Mastering Antiderivatives: The Core of Indefinite Integration

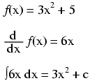
Notice something important here: taking the derivative of f(x) may precisely give you g(x), but taking the antiderivative of g(x) does not necessarily give you f(x) in its original form. Example:

Note that the constant c is unknown! The original function f(x) could have been 3x2 + 5, 3x2 + 10, 3x2 + anything, and the derivative of f(x) would have still been 6x. Determining the antiderivative of a function, then, is a bit less certain than determining the derivative of a function.
RELATED WORKSHEET:
-
Calculus for Electric Circuits Worksheet
Industrial Technology
- The 555 Integrated Circuit: A Timeless Benchmark in Analog Design
- The Quadratic Formula: A Reliable Tool for Solving Second‑Degree Equations
- Mastering the D Latch: A Clean 1‑Bit Memory Circuit
- Common‑Base Transistor Amplifiers: Design, Analysis, and Applications
- DIAC: The Bidirectional Trigger for AC Thyristors
- Understanding TRIACs: Bidirectional Power Control in AC Applications
- How 3D Printing Revolutionized Manufacturing: A Journey Through Its Evolution
- Women Shaping U.S. Manufacturing: Driving Innovation & Equality
- Integral Skin Foam: Advanced Dual-Layer Polyurethane Technology
- Reshoring Manufacturing in the UK: Strengthening Local Production