Essential Derivative Rules: A Quick Reference
This guide offers a concise overview of the fundamental derivative rules, illustrated with clear images to reinforce your understanding.
Constant rule
When differentiating a constant, the result is zero.

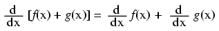
Rule of sums
The derivative of a sum equals the sum of the derivatives.

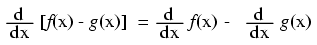
Rule of differences
The derivative of a difference equals the difference of the derivatives.

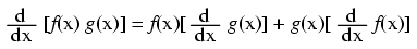
Product rule
For the product of two functions, the derivative is f'·g + f·g'.

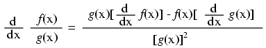
Quotient rule
For a quotient of two functions, the derivative is (f'·g – f·g')/g².

Power rule
For a function f(x)=xⁿ, the derivative is n·xⁿ⁻¹.

Functions of other functions
When differentiating composite functions, apply the chain rule.

RELATED WORKSHEETS:
-
Calculus for Electric Circuits Worksheet
Industrial Technology
- Mastering Limit Rules: A Practical Guide to Calculus Fundamentals
- Differentiating Exponential Functions of Base e
- Fundamental Antiderivative Rules: Constants, Sums, and Differences
- Essential Boolean Simplification Rules for Logic Circuit Design
- 5 Proven Rules to Strengthen Operations & Maintenance Partnerships
- Five Essential Strategies to Navigate the Next Supply Chain Crisis
- Master Voltage Divider Rule (VDR): Step‑by‑Step Examples for Resistor, Inductor, and Capacitor Circuits
- Mastering UID Compliance: 3 Essential Rules Every DoD Supplier Must Follow
- Optimized Layout and Tracing Guidelines for Box Build Assembly
- Three Essential Rules to Ensure Analyzer Accuracy