Industrial manufacturing
Industrial Internet of Things | Industrial materials | Equipment Maintenance and Repair | Industrial programming |
home  MfgRobots >> Industrial manufacturing >  >> Industrial materials >> Nanomaterials

Optimizing Broadband Light Absorption in Thin‑Film Silicon Solar Cells with Double‑Sided Pyramid Gratings

Abstract

Employing a double‑sided pyramid grating on crystalline‑silicon (CS) thin films can substantially broaden light‑absorption performance. A front grating effectively suppresses reflection in the short‑wavelength regime, while a rear grating achieves a similar effect at longer wavelengths. This study analyzes the photon‑absorption distribution for each component of the double‑sided structure and benchmarks it against bare CS. Theoretical simulations show that judicious tuning of grating parameters dramatically reduces broadband reflection, thereby facilitating the creation of black silicon and increasing overall light capture. Nonetheless, our results indicate that adding a rear grating does not translate into higher effective absorption within the silicon bulk.

Background

Advances in micro‑fabrication have made nanometer‑scale surface textures and engineered morphologies a cornerstone of next‑generation photovoltaics [1], [2]. For CS thin‑film solar cells, optimizing structural parameters is critical to push efficiencies toward the theoretical Yablonovitch limit [7][10]. Because each absorbed photon with energy above the band‑gap generates a single electron‑hole pair, the distribution of photon absorption across the cell’s layers determines the ultimate conversion efficiency. This paper focuses on how front pyramid gratings (FPG), rear pyramid gratings (RPG), and their combination (DSPG) influence photon absorption in the CS layer.

We decompose the total photon absorption A into three contributions: absorption in the front gratings (AF), in the silicon bulk (ASi), and in the rear gratings (AR), as illustrated in Fig. 1. These satisfy the conservation relation R + T + A = 1. Importantly, ASi is calculated differently for each structural variant.

Optimizing Broadband Light Absorption in Thin‑Film Silicon Solar Cells with Double‑Sided Pyramid Gratings

Different structures of crystalline‑silicon (CS) thin‑film solar cells with or without pyramid gratings. a The bare crystal silicon (BCS). b The front pyramid grating (FPG). c The rear pyramid grating (RPG). d The double‑sided pyramid grating (DSPG). (AF, ASi, and AR represent the light absorption of the front surface gratings, the CS part, and the rear surface gratings, respectively. H is the thickness of the CS layer; P1, D1, H1 and P2, D2, H2 represent the period, bottom diameter, and height of silicon pyramid of the front or rear surface, respectively)

Methods

Our simulations combine the net‑radiation method with effective‑medium approximation, a pairing that has consistently matched experimental data for silicon gratings [4], [11]. Figure 2 shows the multilayer system: an N‑layer stack with complex refractive indices Ni at each interface (i = 1…N‑1). Incoming and outgoing energy fluxes are denoted Qi,a, Qi,b, Qi+1,c, and Qi+1,d.

Optimizing Broadband Light Absorption in Thin‑Film Silicon Solar Cells with Double‑Sided Pyramid Gratings

Schematic multilayer medium structure of the silicon pyramid gratings, with numbering convention of interfaces (1, …, i, …, N − 1), complex refractive index (N1, …, Ni, …, NN), and electromagnetic radiation fluxes (Qi,a, Qi,b, Qi+1,c, Qi+1,d, …)

Energy balance at each interface follows

{\n  Q_{i,a}=\tau_iQ_{i,c}
  Q_{i,b}=r_{i,i+1}Q_{i,a}+t_{i+1,i}Q_{i+1,d}
  Q_{i+1,c}=t_{i,i+1}Q_{i,a}+r_{i+1,i}Q_{i+1,d}
  Q_{i+1,d}=\tau_{i+1}Q_{i+1,b}
}

where ri,i+1 and ti,i+1 are the Fresnel reflectivity and transmissivity. The absorption attenuation of layer i is

\tau_i=\exp\left[-\alpha_i\,d_i/\cos\varphi_i\right]

with αi = 4\pi ki/\lambda and ki the imaginary part of Ni. Assuming normal incidence Q1,a=1 and zero outgoing flux at the rear QN,d=0, the absorption coefficient of layer i is Ai=Qi,a−Qi,c+Qi,d−Qi,b.

Effective refractive indices for the pyramid layers are obtained via the Bruggeman formula

\frac{f_1(N_{Si}^2-N_{Eff}^2)}{N_{Si}^2+2N_{Eff}^2}+
\frac{f_2(N_{Air}^2-N_{Eff}^2)}{N_{Air}^2+2N_{Eff}^2}=0

where f1 and f2=1−f1 are the volume fractions of silicon and air. The total absorbed photon flux in layer i is then

\Phi_i=\int A_i\,F(\lambda)\,\lambda/(h_0c_0)\,d\lambda

with F(\lambda) the AM1.5 solar spectrum. The aggregate absorbed flux is Φ=\sum_i\Phi_i.

Results and Discussion

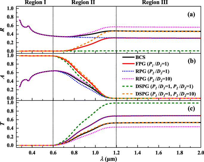
For a fair comparison, we set the CS layer thickness to H = 10 µm. The pyramid height and base diameter are fixed at H1=H2=200 nm and D1=D2=100 nm, respectively. The front grating’s period‑to‑diameter ratio is P1/D1=1. For the rear grating, we explore P2/D2=1 and 10. The double‑sided configuration combines these parameter sets.

Figure 3 summarizes the optical performance of each structure. The front gratings dramatically reduce broadband reflection and boost total absorption, especially in the short‑wavelength region (regions I and II). The rear gratings further suppress reflection in the infrared (region II) when P2/D2=10. Together, the DSPG can approach the Yablonovitch limit and achieve near‑zero reflection across the entire spectrum, a hallmark of black silicon. Interestingly, the rear gratings increase visible and near‑IR transmission, which may benefit photodetectors [9], [10].

Optimizing Broadband Light Absorption in Thin‑Film Silicon Solar Cells with Double‑Sided Pyramid Gratings

Optical properties of different silicon pyramid grating structures compared to the BCS of the same thickness (BCS (H = 10 µm), FPG (P1/D1=1, H1=200 nm), RPG (P2/D2=1 or 10, H2=200 nm), DSPG (P1/D1=1, P2/D2=1 or 10, H1=H2=200 nm)). (a), (b), and (c) are the total light reflectivity, absorptivity, and transmissivity, respectively.

To dissect where photons are absorbed, we present three‑dimensional contour maps for the FPG and RPG structures in Fig. 4 and Fig. 5. These maps reveal that, for the FPG, increasing pyramid height enhances total absorption but eventually reduces silicon‑bulk absorption once the front layer becomes too tall. The optimal front‑grating geometry appears at P1/D1=1.05 and H1=53 nm.

Optimizing Broadband Light Absorption in Thin‑Film Silicon Solar Cells with Double‑Sided Pyramid Gratings

Contour maps of the photon absorption distribution in different parts for FPG structure. (a) The total photon absorption A. (b) The photon absorption of the front surface gratings AF. () The photon absorption of CS part ASi. (The dotted line in the illustration represents the absorption of BCS)

Optimizing Broadband Light Absorption in Thin‑Film Silicon Solar Cells with Double‑Sided Pyramid Gratings

Contour maps of the photon absorption distribution in different parts for RPG structure. (a) The total photon absorption A. (b) The photon absorption of CS part ASi. () The photon absorption of the rear surface gratings AR. (The dotted line in the illustration represents the absorption of BCS)

For the RPG, a larger period‑to‑diameter ratio (P2/D2=10) coupled with a shorter pyramid height boosts infrared absorption by redirecting light back toward the active layer. However, the silicon‑bulk absorption remains largely unchanged because the rear gratings reflect many photons rather than capture them. Consequently, while the rear gratings improve total absorption, they do not enhance the effective absorption within the CS body.

Figure 6 consolidates the performance of four representative DSPG parameter sets. When the front grating’s ratio is too large (e.g., P1/D1=10 with H1=10 nm), reflection increases and absorption drops. Only the configuration P1/D1=1.05, H1=53 nm, paired with P2/D2=1.03 and H2=170 nm delivers near‑zero reflection and maximal absorption across the spectrum. Yet, even in this optimal DSPG, the fraction of photons absorbed by the silicon bulk does not surpass that of the best FPG alone, underscoring that rear gratings offer limited benefit for bulk absorption.

Optimizing Broadband Light Absorption in Thin‑Film Silicon Solar Cells with Double‑Sided Pyramid Gratings

Optical properties of four sets of different parameters for the DSPG (P1/D1=10, H1=10 nm and P2/D2=1.03, H2=170 nm or P2/D2=10, H2=10 nm; P1/D1=1.05, H1=53 nm and P2/D2=1.03, H2=170 nm or P2/D2=10, H2=10 nm) compared to the BCS (H=10 µm) and FPG (P1/D1=1.05, H1=53 nm and P1/D1=10, H1=10 nm). (a), (b), (c), and (d) are the total light reflectivity, transmissivity, absorptivity, and the absorptivity of CS part, respectively.

In summary, while the rear grating can tailor spectral response and reduce reflection, it offers negligible improvement in the effective absorption of the silicon bulk. The front‑grating geometry remains the critical lever for maximizing bulk absorption and achieving high‑efficiency, low‑reflection silicon solar cells.

Conclusions

The double‑sided pyramid grating strategy boosts overall light absorption and can suppress reflection across the entire spectrum. However, it does not enhance the effective absorption within the silicon bulk. For optimal performance, we recommend a front‑grating period‑to‑diameter ratio below 1.4 and a height between 10 nm and 600 nm. Rear gratings offer minimal benefit for bulk absorption and may be omitted in favor of a simplified, cost‑effective design that focuses on the front‑side texture.

Abbreviations

CS:

Crystalline silicon

DSPG:

Double‑sided pyramid grating

FPG:

Front pyramid grating

RPG:

Rear pyramid grating

Nanomaterials

  1. 9 Proven Best Practices for Deploying DevOps in the Cloud
  2. Optimizing Full‑Angle Light Emission in Micro‑LEDs with Highly Reflective Thin‑Film Coatings
  3. Crystalline‑Si Solar Cells with a Black‑Silicon Rear Layer: Enhanced Efficiency Through Graded Band‑Gap Engineering
  4. High‑Efficiency (20.19 %) Inverted‑Pyramid Single‑Crystalline Silicon Solar Cell Fabricated via Optimized Metal‑Assisted Chemical Etching
  5. Enhanced Power Conversion in Flexible Fibrous Dye‑Sensitized Solar Cells via Multilayer TiO₂ Photoanodes and Composite Pt Counter Electrodes
  6. Large-Scale Silicon Nanowire Arrays on 6‑inch Mono‑ and Multi‑Crystalline Solar Cells via Enhanced Metal‑Assisted Chemical Etching
  7. Optimizing Niobium-Doped Titanium Oxide Layers for Enhanced Silicon Quantum Dot Solar Cells
  8. GaAs Nanoantenna Solar Absorber: Ultra‑Broadband Light Trapping for High‑Efficiency Thin Cells
  9. Gradient‑Engineered Light‑Absorbing Layer Boosts Carrier Separation and Efficiency in Perovskite Solar Cells
  10. Harnessing Indoor Solar Power for Smart Devices