Biaxial Tensile Strain Enhances Thermoelectric Performance of InSe Monolayer
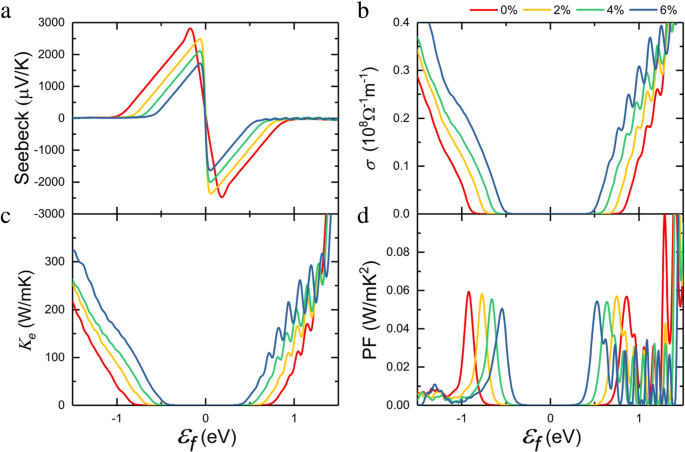
Strain engineering offers a practical route to tailor the physical properties of two‑dimensional (2D) materials owing to their exceptional flexibility. In this study, we systematically investigate how biaxial tensile strain influences the electronic, phononic, and thermoelectric properties of an InSe monolayer using first‑principles calculations. We find that applying up to 6 % strain reduces the lattice thermal conductivity from 25.9 to 13.1 W m⁻¹ K⁻¹ by amplifying anharmonic phonon scattering, lowering phonon group velocities, and decreasing heat capacity. Consequently, the thermoelectric figure of merit ZT is significantly enhanced, demonstrating that tensile strain is an effective strategy for improving InSe’s thermoelectric performance. Since the discovery of graphene, two‑dimensional semiconductors have attracted intense research interest for their remarkable electronic, optical, and mechanical properties. Metal‑chalcogenide monolayers, in particular, have emerged as promising candidates for nanoelectronics and nanophotonics [1–4]. Indium selenide (InSe) is a III‑VI layered compound that has recently drawn attention because of its high carrier mobility, robust mechanical flexibility, and potential in optoelectronic devices. Experimental efforts have successfully fabricated monolayer and few‑layer InSe via both physical (e.g., mechanical exfoliation, molecular beam epitaxy) [5–10] and chemical routes [11–14], and demonstrated their applicability in sensors [15], photodetectors, and field‑effect transistors [5,6,16,17]. Unlike many other 2D semiconductors, InSe exhibits a distinctive band structure featuring a flat valence‑band maximum and a parabolic conduction‑band minimum, which together endow it with a high Seebeck coefficient and favorable power factor [18,19]. Its lattice thermal conductivity, however, remains modest, lying between that of graphene and SnSe monolayers [18,19]. The combination of high electrical conductivity and low thermal conductivity makes InSe an attractive candidate for thermoelectric applications. Mechanical flexibility allows InSe monolayers to accommodate substantial biaxial or uniaxial strain without structural failure, enabling continuous tuning of electronic and phononic properties [20–22]. Previous studies have shown that compressive strain can converge conduction‑band valleys and boost the power factor [23], while tensile strain is expected to modify both band structure and lattice dynamics, albeit in a material‑specific manner. In this work, we employ density‑functional theory and phonon transport calculations to explore how biaxial tensile strain affects the electronic structure, carrier transport, and lattice thermal conductivity of InSe monolayers, and to evaluate the resulting impact on the thermoelectric figure of merit. First‑principles calculations were carried out using the Vienna ab initio Simulation Package (VASP) [24–26] with the projector‑augmented‑wave (PAW) method and the local density approximation (LDA) [27–29]. A vacuum spacing of 12 Å along the c‑axis eliminates spurious inter‑layer interactions. For structural relaxation we employed a 21 × 21 × 1 k‑point grid, while electronic properties were computed on a denser 31 × 31 × 1 mesh. Plane‑wave cutoff was set to 500 eV, and convergence thresholds were 10⁻⁴ eV for total energy and 10⁻³ eV Å⁻¹ for forces. Electronic transport coefficients were obtained within the constant‑relaxation‑time approximation using BoltzTraP [30,31]. The Seebeck coefficient S, electrical conductivity σ, and electronic thermal conductivity κₑ are derived from the transport distribution function as described in equations (1)–(3). Carrier relaxation times τ were estimated from the deformation‑potential theory [43,44], where the mobility μ is related to the elastic modulus C, deformation‑potential constant E₁, and effective mass m*. For each strain state we extracted C from the second derivative of the total energy with respect to strain and E₁ from the shift of band edges. Phonon transport was treated with ShengBTE [32], which solves the Boltzmann transport equation for phonons. Harmonic force constants were calculated via density‑functional perturbation theory on a 5 × 5 × 1 supercell, whereas anharmonic force constants were obtained with a finite‑difference method on a 4 × 4 × 1 supercell. Phonon dispersion relations were generated using Phonopy [35]. In the relaxed configuration, the InSe monolayer consists of a Se–In–In–Se sandwich forming a honeycomb lattice. The equilibrium lattice constant is a₀ = 3.95 Å. Biaxial tensile strain δ = (a − a₀)/a₀ × 100 % was applied while preserving the crystal symmetry. Strain increases the In–Se bond length and the In–Se–In bond angle (see Fig. 1b). a Top view and side view of monolayer InSe. Pink and green balls represent In and Se atoms, respectively. b The variation of bond length and bond angle with the increase of biaxial tensile strain. The basic a₀ × a₀ unit cell and x × y supercell of InSe monolayer are denoted with red and blue dashed lines, respectively The unstrained monolayer is an indirect semiconductor with a 1.67 eV gap, the conduction‑band minimum located at Γ and the valence‑band maximum between Γ and K. The valence band exhibits a Mexican‑hat dispersion, a hallmark of many 2D semiconductors [36–39]. Tensile strain lowers the conduction‑band minimum more strongly than the valence band, reducing the band gap. At 6 % strain the gap narrows significantly, and conduction‑band valley convergence is suppressed, increasing the energy separation between valleys. Band structure of InSe monolayer under different strain conditions Using the calculated electronic structure, we computed the Seebeck coefficient S(μ) as a function of chemical potential at 300 K. The maximum S decreases with strain, reflecting the reduced band gap. The electrical conductivity σ/τ follows the carrier concentration, and with the relaxation times derived above, σ increases for heavily p‑doped systems under strain, owing to enhanced hole mobility. The electronic thermal conductivity κₑ obeys the Wiedemann–Franz law. The resulting power factor PF = S²σ/τ shows a slight reduction with strain, as illustrated in Fig. 3d. a Seebeck coefficient, b electrical conductivity, c electronic thermal conductivity, d power factor of the monolayer InSe as a function of chemical potential at 300 K when the different biaxial strain is applied Lattice thermal conductivity κₗ was calculated from the phonon Boltzmann equation. In the unstrained case κₗ = 25.9 W m⁻¹ K⁻¹ at 300 K, in agreement with previous work [19]. Applying 6 % tensile strain halves κₗ to 13.1 W m⁻¹ K⁻¹. The reduction originates from three intertwined effects: (i) increased anharmonic phonon scattering rates, (ii) decreased phonon group velocities—especially in the longitudinal and transverse acoustic branches—and (iii) lowered phonon heat capacity due to a softened ZA mode and reduced density of states. Figure 4c shows the phonon dispersions; the ZA branch evolves from quadratic to nearly linear, and optical modes shift to lower frequencies under strain. a Calculated biaxial strain effects on lattice thermal conductivity at different temperatures. b Contribution of the ZA, TA, LA, and all optical branches towards the lattice thermal conductivity for unstrained and 6 % strained systems. c The phonon dispersion curves of the monolayer InSe for different strains Combining the electronic and lattice contributions yields the thermoelectric figure of merit ZT = S²σT/(κₑ + κₗ). At 300 K the peak ZT of the unstrained monolayer is 0.36. Under 6 % strain the peak rises to 0.52, reflecting the dominant role of the reduced lattice thermal conductivity. Our results suggest that biaxial tensile strain is a viable route to boost InSe’s thermoelectric efficiency. Calculated figure of merit of monolayer InSe as a function of chemical potential under different strain We have demonstrated through first‑principles calculations that biaxial tensile strain markedly improves the thermoelectric performance of InSe monolayers. Strain reduces the band gap and slightly lowers the Seebeck coefficient, but it simultaneously enhances anharmonic phonon scattering, diminishes phonon group velocities and heat capacity, and cuts lattice thermal conductivity by almost 50 %. The net effect is an increased figure of merit, indicating that strain engineering can turn InSe into a promising thermoelectric material. The datasets generated and/or analyzed during the current study are available from the corresponding author on request. Two dimensional Conduction band minimum Relaxation time Phonon heat capacity Field‑effect transistor Longitudinal acoustic phonon dispersion Power factor Seebeck coefficient Transverse acoustic phonon dispersion Valence band maximum z‑axis acoustic phonon dispersion Figure of merit Fermi level The thermal conductivity with the contributions from electronic carriers The thermal conductivity with the contributions from lattice Electrical conductivityAbstract
Introduction
Methodology
Result and Discussion
Crystal Structure and Strain Geometry

Electronic Band Structure

Transport Coefficients

Phonon Thermal Conductivity

Figure of Merit

Conclusion
Availability of Data and Materials
Abbreviations
Nanomaterials
- Strain Gauges: Precision Measurement of Mechanical Stress
- Navistar Huntsville: A Blueprint for Integrated Maintenance and Operations Excellence
- Binder Selection for Copper Oxide Anodes: Why SBR+CMC and LA133 Outperform PVDF in Lithium‑Ion Batteries
- Influence of Peptizing Acid on TiO₂ Phase Composition and Photocatalytic Efficiency: A Comparative Study of Sulfuric, Nitric, and Acetic Acids
- c‑Axis‑Oriented Ba‑Doped BiCuSeO Thin Films Deliver Record Power Factors
- γ‑AlO(OH)/MgAl‑LDH Composite: Record‑High Adsorption of Methyl Orange and Sustainable Reuse
- Electric‑Field‑Induced Band‑Gap Transition in Monolayer InSe: From Indirect to Direct and Back
- First‑Principles Study of the Photogalvanic Response in Nitrogen‑Doped Monolayer MoS₂
- Significant Boost of Light-Induced Transverse Thermoelectric Effect in Tilted BiCuSeO Films Using Ultra‑Thin Gold Nanoparticle Layers
- Thermoelectric Response of a Correlated Quantum Dot Coupled to Majorana Bound States