Industrial manufacturing
Industrial Internet of Things | Industrial materials | Equipment Maintenance and Repair | Industrial programming |
home  MfgRobots >> Industrial manufacturing >  >> Manufacturing Technology >> Industrial Technology

LM7805 Voltage Regulator Circuit: Complete Overview & Practical Guide

Electronic circuits sometimes require a stable power supply to function harmoniously with other components.

However, the power supply is not always constant and requires regulation to serve the circuit’s needs. Voltage regulators stabilize the power supply from an unstable source to output power with continuous voltage and current.

This tutorial looks at how these regulators work with a particular interest in the 7805-voltage regulator. Therefore, if you want to know more about the 7805-voltage regulator IC, this is for you.

1. What is the 7805 IC?

As the name suggests, LM7805 is an industry-standard linear voltage regulator. It is a member of the 78xx devices with a constant output voltage. The xx represents the output voltage value of devices in the 78 families.

The LM7805 is a three-terminal linear voltage regulator IC, and it works with AC currents. It is a common component in circuits that require positive voltage regulators.

The 7805 regulator comes in different versions. The TO-92 version is made of plastic hence works better with low-power circuits. The T-O3 version comes in an all-metal casing for easier heat sinking. 

LM7805 Voltage Regulator Circuit: Complete Overview & Practical Guide

The 7805 IC schematic 

2. 7805 IC PIN Configuration

The three terminals in a 7805 regulator are:

LM7805 Voltage Regulator Circuit: Complete Overview & Practical Guide

7805 IC pinout

Pin 1

It is the input pin for unregulated voltage into the circuit.

Pin 2 

The Ground pin connects to Ground and is neutral, unlike the input and output pins.

Pin 3

It is the Output pin that outputs a constant +5V voltage. 

3. Basic Features of the 7805 Regulator

First, the regulator can deliver an output current of up to 1.5A. The typical constant output voltage is 5V but can range between 4.8V and 5.2V. 

Secondly, It also has current limiting and internal cooling features to prevent overloading the circuit. A unique heat overload circuit within the 7805 IC automatically cuts off the voltage supply until the chip cools down.

Thirdly, the regulator has a hole at the top for connecting to a heat sink for further temperature regulation.

Additionally, the minimum input voltage should be 7V, while the maximum should be 25V for optimum functioning of the IC. 

Load regulation of the IC ranges between 10mV and 50mV and exceeding these ranges would lead to malfunctioning.

Lastly, the junction temperature should not exceed 125 °C even with adequate heat sinking.

Here is a video with more information about the 7805 IC.

4. The LM7805 in a Circuit

The 7805 IC has many applications, including working as a +5V regulator and providing adjustable output voltages in a circuit.

In this section, we look at the functioning of the IC as a 5V regulator and an adjustable output regulator.

7805 as +5V Voltage Regulator

The 7805-voltage regulator can regulate incoming power and output it at +5V. It works with two capacitors at the ends of the 7805-regulator circuit.

LM7805 Voltage Regulator Circuit: Complete Overview & Practical Guide

7805 IC as a 5V regulator

The 0.22μF input capacitor is necessary if the distance between the power supply filter and the regulator is long. The capacitor on the output end is responsible for transient response, and together they help stabilize the regulator.

They should be close to the regulator and ceramic type to work efficiently.

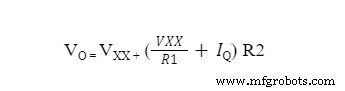
LM7805 Circuit–7805 as an Adjustable Output Regulator

The regulator can also adjust the output voltage to whatever value you desire. The circuit diagram below shows the arrangement you need for such results.

LM7805 Voltage Regulator Circuit: Complete Overview & Practical Guide

7805 as an adjustable output voltage regulator

The adequate input voltage should range between 9V-25V. The resistance value of the two resistors determines the circuit’s output voltage.

Therefore, adjusting the resistance value of R1 and R2 adjusts the output voltage. To calculate the resistance value, use the formula below.

LM7805 Voltage Regulator Circuit: Complete Overview & Practical Guide

LM7805 Circuit–How does the 7805 IC work in a circuit?

The circuit consists of:

LM7805 Voltage Regulator Circuit: Complete Overview & Practical Guide LM7805 Voltage Regulator Circuit: Complete Overview & Practical Guide

7805 IC in a circuit

230V AC power goes into the transformer and converts to oscillating DC power in the bridge rectifier. The fuse limits the current from the transformer to 1A.

The capacitors ripple filters incoming current at both ends of the circuit. Wind from C1 is 12V DC unregulated, and it goes to the voltage regulator to come out as 5V. The D1 diode protects the course from current spike and damage because it is reverse bias.

The input voltage should always be greater by at least 2.5V than the output voltage. Some power is also lost as heat; hence a heat sink is necessary for the 78058 IC.

An AC power source is more convenient than a DC power source. DC batteries are unstable because they frequently discharge, thus reducing voltage output.

5. LM7805 Circuit–Applications of the 7805 Linear Voltage Regulator

Apart from working as a +5V regulator and an adjustable voltage regulator, the LM7805 works in circuits that require:

Practical applications include:

LM7805 Voltage Regulator Circuit: Complete Overview & Practical Guide

UPS battery

Conclusion

 The 7805 IC is an integral component in circuits sensitive to voltage change. With a few external devices, you can also experiment with the regulator in a project of your choice. 

Find us here for the necessary components or any further queries.


Industrial Technology

  1. Voltage Regulator Experiment with a 12‑Volt Zener Diode
  2. Voltage Follower Amplifier: Design, Build, and Measurement Guide
  3. Build a Low‑Frequency Astable Multivibrator Audio Oscillator with Discrete Transistors
  4. Essential DC Circuit Equations and Laws for Engineers
  5. From Vacuum Tubes to Integrated Circuits: The Evolution of Operational Amplifier Models
  6. Analyzing Circuit Response to Multi‑Frequency Sources
  7. Mastering the LM723: A Comprehensive Guide to Adjustable Voltage Regulation
  8. Automatic Gain Control (AGC) Circuit Explained: Principles, Functionality & Applications
  9. Understanding Voltage Monitoring Circuits: A Practical Guide
  10. In-Depth Guide to the TDA1554Q Audio Amplifier IC