) between the two fracture parts as shown in Fig. 1b, the lattice constants of a and b are fixed as the values at the equilibrium state of bulk MnBr2. The interlayer long-range vdW interactions was described by the Grimme’s DFT-D2 scheme [50, 51]. The total energy increases with separation distance and then slowly converges as shown in Fig. 1b. The calculated cleavage energy is 0.10 J/m2, which is smaller compared with the cleavage energy between the two fracture parts of graphite (0.35 J/m2) [52], demonstrating the feasibility of obtaining MnBr2 monolayer via micro-mechanical exfoliating method.

a Bulk model of MnBr2 used to calculate the cleavage energy and b the cleavage energy as a function of the separation distance \(d\) between two fractured parts (the equilibrium interlayer distance is set as 0). c Top and side views, d phonon spectrum, e electronic band structure for both spin channels and f projected density of states (PDOS) of Mn-d orbitals and Br-p orbitals for MnBr2 monolayer. Δh represents the vertical distance between two halide planes. The primitive cell is circulated in black dash lines. The Fermi level for band structure and DOS is set as 0 eV
MnBr2 monolayer has the \(C_{{{3}v}}\) symmetry as shown in Fig. 1c; each Mn atom is surrounded by 6 neighboring Br atoms, forming an octahedral [MnBr6]4− unit. As shown in Fig. 2a and b, three possible magnetic configurations, namely non-magnetic (NM), ferromagnetic (FM), and antiferromagnetic (AFM) states are considered. Both high-spin and low-spin states of the Mn ion are considered. Our results show that the Mn ions of FM state are in low-spin with d1 configuration, while the Mn ions in AFM state are in high-spin with d5 configuration. The ground state of MnBr2 monolayer is the AFM state, which is more stable than the NM and FM states by 3.91 eV and 0.72 eV per formula unit, respectively (Additional file 1: Table. S1). The MAE is 0.25 meV, the positive value indicating that the easy magnetization axis is along the out-of-plane directions, agreeing with the previous result [16]. The optimized lattice constants are a = b = 3.95 Å, same with the lattice constants of the bulk MnBr2. The Mn-Br bond length is 2.73 Å, and the vertical distance between the two halide planes is 3.03 Å.

Schematic diagrams for a ferromagnetic and b antiferromagnetic configurations for MnBr2 monolayer
The stability of the MnBr2 monolayer was further investigated by calculating the formation energy, phonon spectrum, and elastic constants. The formation energy is calculated as:
$$E_{{{\text{form}}}} = E_{{{\text{MnBr}}_{{2}} }} - E_{{{\text{Mn}}}} - 2E_{{{\text{Br}}}}$$where \(E_{{{\text{MnBr}}_{{2}} }}\) represents the energy of MnBr2 monolayer, \(E_{{{\text{Mn}}}}\) and \(E_{{{\text{Br}}}}\) are the energies of Mn and Br atoms in their bulk structures, respectively. The calculated \(E_{{{\text{form}}}}\) is − 1.87 eV per atom; the negative value means that the formation is exothermic and MnBr2 monolayer is energetical favorable. Plus, our calculated phonon spectrum (Fig. 1d) for MnBr2 monolayer shows no negative frequency in the whole Brillouin zone, indicating dynamically stable. Additionally, the calculated elastic constants (Additional file 1: Table S2) comply with the Born-Huang criteria [53] of \(C_{11} > 0\), \(C_{11} C_{22} - C_{12}^{2} > 0\) and \(C_{66} > 0\), confirming that MnBr2 monolayer is mechanically stable. The calculated in-plane stiffness is 26.98 J/m2, about 75% of the MnPSe3 (36 J/m2) [49], and 15% of MoS2 monolayer (180 J/m2) [54]. Plus, MnBr2 monolayer demonstrates higher flexibility, and the ability of sustaining larger tensile strain comparing with MoS2 monolayer (11%) [54]. This may attributes to ionic bonds for MnBr2 monolayer against the covalent bonds of MoS2 monolayer. The analysis of the deformation related to elastic constants indicates it can withstand its weight (See details in the SI).
The electronic band structure of MnBr2 monolayer is shown in Fig. 1e, it indicates that MnBr2 monolayer is a semiconductor with a direct band gap of 3.35 eV. Both valence band maximum (VBM) and conduction band minimum (CBM) are located at the \(\Gamma\) point. To gain insight of the electronic structures, projected density of states (DOS) for the Mn-d and Br-p orbital are presented in Fig. 1f. The five d orbitals of Mn ion split into \(a(d_{{z^{2} }} )\), \(e_{1} (d_{xz} + d_{yz} )\), and \(e_{2} (d_{xy} + d_{{x^{2} - y^{2} }} )\) groups according to the \(C_{{{3}v}}\) symmetry. The bader charge analysis suggests that each Mn atom donates two electrons to the two neighboring Br atoms. Thus, the five d-orbitals in one spin-channel are fully occupied by the five d-electrons of the Mn2+ ions. Correspondingly, the two Mn2+ ions in the unit cell are in the d5 high-spin state with the magnetic moment of 5μB/− 5μB, the Br1− ions are in the low-spin state of 4p6 with neglectable magnetic moment of − 0.02μB (Additional file 1: Fig. S1(a)). According to the Goodenough–Kanamori–Anderson (GKA) rule, such configuration always provides antiferromagnetic coupling [55].
Stability, electronic, and magnetic properties of Mn3Br8 monolayer
Mn vacancy was introduced to break the d5 configuration of the Mn2+ ions. Single Mn vacancy is introduced in the \(2 \times 2 \times 1\) supercell of MnBr2 monolayer, which gives out the Mn3Br8 monolayer. As shown in Fig. 3a, each Mn atom has four nearest neighboring Mn atoms and binds to six Br atoms, forming a distorted octahedral [MnBr6] unit. Five magnetic states (NM, FM, FIM, AFM-1, and AFM-2) shown in Fig. 4 were considered. Our results indicate that the FM state is the ground state, which is more stable than the other four by 9.84 eV, 32.90 meV, 129.85 meV, and 97.65 meV per formula unit, respectively. The optimized lattice constant is still 3.95 Å. Different from MnBr2 monolayer, Mn3Br8 monolayer has 2 types of Mn-Br bonds (Fig. 3b). The bonds between Mn atom and the two central Br atoms (\(d_{{\text{Mn-Br1,2}}}\)) are 2.76 Å, while the other Mn–Br bonds (\(d_{{\text{Mn-Br3,4,5,6}}}\)) are 2.59 Å. The vertical distance between the two halide planes is 3.33 Å.

a Top and side views of Mn3Br8 monolayer, \(\Delta h\) represents the vertical distance between two halide planes. The primitive cell is circulated in black dash lines; the green arrow lines show two different paths of the super-exchange interaction. b Structure of the distorted MnBr6 octahedron. c Formation energies for single Mn vacancy as a function of chemical potential of Mn (μMn)

Schematic diagrams for a ferromagnetic, b antiferromagnetic-1, c ferrimagnetic,and d antiferromagnetic-2 configurations for Mn3Br8 monolayer
To verify the feasibility of inducing Mn vacancy, we firstly calculated the vacancy formation energies under Mn-rich and Br-rich environments via following equations,
$$E_{{F({\text{Mn-rich}})}} {\text{ = }}E_{{{\text{Mn}}_{3} {\text{Br}}_{8} }} - (4 \times E_{{{\text{MnBr}}_{{\text{2}}} }} - \mu _{{{\text{Mn-max}}}} )$$$$E_{{F{\text{(Br-rich)}}}} { = }E_{{{\text{Mn}}_{{3}} {\text{Br}}_{{8}} }} - (4 \times E_{{{\text{MnBr}}_{{2}} }} - \mu_{{\text{Mn-min}}} )$$where \(E_{{{\text{Mn}}_{{3}} {\text{Br}}_{{8}} }}\) and \(E_{{{\text{MnBr}}_{{2}} }}\) represent the total energies of the Mn3Br8 and MnBr2 monolayers, \(\mu_{{\text{Mn-max}}}\) is the chemical potential of Mn under Mn-rich environment, which is calculated as the energy of Mn atom in its bulk structure, \(\mu_{{\text{Mn-min}}}\) is the chemical potential of Mn under the Br-rich environment, which is calculated as:
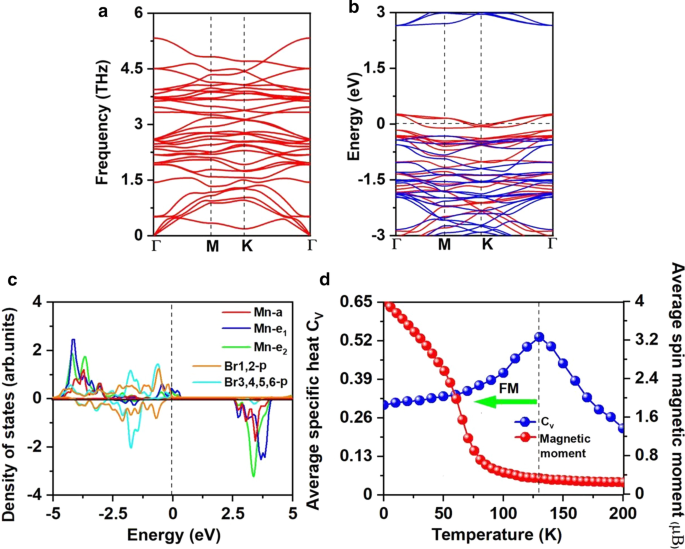
$$\mu_{{\text{Mn-min}}} = E_{{{\text{MnBr}}_{{2}} }} - 2 \times \mu_{{\text{Br-max}}}$$where \(\mu_{{\text{Br-max}}}\) is the chemical potential of Br and calculated as the energy of Br atom in gas phase. As shown in Fig. 3c, the formation energies under Mn-rich/Br-rich environment are 6.30/0.71 eV per Mn vacancy, indicating that the formation of Mn vacancy is energetically more favorable under the Br-rich environment. Indeed, the S vacancy has been experimentally achieved in MoS2 monolayer [56], and the predicted formation energy of S vacancy under the S-rich environment is 2.35 eV [57]. Moreover, structuring porous nano-architecture like β-FeOOH/PNGNs (porous nitrogen-doped graphene networks) can induce significant Fe-vacancy [58], and the Bridgman method was adopted to induce ordering Fe vacancy. We also hope that these methods are applicable for inducing Mn vacancy [59]. Plus, there is no negative frequency found in the phonon spectrum of Mn3Br8 monolayer shown in Fig. 5a, proving the dynamical stability. These results approve our design of introducing Mn vacancy to bring in ferromagnetism.

a Phonon spectrums, b spin-resolved electronic band structure, and c projected density of states (PDOS) of Mn-d orbitals and Br-p orbitals for Mn3Br8 monolayer. d On-site magnetic moments of Mn atoms and the specific heat Cv as function of temperature based on Heisenberg model for Mn3Br8 monolayer. The Fermi level for band structure and PDOS is set as 0 eV
The ferromagnetism of Mn3Br8 monolayer attributes to the FM super-exchange interaction. According to the Goodenough–Kanamori–Anderson (GKA) rule [55], super-exchange interaction between the Mn ions is FM when the Mn-Br-Mn angle is around 90°. In such configuration (Additional file 1: Fig. S2), the Mn-d orbital tends to AFM couples with different orthogonal Br-p orbitals, and thus the indirect Mn–Mn magnetic coupling is expected to be FM. But if each Mn ion has 5 unpaired electrons like MnBr2 monolayer, super-exchange is AFM although the Mn-Br-Mn angle is close to 90° because there are no empty spin-up Mn-d orbitals left in MnBr2 monolayer and spin-up d-electrons cannot hop between the neighboring Mn site [60]. There are existing two different super-exchange interaction paths in Mn3Br8 (Fig. 3a), and both are FM. One involves central Br1,2 atoms with Mn-Br bond lengths of 2.76 Å and Mn-Br-Mn angles of 87.5°; the other one involves Br3,4,5,6 atoms with Mn-Br bond length of 2.59 Å and Mn-Br-Mn angles of 95°. The hybridized interactions between p orbitals of Br3,4,5,6 atoms and Mn-d orbitals are stronger than that of p-d hybridization involving Br1,2 atoms, as shown in Fig. 5c, particularly from − 2 eV to − 1.4 eV. While from 1.4 to − 0.9 eV, the p-d hybridization involving Br1,2 atoms are dominated.
The bader charge analysis suggests that each Mn atom donates 8/3 electrons to the neighboring Br atoms. Thus, the Mn ions are in the Mn8/3+ state. As shown in Fig. 5c, the 13/3 electrons of each Mn ion all fill in the spin-up channel of the d-orbital, while the Br1− ions are in the low-spin state of 4p6. Thus, the magnetic moment of each Mn8/3+ ion is 13/3μB; the magnetic moment of Br1− ions are neglectable (Additional file 1: Fig. S1(b)). Inducing ferromagnetism by vacancy can also be observed for the d0 systems, like ZnS and ZnO [61, 62], single vacancy can induce magnetic moment as large as 2μB [61]. For each Mn ion, 2/3 d-orbital is unoccupied; the spin-up channel of both \(e_{1}\) and \(e_{{2}}\) orbitals are partially occupied and crossing the Fermi level, resulting in half-metallicity. The half-metallic character also can be observed from the spin-resolved electronic band structure shown in Fig. 5b. The spin-up channel is metallic, while the spin-down channel is semiconducting with the indirect band gap of 2.97 eV; the VBM/CBM locates at the \({\text{M}}\)/\(\Gamma\) point. The value of the band gap is close to those of the MnP (2.86 eV) [63], MnAs (2.92 eV) [63], and Ni2NO2 (2.98 eV) [64], which is large enough to prevent the thermally excited spin-flip. Comparing with the MnBr2 monolayer, both the VBM and CBM of the semiconducting channel get more closer to the Fermi level. The CBM is still dominated by the Mn atoms, while the VBM is dominated by the new Br1,2 atoms. Meanwhile, the semiconducting channel converts from direct to indirect, and the band gap reduces. The similar phenomenon was observed in MnCl2 monolayer with H functionalization [60].
The magnetization directions are determined by the magnetic anisotropy energy (MAE). The MAE of solids arises from two contributors, namely the magneto-crystalline energy (MCE) related to the spin–orbit coupling (SOC) and the magnetic dipolar anisotropy energy (MDE) attributed by the magneto-static dipole–dipole interaction. The MDE in the 3D isotropic materials, such as bcc Fe and fcc Ni, is very small. But for low-dimensional materials composed of transition metal atoms with large magnetic moment, the MDE should not be ignored [65,66,67]. The MCE is defined as the difference between the magnetization energy along the in-plane (100 or 010) and out-of-plane (001) directions by taking the SOC into account. The MDE is obtained as the difference of \(E_{d}\) between the in-plane and out-of-plane magnetizations. \(E_{d}\) in atomic Rydberg units is given by [65, 66]
$$E_{d} = \sum\limits_{ij} {\frac{{2m_{i} m_{j} }}{{c^{2} }}} M_{ij}$$where the speed of light, \(c = 274.072\), \(i/j\) are the atomic position vectors in the unit cell, and \({m}_{i}/{m}_{j}\) is the atomic magnetic moment (μB) on site \(i/j\). The magnetic dipolar Madelung constant \(M_{ij}\) is calculated via
$$M_{ij} = \sum\limits_{R} {\frac{1}{{\left| {R + i + j} \right|^{3} }}} \left\{ {1 - 3\left. {\frac{{\left[ {(R + i + j) \cdot \mathop {m_{i} }\limits^{ \wedge } } \right]^{2} }}{{\left| {R + i + j} \right|^{2} }}} \right\}} \right.$$where \(R\) are the lattice vectors. In a 2D material, since all the \(R\) and \(i\) are in-plane, the second term would be zero for the out-of-plane magnetization, resulting in the positive \(M_{ij}\), while \(M_{ij}\) is negative for an in-plane magnetization [67]. Therefore, the MDE relates to the magnetic moment of transition metal and always prefers the in-plane magnetization.
The calculated MCE for Mn3Br8 monolayer is − 1.90 meV per formula unit (Fig. 6a), much larger than those of bulk Fe (0.001 meV per atom), and Ni (0.003 meV per atom) [68], and larger than that of the Fe monolayer on Rh (111) (0.08 meV per atom) [69], suggesting that the magnetization of the Mn3Br8 monolayer is thermal stable. The relationship between the MCE and the azimuthal angle can be described by the following equation [70]:
$${\text{MCE}}(\theta ) = A\cos^{2} (\theta ) + B\cos^{4} (\theta )$$
Variation of magneto-crystalline anisotropy energy (MCE) a with respect to azimuthal angle and b in the space for Mn3Br8 monolayer
where \(A\) and \(B\) are the anisotropy constants and \(\theta\) is the azimuthal angle. The fitting result is shown in Additional file 1: Figs. S3. Additionally, the evolution of MCE with the spin axis rotating through the whole space is illustrated in Fig. 6b. MCE within the xy plane shows no difference, but reaches the maximum value along the direction perpendicular to the xy plane, confirming the strong magnetic anisotropy. The MDE is − 0.43 meV per formula unit, and MAE (MCE + MDE) is − 2.33 meV per formula unit. The negative value indicates that the easy magnetization axis is along the in-plane directions. The MDE does not change the magnetization direction, but enhances it. Additionally, the MAE of Mn3Br8 monolayer is much larger than that of MnBr2 monolayer, proving again the effectiveness of our design.
We further calculated the \(T_{c}\) for FM Mn3Br8 monolayer by performing the Monte Carlo (MC) simulations based on the Heisenberg model, which has been proven to be the effective method for predicting \(T_{c}\) for 2D materials [11, 15, 48, 58, 71,72,73,74,75,76]. Our estimated \(T_{c}\) of CrI3 monolayer is 42 K (Additional file 1: Fig. S4) [76], agreeing well with the experimental measured value [2] and previous calculation results [15, 58, 71, 72, 74, 76], which proves the accuracy of our adopted method. The spin-Hamiltonian including the nearest neighboring (NN) magnetic interaction is described as
$$H = - \sum\limits_{i,j} {JM_{i} M_{j} }$$where \(J\) is the NN magnetic exchange parameter, \(M_{i/j}\) is the magnetic moment of Mn ions and integral close to the number of the spin polarized electrons based on Monte Carlo method [71, 77, 78], \(i\) and \(j\) stand for the NN pair of Mn ions. The magnetic coupling parameter \(J\) is calculated via the energy difference between the FM and AFM states as
$$J{ = }\frac{{E_{{{\text{AFM1}}}} - E_{{{\text{FM}}}} }}{{16M^{2} }}$$The calculated \(J\) of NN Mn ions is 1.01 meV; the positive value indicates the preferring of FM coupling.
The calculated \(J\) of the NN Mn ions and the \(100 \times 100 \times 1\) supercell containing 20,000 magnetic moment vectors were adopted to perform the MC simulations. The simulations at each temperature lasts for 105 steps. Each magnetic moment vector rotates randomly in all directions. Figure 5d shows the evolution of specific heat defined as \(C_{{_{V} }} = {{\left( {\left\langle {E^{2} } \right\rangle - \left\langle E \right\rangle^{2} } \right)} \mathord{\left/ {\vphantom {{\left( {\left\langle {E^{2} } \right\rangle - \left\langle E \right\rangle^{2} } \right)} {K_{B} T^{2} }}} \right. \kern-\nulldelimiterspace} {K_{B} T^{2} }}\) with temperature, from which we obtained the \(T_{c}\) of 130 K for Mn3Br8 monolayer by locating the peak position of \(C_{v}\), higher than the liquid-nitrogen temperature (77 K), and \(T_{c}\) of CrI3 (45 K) [2] and Cr2Ge2Te6 (28 K) [3], CrX3 (X = F, Cl, Br) (36 ~ 51 K) [11], CrXTe3 (X = Si, Ge) (35.7 K, 57,2 K) [48]. Our calculations demonstrate that the FM Mn3Br8 monolayer has the large MAE and Curie temperature higher than the liquid-nitrogen temperature.
Mn3Br8 monolayer under biaxial strain and carrier doping
Strain engineering has been proven applicable for many 2D materials, and effective to alter the structural parameters, such as the bond lengths and angles, and tune the electronic and magnetic properties. In this context, we investigated Mn3Br8 monolayer under the biaxial strain ranging from − 5% to 5%. It turns out that Mn3Br8 monolayer under biaxial strain from − 5 to 5% maintains to be FM and the atomic magnetic moment hardly changes. As shown in Figs. 7a and c, the angles between two Mn atoms and Br1,2 atoms (θMn-Br1,2-Mn) are 84°–90°, which increases as the strain and gradually approaches 90°. The Mn–Br–Mn angles involving Br3,4,5,6 atoms (θMn-Br3,4,5,6-Mn) gradually deviate from 90°, ranging from 90° to 100°. Thus, super-exchange interactions between the Mn ions mediated via different orthogonal Br-p orbitals are still FM.

Variations of angles between two Mn and Br atoms, the distance between Mn and Br atoms, and distance between nearest neighboring Mn atoms with respect to the applied biaxial strain and carrier doping. Variation of a angle and c distance with respect to biaxial strain, variations of b angle and d distance with respect to carrier doping. Positive and negative values of carrier doping represent the electron and hole doping, respectively
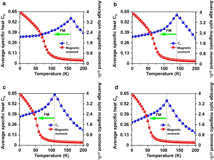
Both the Mn–Mn and Mn-Br distances increase monotonically as the strain changing from –5% to 5%. Correspondingly, the exchange parameter under the biaxial strain presented in Fig. 8a decreases with the biaxial strain changing from –5% to 5% and reach the largest value (1.18 meV) under –5% biaxial strain. The Curie temperature of Mn3Br8 monolayer under –5% biaxial strain is 160 K (Fig. 9a). Particularly, the Mn-Br bonds under the increasing tensile strain become longer, and the angles of Mn-Br3,4,5,6-Mn deviate from 90°, which are the main reason why the FM super-exchange interaction becomes weaker. Consequently, the Curie temperature decreases. It is similar with CrPTe3 and FePS3 monolayers [79]. Additionally, the MDE decreases with the increasing strain (Additional file 1: Fig. S5(b)); the MAE under –1% biaxial strain is the largest (–3.04 meV). The –5–5% strain does not cause large structural deformation for Mn3Br8 monolayer, and the morphology of its band structures hardly changes. Mn3Br8 monolayer keeps to be half-metallic. Both VBM and CBM in the semiconducting spin-channel move upward slightly to the higher energy as shown in Figs. 8c and 10; the band gap increases slowly with the increasing biaxial strain to 3.12 eV under 5% biaxial strain.

Variations of a the exchange parameter and b magnetic anisotropy energy (MAE) for Mn3Br8 monolayer with respect to the applied biaxial strain and carrier doping. The variations of valence band maximum (VBM), conduction band minimum (CBM), and band gap in the semiconducting channel for Mn3Br8 monolayer with respect to c the applied biaxial strain and d carrier doping ranging. Positive and negative values of the carrier doping represent the electron and hole doping, respectively

On-site magnetic moments of Mn atoms and the specific heat Cv as function of temperature based on Heisenberg model for Mn3Br8 monolayer a under -5% biaxial strain, with b 0.2e, c -0.6e, and d -0.8e carrier doping per formula unit. Positive and negative values represent the electron and hole doping, respectively

a–j Spin-resolved band structure for Mn3Br8 monolayer under biaxial strain from -5% to 5%. The green arrow denotes the indirect band gap
Electron/hole doping always leads to VBM/CBM moving away from the Fermi level. Our calculations show that Mn3Br8 monolayer with –1–1e (~ \(1.7 \times 10^{14} {\text{cm}}^{{ - 2}}\)) carrier doping per formula unit is still FM; the atomic magnetic moment of each Mn ion is still 13/3μB. As shown in Fig. 7b and d, with carrier doping from –1e to 1e per formula unit, the Mn-Br-Mn angles involving Br3,4,5,6 atoms are about 90° ~ 98°; the Mn-Br1,2-Mn angles are about 88° ~ 90°. The Mn–Mn and Mn-Br1,2 distances increase with the increasing electron doping. Mn3Br8 monolayer with 0.2e and 0.4e carrier doping has larger magnetic exchange parameter (Fig. 8a). The Curie temperature at 0.2e electron doping is largest of 140 K (Fig. 9b). Additionally, with –1e ~ 0.2e doping, the MAE is along in-plane directions; the MDE decreases with the increasing electron doping. Under 0.4e doping, the MCE turns to be positive with the value of 0.41 meV per formula unit; the MAE is only 0.01 meV per formula unit with taking the MDE into account (Additional file 1: Figs. S5(a) and (b)). With 0.6e, 0.8e and 1e doping, the PMA (perpendicular magnetic anisotropy energy) is 1.70, 2.42, and 5.13 meV, respectively, large enough for spintronic applications (Fig. 8b).
Additionally, Mn3Br8 monolayer with carrier doping of –1e ~ 1e per formula unit maintains to be half-metallic. Its band gap in the semiconducting spin-channel increases/decreases slightly with the increasing electron/hole doping as shown in Fig. 8d; the positions of the VBM and CBM do not change. Exceptional, Mn3Br8 monolayer turns to be FM spin-gapless semiconductors (SGS) with the metallic spin-channel opening up a very small energy gap (0.07 eV) under –0.6e and –0.8e hole doping; its Fermi level locates in the band gap region (Fig. 11b and c, more clearly figures are presented in Additional file 1: Figs. S6(a) and (b)). Correspondingly, electrons may be easily excited from the valence band to the conduction band with a small input of energy, which simultaneously produces 100% spin polarized electron and hole carriers. The Curie temperature at –0.6e and –0.8e hole doping is 110 K (Fig. 9c and d), higher than liquid-nitrogen temperature (77 K). Considering with that the charge density modulation of \(10^{13} \sim10^{15} {\text{cm}}^{ - 2}\) was already achieved experimentally [80,81,82], our predicted properties of Mn3Br8 monolayer with carrier doping are also experimentally approachable.

a–j Spin-resolved band structure for Mn3Br8 monolayer with carrier doping from -1e to 1e per formula unit. Positive and negative values represent the electron and hole doping, respectively. The green arrow denotes the indirect band gap
Conclusions
In summary, the stability, electronic, and magnetic properties of Mn3Br8 monolayer have been carefully investigated. Our results show that Mn3Br8 monolayer is FM half-metal with 130 K Curie temperature and with 2.97 eV band gap for the semiconducting spin-channel. Plus, the magnetic moment of each Mn ion is 13/3μB; the MAE is –2.33 meV per formula unit. The Mn3Br8 monolayer is designed by inducing single Mn vacancy in the \({2} \times {2} \times {1}\) supercell of MnBr2 monolayer to break the AFM coupling d5 configuration. The feasibility of forming the Mn vacancy and the dynamical, mechanical stability of Mn3Br8 monolayer have been comprehensively confirmed. Additionally, Mn3Br8 monolayer under biaxial strain –5% ~ 5% is still FM half-metal with 2.71 ~ 3.12 eV band gap for the semiconducting spin-channel, whose Curie temperature under –5% biaxial strain is 160 K. Both biaxial strain and carrier doping make the MAE increase, which turns to be perpendicular to the plane under electron doping. With 0.8e and 0.6e hole doping, Mn3Br8 monolayer turns to be spin-gapless semiconductor (SGS) with band gap of 0.07 eV. Our calculations demonstrate Mn3Br8 monolayer as FM half-metal with high Curie temperature, and having large MAE and large magnetic moment, and tunable electronic and magnetic properties under the applied biaxial strain and carrier doping.
Availability of data and materials
The datasets generated during and/or analyzed during the current study are available from the corresponding author on reasonable request.
Abbreviations
- 2D:
-
Two-dimensional
- AFM:
-
Antiferromagnetic
- CBM:
-
Conduction band minimum
- DFT:
-
Density functional theory
- DOS:
-
Density of states
- FIM:
-
Ferrimagnetic
- FM:
-
Ferromagnetic
- GGA:
-
Generalized gradient approximation
- GKA:
-
Goodenough–Kanamori–Anderson
- MAE:
-
Magnetic anisotropy energy
- MCE:
-
Magneto-crystalline anisotropy energy
- MC:
-
Monte Carlo
- MDE:
-
Magnetic dipolar anisotropy energy
- MTJ:
-
Magnetic tunneling junctions
- NM:
-
Non-magnetic
- NN:
-
Nearest neighboring
- PAW:
-
Projector augmented wave
- PBE:
-
Perdew–Burke–Ernzerhof
- PMA:
-
Perpendicular magnetic anisotropy energy
- PNGN:
-
Porous nitrogen-doped graphene networks
- SGS:
-
Spin-gapless semiconductor
- SOC:
-
Spin–orbit coupling
- VASP:
-
Vienna ab-initio simulation package
- VBM:
-
Valence band maximum
- VDW:
-
Van der Waals
Nanomaterials
- From Pilot to Large-Scale Deployment: Scaling IoT for Real Business Impact
- Magnetic Susceptibility Bifurcation in Ni‑Doped Sb₂Te₃: Evidence for Antiferromagnetism with Coexisting Weak Ferromagnetism
- Multiband and Broadband Light Absorption in Monolayer Graphene via Magnetic Dipole Resonances in Ag Nanodisk Metamaterials
- All‑Carbon 3‑D Nanofiltration Membrane Achieves 99 % Antibiotic Removal and Rapid Water Flux
- Controlling Magnetic Hysteresis in Nanostructures via Thermally Tuned RKKY Coupling
- Defect‑Driven Magnetism and Strain Engineering in Monolayer WSe2: A DFT Study
- First‑Principles Study of the Photogalvanic Response in Nitrogen‑Doped Monolayer MoS₂
- Significant Spin‑Dependent Thermoelectric Phenomena in NiFe Nanowire Networks
- Raman Analysis of G and D′ Phonon Shifts in Vacancy-Engineered Monolayer to Few-Layer Graphene Across 78–318 K
- Tuning Magnetic Properties of Janus WSSe Monolayers via Transition Metal Adsorption