Magnetic Susceptibility Bifurcation in Ni‑Doped Sb₂Te₃: Evidence for Antiferromagnetism with Coexisting Weak Ferromagnetism
Abstract
Magnetic‑susceptibility measurements on Ni‑doped Sb₂Te₃ reveal a sharp discontinuity at the Néel temperature (TN) and a narrow hysteresis loop below TN. The zero‑field‑cooled (ZFC) and field‑cooled (FC) curves coincide above the transition, then bifurcate below it; the separation grows as the applied field is reduced. Above ≈7000 Oe the bifurcation vanishes, in agreement with the estimated magnetic‑anisotropy energy. These observations point to an antiferromagnetic ground state that hosts a weak ferromagnetic component.
Introduction
Three‑dimensional topological insulators (TIs) host a spin‑filtered Dirac surface state protected by time‑reversal symmetry. The helical spin texture of this state has generated intense interest for spintronic and quantum‑information applications. Introducing magnetism into a TI breaks time‑reversal symmetry, opens a gap at the Dirac point, and can give rise to exotic phenomena such as the quantum anomalous Hall effect, topological magneto‑electric coupling, tunable chiral edge modes, and Majorana braiding. While much work has focused on transport signatures in Mn, Cr, and V‑doped (Bi, Sb)₂Te₃ thin films, the intrinsic magnetic response of bulk, element‑doped TIs remains poorly understood because the magnetic signal is often weak. A detailed study of the magnetic coupling mechanisms in such materials is therefore essential for guiding future device design.
In this study we investigate the magnetic properties of Ni‑doped Sb₂Te₃ single crystals. We observe a low‑coercivity hysteresis loop below TN, a clear susceptibility discontinuity at TN that is field‑independent, and a pronounced bifurcation between ZFC and FC curves below TN. The magnitude of the bifurcation decreases with increasing field and disappears above 7000 Oe, consistent with the magnetic‑anisotropy energy. These findings support the coexistence of antiferromagnetism and a weak ferromagnetic component in Ni‑doped Sb₂Te₃.
Experimental Method

X‑ray diffraction (XRD) pattern of a Ni0.016Sb₂Te₃ single crystal. Sharp Bragg peaks confirm a highly single‑crystalline, phase‑pure structure.
High‑purity Sb, Te, and Ni (99.995 %) were mixed in stoichiometric ratios, melted at 700–800 °C for 20 h, and slowly cooled in an evacuated quartz tube. The resulting feed rod was used in a home‑made, resistance‑heated floating‑zone furnace (RHFZ). RHFZ growth yields crystals with exceptional uniformity; this has been demonstrated in our earlier work on TI crystals. After growth, the crystals were furnace‑cooled, cleaved along the basal plane to expose a mirror‑like surface, and characterized by energy‑dispersive X‑ray spectroscopy (EDS). The measured Ni:Sb:Te ratio was 0.017:2:3, confirming the intended doping level. The crystal dimensions were 3 mm × 2 mm × 0.42 mm. Magnetization was measured with a Quantum Design MPMS SQUID magnetometer in fields up to 7 T, applied perpendicular to the cleaved surface.
Results and Discussion
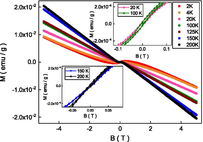
Figure 2 shows magnetization versus field at several temperatures. The system exhibits diamagnetism over a wide field and temperature range, consistent with the carrier‑spin contribution reported in Sb₂Te₃‑based TIs. A clear hysteresis loop appears below 125 K, with a coercive field of ≈50 Oe and a remanent/saturated magnetization of 10−5–10−4 emu g−1 at 100 K. The low coercivity and small magnetization indicate a weak ferromagnetic component emerging below TN.

Magnetic susceptibility versus temperature under different fields (2–200 K). The high‑field response remains diamagnetic. Inset (top‑right): hysteresis loop below 125 K. Inset (bottom‑left): absence of hysteresis above 125 K.
Field‑cooled (FC) and zero‑field‑cooled (ZFC) susceptibility measurements reveal a pronounced bifurcation below TN. The bifurcation grows as the applied field decreases, and it disappears for fields exceeding 7000 Oe. The discontinuity at 125 K is field‑independent, marking the Néel temperature. The susceptibility above TN follows the Curie–Weiss law, χ = χ0 + C/(T – θ). Plotting 1/(χ – χ0) versus T yields a straight line between 125 and 250 K, with an intercept at –125 K, confirming an antiferromagnetic coupling (θ ≈ –125 K). This value aligns with TN and the temperature where the hysteresis loop appears, indicating coexistence of weak ferromagnetism and antiferromagnetism below TN.
Analysis of the Curie constant shows that μ ≈ 3.5 μB at 200 Oe, close to the theoretical value for Ni2+. The bifurcation originates from magnetic anisotropy: in ZFC the moments freeze randomly, while in FC they align with the field, leading to different susceptibilities. The mean‑field relation TN = S(S+1)J0/(3kB) yields an exchange coupling J0 of 4.28 × 1022 J, consistent with the observed magnetic behavior.
Figure 4 shows that the susceptibility difference FC – ZFC follows an exponential form, χS e–J0S/(kBT), where χS is the saturated susceptibility. The extracted χS depends on field in a manner that mirrors the measured susceptibility, supporting the weak‑ferromagnetism interpretation. The magnetic‑anisotropy energy ΔE ≈ 1.13 × 1022 J, estimated from HC = 50 Oe, equals the magnetic‑moment energy at B ≈ 0.61 T; hence the bifurcation disappears above ≈0.7 T.

Top‑left inset: FC–ZFC difference fits mean‑field theory. The extracted χS tracks the susceptibility cusp.
De Haas–van Alphen (dHvA) oscillations are observed in the inverse‑field dependence of the magnetization. The oscillations are well described by the Lifshitz–Kosevich formula, yielding a frequency F = 29.8 T and a phase factor δp = 0.43. Using the Onsager relation, the corresponding Fermi‑wave vector KF = 0.030 Å–1 matches ARPES data, confirming that the dHvA signal originates from the topological surface state.

Magnetic susceptibility versus 1/B shows periodic dHvA oscillations that fit the Lifshitz–Kosevich model.
Conclusion
Ni‑doped Sb₂Te₃ single crystals display a low‑coercivity hysteresis loop below the Néel temperature (125 K), a field‑independent susceptibility jump at TN, and a bifurcation of ZFC and FC curves below TN. The magnitude of the bifurcation decreases with increasing field and vanishes above ≈0.7 T, in line with the magnetic‑anisotropy energy. These results demonstrate that an antiferromagnetic ground state coexists with a weak ferromagnetic component, and that the characteristic susceptibility cusp commonly observed in TIs originates from this weak ferromagnetism rather than from the Dirac surface state alone. The dHvA oscillations confirm the presence of topological surface carriers. These insights advance our understanding of magnetism in doped topological insulators and aid the design of spintronic devices that exploit both antiferromagnetic and ferromagnetic orders.
Availability of data and materials
The datasets generated during and/or analyzed during the current study are available from the corresponding authors on reasonable request.
Abbreviations
- XPD:
X‑ray diffraction
- EDS:
Energy‑dispersive X‑ray spectroscopy
- ARPES:
Angle‑resolved photoemission spectroscopy
- dHvA:
De Haas‑van Alphen
Nanomaterials
- Harnessing Data in the Internet of Reliability: Strategies for Effective Management
- IBM Breakthrough: Controlling a Single Copper Atom’s Magnetism via NMR
- Structural, Electronic, and Magnetic Characterization of Ag<sub>n</sub>V (n = 1–12) Clusters via DFT and CALYPSO Search
- Controlling Magnetic Hysteresis in Nanostructures via Thermally Tuned RKKY Coupling
- Significantly Enhanced Photocurrent in High‑Conductance Topological Insulator Nanosheets
- Defect‑Driven Magnetism and Strain Engineering in Monolayer WSe2: A DFT Study
- Engineering Band Alignment in MoS₂/HfO₂ Heterojunctions via Controlled Nitridation
- Revealing Landau-Level-Dependent Aharonov-Bohm Oscillations in BiSbTe₃ Topological Insulator
- From Antiferromagnetic MnBr₂ to Ferromagnetic Mn₃Br₈ Monolayer: Achieving High Curie Temperature and Large MAE
- Master Wholesale Order Management with Smart Software Solutions