Double‑Gated Nanohelix as a Tunable Binary Superlattice: Band Engineering and Optoelectronic Prospects
Abstract
We theoretically examine the electronic structure of a nanohelix confined between two parallel charged‑wire gates, forming a binary superlattice whose properties are highly tunable by the gate voltages. The resulting band structure displays energy‑band crossings at specific voltage combinations, suggesting the emergence of quasi‑relativistic Dirac‑like behavior. Calculations of optical transitions for both linearly and circularly polarized light reveal that the double‑gated nanohelix is a versatile platform for future optoelectronic devices.
Introduction
Helical geometries permeate nature, from fossilized gastropods to the DNA double helix, and inspire nanostructures that exploit their unique topology for advanced functionality. Over the past thirty years, state‑of‑the‑art nanofabrication has yielded nanohelices in materials such as InGaAs/GaAs, Si/SiGe, ZnO, CdS, SiO2/SiC, and carbon, as well as II‑VI and III‑V semiconductors [21–26]. These structures exhibit a rich spectrum of phenomena, including topological charge pumping, superconductivity, spin filtering, piezoelectric stretchability, sensing, hydrogen storage, and field‑effect transistors [27–41].
Applying a transverse electric field to a nanohelix induces a superlattice potential that modulates electron motion via Bragg scattering. This leads to tunable energy splittings at the Brillouin‑zone edge, Bloch oscillations, negative differential conductance, and enhanced spin‑polarized transport [42–48]. Unlike conventional heterostructure superlattices, whose potential landscape is fixed by material composition, the nanohelix superlattice can be continuously reshaped by external fields, offering unprecedented control.
Binary superlattices—unit cells comprising two distinct quantum wells or barriers—further enrich the physics, enabling Bloch‑Zener oscillations and tunable beam‑splitting devices [58–62]. This study introduces a double‑gated nanohelix that merges the field‑tunable nature of the helix superlattice with the functional versatility of a binary unit cell, thereby opening new avenues for quantum transport and photonic applications.
Methods
Theoretical model
We consider a single‑electron semiconductor nanohelix of radius R, pitch p, and total length L=Np, positioned between two parallel charged‑wire gates aligned along the helix axis (z‑axis). An external transverse electric field E⊥ = E⊥ ŷ breaks the mirror symmetry about the gate plane. The helix is described in helical coordinates r=(R cos(sφ), R sin(sφ), ρφ), where φ = z/ρ and ρ=p/(2π). For a left‑handed helix (s=1), the effective‑mass Schrödinger equation becomes
$$ -\frac{\hbar^2}{2M^*\rho^2}\frac{d^2}{d\varphi^2}\psi_\nu + [V_g(\varphi)+V_\bot(\varphi)]\psi_\nu = \varepsilon_\nu \psi_\nu \quad (1) $$
with M^*=Me(1+R2/ρ2). The gate potential is V_g(φ)=−e[Φ1(φ)+Φ2(φ)], where the potential from a charged wire is Φi(φ)=−λik ln(ri/di) and k=1/(2πε). The transverse field contributes V_⊥(φ)=−eE⊥R sin(φ). After expanding for R/di≪1 and normalising to the energy scale ε0=ℏ²/(2M^*ρ²), the equation reduces to
$$ \frac{d^2\psi_\nu}{d\varphi^2} + [\epsilon_\nu + 2A_g\cos\varphi + 2B_g\cos2\varphi + 2C_\bot\sin\varphi] \psi_\nu = 0 \quad (2) $$
where the coefficients are defined by
$$ \begin{aligned} A_g &= \beta\frac{(d_1^2+R^2)}{d_1R}(1-\gamma), \\ B_g &= \frac{\beta}{2}\left(1+\frac{\lambda_1}{\lambda_2}\gamma^2\right), \\ C_\bot &= \frac{eE_\bot R}{2\varepsilon_0(\rho)}, \\ \epsilon_\nu &= \frac{\varepsilon_\nu}{\varepsilon_0(\rho)}. \end{aligned} \quad (3) $$
with β=e k d1²R²λ1/(2(d1²+R²)²ε0) and the asymmetry parameter γ=λ2d2(d1²+R²)/(λ1d1(d2²+R²)). The unit cell is a double‑well potential whose shape is controlled by A_g and C_⊥, as illustrated in Fig. 2.

Diagram of the system geometry. The helix radius R and distances of the charged wires from the axis are d1 and d2 with linear charge densities λ1 and λ2. A transverse field E⊥ is applied along the y‑axis.
Diagonalising the infinite penta‑diagonal matrix derived from Eq. (2) (truncated at |m|=10) yields the subband energies εn and Bloch coefficients c(n)m for each quasimomentum q. The Brillouin zone spans –½≤q≤½, and the spectrum exhibits band crossings and Dirac‑like dispersions for specific gate‑field configurations.
Solutions as an infinite matrix
Expressing the Bloch wavefunctions as
$$ \psi_{n,q}(\varphi) = (2\pi N\rho)^{-1/2} e^{iq\varphi} \sum_m c^{(n)}_{m,q} e^{im\varphi} \quad (4) $$
and inserting into Eq. (2) leads to the matrix eigenvalue problem
$$ [(q+m)^2-\epsilon_n]c^{(n)}_m - (A_g-iC_\bot)c^{(n)}_{m-1} - (A_g+iC_\bot)c^{(n)}_{m+1} - B_g[c^{(n)}_{m+2}+c^{(n)}_{m-2}] = 0 \quad (5) $$
which is solved numerically for each q. The resulting band structure captures the interplay between the double‑well potential and the external field.
Results and Discussion
Band Structure of the Double‑Gated Nanohelix
Figure 3 displays the lowest subband dispersions for various combinations of the dimensionless parameters A_g, B_g, and C_⊥. The spectrum shows a rich variety of features, including band crossings at the Brillouin‑zone center and edge that signal Dirac‑like physics. These crossings can be tuned by adjusting the gate voltages and the transverse field.

Band structure for selected parameter sets (with B_g=0.4). The inset highlights subband behavior near the zone center for different transverse fields.
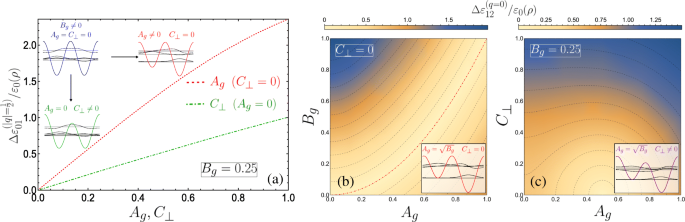
Low‑Field Double‑Period Perturbation
When both A_g and C_⊥ vanish, the unit cell consists of two identical wells, leading to band touching at the zone boundary. Introducing either perturbation opens a band gap, as shown in Fig. 4a. The gap depends more sensitively on A_g than on C_⊥, reflecting the stronger influence of the asymmetry in the double‑well depth on tunnelling.

a Band gap between the ground and first subbands versus A_g (red) and C_⊥ (green). b–c Two‑dimensional maps of the gap between the first and second subbands for varying A_g–B_g and A_g–C_⊥.
Energy Band Crossings
Band crossings arise when localized states in the two wells become resonant. At the zone center, an s–p resonance lifts the band gap, whereas at the zone edge a p–p resonance closes it. These crossings are governed by the condition
$$ A_g = (p+1)\sqrt{B_g} \quad (14) $$
which predicts the parameter values for which higher subbands intersect. A small transverse field breaks the symmetry, lifts the degeneracy, and opens a gap, as illustrated in Fig. 4c.
Optical Transitions
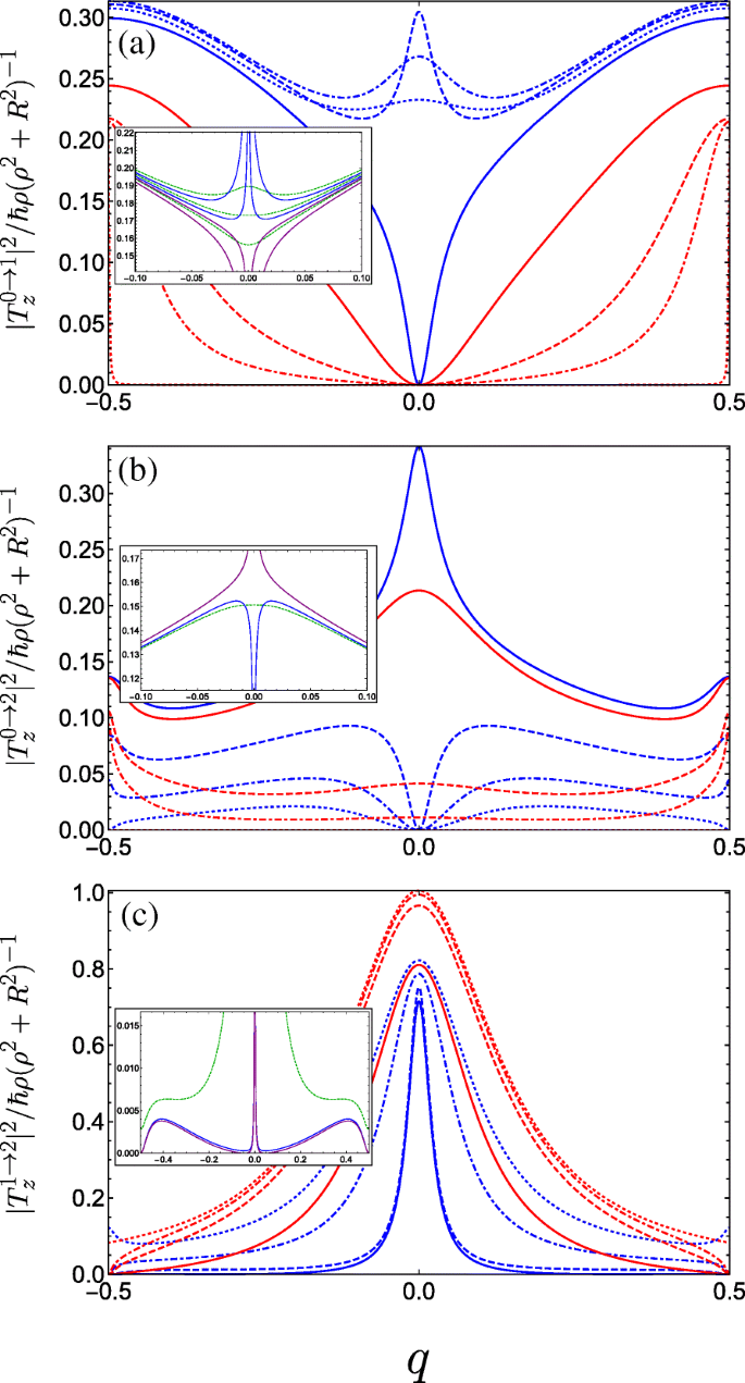
Optical coupling between subbands is quantified by the momentum‑operator matrix element
$$ T^{g\to f}_j = \langle f|\hat{\mathbf{j}}\cdot\hat{\mathbf{P}}_j|g\rangle, $$
with the Cartesian components of the momentum operator given by
$$ \begin{aligned} \hat{P}_x &= \hat{x}\frac{i\hbar R}{\rho^2+R^2}\left[\sin\varphi\frac{d}{d\varphi} + \tfrac12\cos\varphi\right], \quad (15a) \\ \hat{P}_y &= -\hat{y}\frac{i\hbar R}{\rho^2+R^2}\left[\cos\varphi\frac{d}{d\varphi} - \tfrac12\sin\varphi\right], \quad (15b) \\ \hat{P}_z &= -\hat{z}\frac{i\hbar\rho}{\rho^2+R^2}\frac{d}{d\varphi}. \quad (15c) \end{aligned} $$
Using the Bloch coefficients, the transition matrix elements become
$$ \begin{aligned} T^{g\to f}_x &= \frac{i\hbar R}{2(\rho^2+R^2)}\sum_m c^{*(f)}_m\Big[c^{(g)}_{m-1}(q+m-\tfrac12)-c^{(g)}_{m+1}(q+m+\tfrac12)\Big], \quad (16a) \\ T^{g\to f}_y &= \frac{\hbar R}{2(\rho^2+R^2)}\sum_m c^{*(f)}_m\Big[c^{(g)}_{m-1}(q+m-\tfrac12)+c^{(g)}_{m+1}(q+m+\tfrac12)\Big], \quad (16b) \\ T^{g\to f}_z &= \frac{\hbar\rho}{\rho^2+R^2}\sum_m c^{*(f)}_m c^{(g)}_m (q+m). \quad (16c) \end{aligned} $$
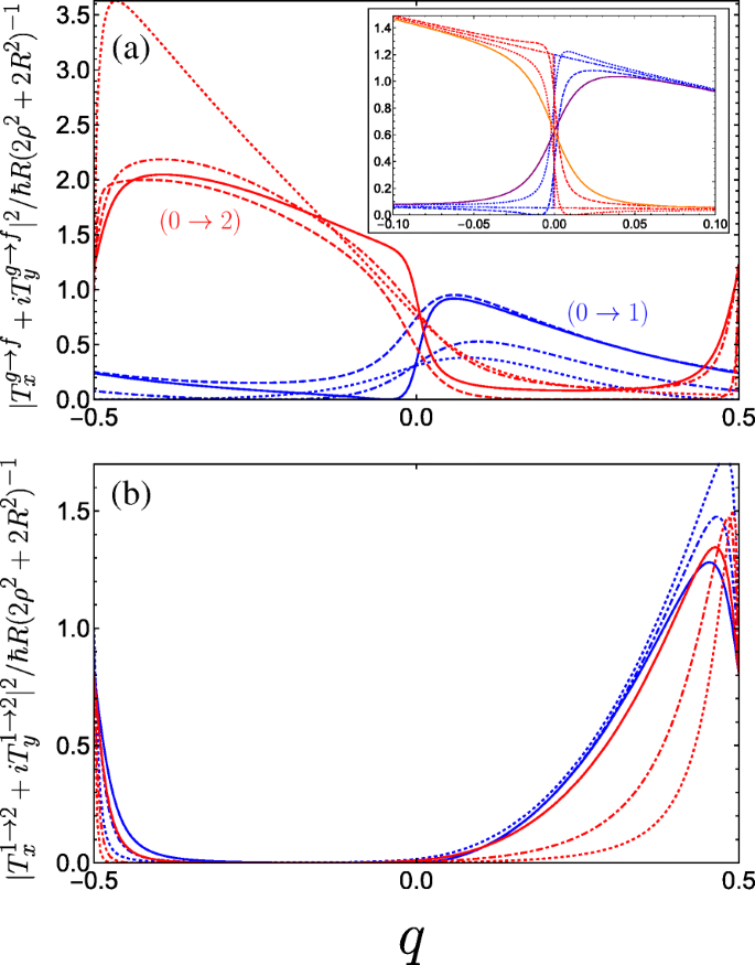
Figure 5 shows the squared magnitude of these elements for linearly polarized light along the helix axis. Band crossings strongly influence the selection rules, producing sharp transitions at specific quasimomenta. Circular polarization is treated similarly, leading to a pronounced photogalvanic response.

Squared transition matrix elements for linearly z-polarized light. Panels (a–c) illustrate ground–first, ground–second, and first–second band transitions across parameter space.

Squared transition matrix element for right‑handed circularly polarized light propagating along the helix. Panels (a–b) show ground–first and first–second band transitions, revealing a strong photogalvanic asymmetry.
The induced photocurrent can be expressed as
$$ j_f = \frac{e}{2\pi\rho}\int dq\,[v_f(q)\tau_f(q)-v_g(q)\tau_g(q)]\,\Gamma_{CP}^{g\to f}(q), \quad (17) $$
where v denotes the electron velocity, τ the relaxation time, and ΓCP the transition rate proportional to |Tx+iTy|². The asymmetry in the transition rates yields a net current whose direction is controlled by the handedness of the incident light.
Conclusions
We have demonstrated that a nanohelix situated between two aligned charged‑wire gates constitutes a tunable binary superlattice. By varying the gate voltages and a transverse electric field, one can engineer band crossings, open or close gaps, and induce Dirac‑like dispersions. The resulting band structure can be exploited for high‑responsivity, polarization‑sensitive photodetectors, and offers a controllable platform for quantum information processing. The accessibility of these features with current nanofabrication techniques suggests that double‑gated nanohelices will become valuable building blocks for next‑generation optoelectronic devices.
Appendix
Band Touching at the Brillouin‑Zone Boundary for A_g=C_⊥=0
The degeneracy at the zone edge follows from the block structure of the truncated Hamiltonian. A permutation matrix transforms the Hamiltonian into two identical tridiagonal blocks, guaranteeing double degeneracy for all eigenvalues. Introducing C_⊥ or a non‑zero A_g breaks this symmetry and lifts the degeneracy, opening a band gap.
Crossings at the Zone Center between Higher Subbands
For p=2, the finite tridiagonal blocks yield eigenvalues that cross at the zone center. These crossings are captured by the exact solutions of the corresponding Ince polynomials, confirming the analytical condition (14).
Availability of data and materials
The data underlying all figures were obtained by numerically diagonalising the matrix in Eq. (5) and can be reproduced using standard numerical software. Datasets are available from the corresponding author upon reasonable request.
Nanomaterials
- Decimal vs. Binary Numeration: Place‑Weight, Efficiency, and Conversion
- Binary Addition Explained: Rules, Examples, and Its Role in Digital Computers
- Understanding Negative Numbers in Binary: Sign-Magnitude, Complement, and Two’s Complement
- Binary Subtraction Using Two's Complement
- Binary Overflow: How Sign Bits Affect Binary Addition
- Understanding Four‑Bit Binary Counters
- Designing a Binary Half‑Adder: From Logic Gates to Ladder Diagrams
- Boron Carbon Oxynitride: A Novel Metal‑Free Photocatalyst with Enhanced Solar‑Driven Hydrogen Production and Dye Degradation
- Nanoparticle-Enhanced Wormlike Micellar System: Design, Rheology, and Mechanistic Insights
- Binary Switch Game – Arduino UNO Project